Growth Performance of Malaysian Parthenium hysterophorus under Various Environmental Variables
Abstract
:1. Introduction
2. Materials and Methods
2.1. Seed Collection and Preparation
2.2. Soil Sampling
2.3. General Experimental Procedure in Petri Dish Bioassay
2.3.1. Heat Stress
2.3.2. Salt Stress
2.3.3. Effect of pH
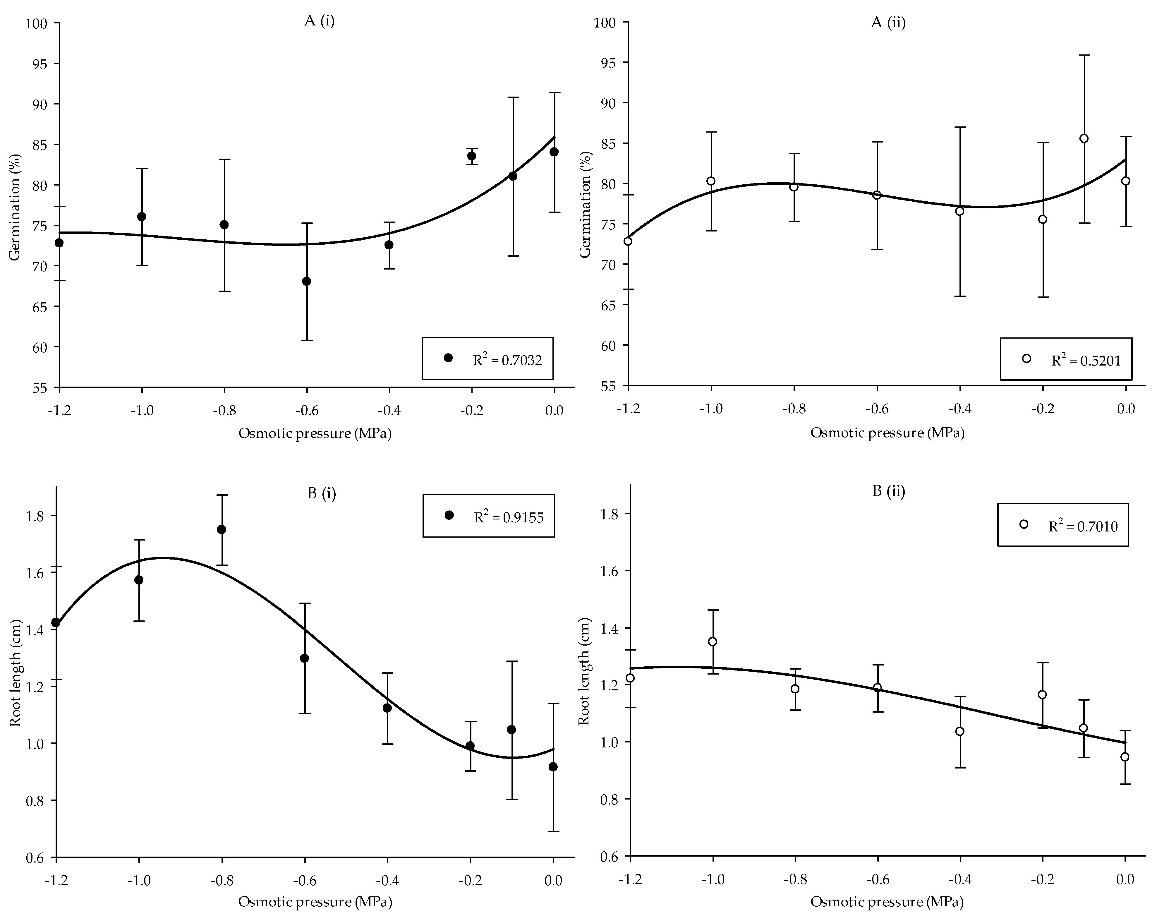
2.3.4. Effect of Osmotic Pressure
2.4. General Pot Trial Procedure
2.4.1. Soil Texture
2.4.2. Burial Depth
2.4.3. Submerging Duration
2.4.4. Soil Moisture
2.5. Parameters Measured
2.6. Statistical Analysis
3. Results
3.1. Petri Dish Bioassay
3.2. Pot Trial
4. Discussion
4.1. Petri Dish Bioassay
4.2. Pot Trial
5. Conclusions
Supplementary Materials
Author Contributions
Funding
Institutional Review Board Statement
Informed Consent Statement
Data Availability Statement
Acknowledgments
Conflicts of Interest
References
- Bajwa, A.A.; Chauhan, B.S.; Farooq, M.; Shabbir, A.; Adkins, S.W. What do we really know about alien plant invasion? A review of the invasion mechanism of one of the world’s worst weeds. Planta 2016, 244, 39–57. [Google Scholar] [CrossRef] [PubMed]
- Simberloff, D. Hybridization between native and introduced wildlife species: Importance for conservation. Wildl. Biol. 1996, 2, 143–150. [Google Scholar] [CrossRef]
- Sakai, A.K.; Allendorf, F.W.; Holt, J.S.; Lodge, D.M.; Molofsky, J.; With, K.; Baughman, S.; Cabin, R.J.; Cohen, J.E.; Ellstrand, N.C.; et al. The Population Biology of Invasive Species. Annu. Rev. Ecol. Syst. 2001, 32, 305–332. [Google Scholar] [CrossRef] [Green Version]
- Kaur, M.; Aggarwal, N.K.; Kumar, V.; Dhiman, R. Effects and Management of Parthenium hysterophorus: A Weed of Global Significance. Int. Sch. Res. Not. 2014, 2014, 1–12. [Google Scholar] [CrossRef] [Green Version]
- Pimentel, D.; Lach, L.; Zuniga, R.; Morrison, D. Environmental and Economic Costs of Nonindigenous Species in the United States. Bioscience 2000, 50, 53–65. [Google Scholar] [CrossRef]
- Abdulkerim-Ute, J.; Legesse, B. Parthenium hysterophorus L: Distribution, impact, and possible mitigation measures in Ethiopia. Trop. Subtrop. Agroecosys. 2016, 19, 61–72. [Google Scholar]
- Karim, S.R. Parthenium Hazards in Malaysia and Its Sustainable Management. Inaugural Lecture Presented at Faculty of Agro Based Industry Universiti Malaysia Kelantan Jeli Campus. 2015. Available online: http://umkeprints.umk.edu.my/id/eprint/4804 (accessed on 5 June 2020).
- Karim, S.M.R.; Norhafizah, M.Z.; Maszura, C.M. Incidence of Parthenium allergy on human health in Kedah, Malaysia. Int. J. Biol. Pharm. All. Sci. 2017, 6, 175–182. [Google Scholar]
- Wiesner, M.; Tessema, T.; Hoffmann, A.; Wilfried, P.; Buettner, C.; Mewis, I.; Ulrichs, C. Impact of the Pan-Tropical weed Parthenium hysterophorus L. on human health in Ethiopia. In Utilisation of Diversity in Land Use Systems: Sustainable and Organic Approaches to Meet Human Needs; Tropentag: Witzenhausen, Germany, 2007. [Google Scholar]
- Adkins, S.; Shabbir, A.; Dhileepan, K. An Introduction to the ‘Demon Plant’ Parthenium Weed. In Parthenium Weed: Biology, Ecology and Management; CABI Invasive Series 11; Adkins, S., Shabbir, A., Dhileepan, K., Eds.; CABI: Boston, MA, USA, 2019; Volume 7, pp. 1–2. ISBN 9781780645254. [Google Scholar]
- Karim, S.M.R. Malaysia Invaded: Weed It out before It Is too Late. International Parthenium News 9. 2014. Available online: https://apwss.org/documents/newsletters/parthenium/Parthenium_News_January_2014.pdf (accessed on 5 June 2020).
- National Pest Management Committee Report; Department of Agriculture, Malaysia: Putrajaya, Malaysia, 2017.
- Tanveer, A.; Khaliq, A.; Ali, H.H.; Mahajan, G.; Chauhan, B. Interference and management of parthenium: The world′s most important invasive weed. Crop. Prot. 2015, 68, 49–59. [Google Scholar] [CrossRef]
- Kohli, R.K.; Rani, D. Exhibition of allelopathy by Parthenium hysterophorus L. in agroecosystems. Trop. Ecol. 1994, 35, 295–307. [Google Scholar]
- Annapurna, C.; Singh, J.S. Variation of Parthenium hysterophorus in response to soil quality: Implications for invasiveness. Weed Res. 2003, 43, 190–198. [Google Scholar] [CrossRef]
- Forcella, F.; Arnold, R.L.B.; Sanchez, R.; Ghersa, C.M. Modeling seedling emergence. Field Crop. Res. 2000, 67, 123–139. [Google Scholar] [CrossRef]
- Asgarpour, R.; Ghorbani, R.; Khajeh-Hosseini, M.; Mohammad, E.; Chauhan, B.S. Germination of spotted spurge (Chamaesyce maculate) seeds in response to different environmental factors. Weed Sci. 2015, 63, 502–510. [Google Scholar] [CrossRef]
- Baskin, J.M.; Baskin, C.C. Chapter 4—physiology of dormancy and germination in relation to seed bank ecology. In Ecology of Soil Seed Banks, 1st ed.; Leck, M.A., Parker, V.E., Simpson, R.L., Eds.; Academic Press: Cambridge, MA, USA, 1989; pp. 53–65. ISBN 9780323148658. [Google Scholar]
- Singh, M.; Ramirez, A.H.M.; Sharma, S.D.; Jhala, A.J. Factors Affecting the Germination of Tall Morningglory (Ipomoea purpurea). Weed Sci. 2012, 60, 64–68. [Google Scholar] [CrossRef]
- Chauhan, B.; Gill, G.; Preston, C. Factors affecting seed germination of annual sowthistle (Sonchus oleraceus) in southern Australia. Weed Sci. 2006, 54, 854–860. [Google Scholar] [CrossRef]
- Chauhan, B.S.; Johnson, D.E. Ecological studies on Cyperus difformis, Cyperus iria and Fimbristylis miliacea: Three troublesome annual sedge weeds of rice. Ann. Appl. Biol. 2009, 155, 103–112. [Google Scholar] [CrossRef]
- Utilization of Tropical Foods: Fruits and Vegetables; Food and Nutrition Paper 47/7; Food and Agriculture Organization of the United Nations: Rome, Italy, 1990.
- International Seed Testing Association. International Rules for Seed Testing; International Seed Testing Association: Bassersdorf, Switzerland, 2016. [Google Scholar]
- Li, Q.; Tan, J.; Li, W.; Yuan, G.; Du, L.; Ma, S.; Wang, J.X. Effects of Environmental Factors on Seed Germination and Emergence of Japanese Brome (Bromus japonicus). Weed Sci. 2015, 63, 641–646. [Google Scholar] [CrossRef]
- Chauhan, B.; Johnson, D.E. Germination Ecology of Goosegrass (Eleusine indica): An Important Grass Weed of Rainfed Rice. Weed Sci. 2008, 56, 699–706. [Google Scholar] [CrossRef]
- Chachalis, D.; Reddy, K.N. Factors affecting Campsis radicans seed germination and seedling emergence. Weed Sci. 2000, 48, 212–216. [Google Scholar] [CrossRef]
- Michel, B.E.; Kaufmann, M.R. The Osmotic Potential of Polyethylene Glycol 6000. Plant Physiol. 1973, 51, 914–916. [Google Scholar] [CrossRef]
- Ahmed, H.; Juraimi, A.S.; Ahmad-Hamdani, M.S.; Rafii, Y.M.; Aslani, F.; Omar, D. Comparative phytotoxic effects of aerial and root aqueous extracts of Sida cordifolia L. on germination and seedling vigour performance of lettuce, tomato and carrot. Bangl. J. Bot. 2017, 46, 323–328. [Google Scholar]
- Brownsey, R.N.; Kyser, G.B.; DiTOMASO, J.M. Seed and Germination Biology of Dittrichia graveolents (Stinkwort). Invasive Plant Sci. Manag. 2013, 6, 371–380. [Google Scholar] [CrossRef]
- Lobell, D.; Field, C.B. Global scale climate–crop yield relationships and the impacts of recent warming. Environ. Res. Lett. 2007, 2. [Google Scholar] [CrossRef]
- Hasanuzzaman, M.; Nahar, K.; Alam, M.; Roychowdhury, R.; Fujita, M. Physiological, Biochemical, and Molecular Mechanisms of Heat Stress Tolerance in Plants. Int. J. Mol. Sci. 2013, 14, 9643–9684. [Google Scholar] [CrossRef]
- Krasensky, J.; Jonak, C. Drought, salt, and temperature stress-induced metabolic rearrangements and regulatory networks. J. Exp. Bot. 2012, 63, 1593–1608. [Google Scholar] [CrossRef] [Green Version]
- Cook, L. A contribution to our information on grass burning. S. Afr. J. Sci. 1939, 36, 270–282. [Google Scholar]
- Sanchez, P.A. Soil management in shifting cultivation areas. In Properties and Management of Soils in the Tropics; John Wiley and Sons: New York, NY, USA, 1976; pp. 346–412. ISBN 0471752002. [Google Scholar]
- Bernstein, L. Crop growth and salinity. In Drainage for Agriculture; Number 17 in Agronomy Series; Schilfgaarde, J.V., Ed.; American Society of Agronomy: New York, NY, USA, 1974; pp. 39–54. ISBN 9780891182115. [Google Scholar]
- Shannon, M.C. Adaptation of Plants to Salinity. Adv. Agron. 1997, 60, 75–120. [Google Scholar] [CrossRef]
- Fischer, R.A.; Turner, N.C. Plant Productivity in the Arid and Semiarid Zones. Annu. Rev. Plant Physiol. 1978, 29, 277–317. [Google Scholar] [CrossRef]
- Ahmad-Hamdani, M.S.; (Universiti Putra Malaysia, Selangor, Malaysia). Personal communication, 2019.
- Katembe, W.J.; Ungar, I.A.; Mitchell, J.P. Effect of Salinity on Germination and Seedling Growth of two Atriplexspecies (Chenopodiaceae). Ann. Bot. 1998, 82, 167–175. [Google Scholar] [CrossRef] [Green Version]
- Stanton, R.; Wu, H.; Lemerle, D. Factors Affecting Silverleaf Nightshade (Solanum elaeagnifolium) Germination. Weed Sci. 2012, 60, 42–47. [Google Scholar] [CrossRef]
- Wang, L.; Jin, S.; Wu, L.; Zhou, X.; Liu, X.; Bai, L. Influence of environmental factors on seed germination and emergence of Asia minor bluegrass (Polypogon fugax). Weed Technol. 2016, 30, 533–538. [Google Scholar] [CrossRef]
- Wang, J.Z.; Cui, L.J.; Wang, Y.; Li, J.L. Growth, lipid peroxidation and photosynthesis in two tall fescue cultivars differing in heat tolerance. Biol. Plant. 2009, 53, 237–242. [Google Scholar] [CrossRef]
- Wei, S.; Zhang, C.; Li, X.; Cui, H.; Huang, H.; Sui, B.; Meng, Q.; Zhang, H. Factors Affecting Buffalobur (Solanum rostratum) Seed Germination and Seedling Emergence. Weed Sci. 2009, 57, 521–525. [Google Scholar] [CrossRef]
- Zhou, J.; Deckard, E.L.; Ahrens, W.H. Factors affecting germination of hairy nightshade (Solanum sarrachoides) seeds. Weed Sci. 2005, 53, 41–45. [Google Scholar] [CrossRef]
- Navie, S.C.; McFadyen, R.E.; Panetta, F.D.; Adkins, S.W. The effect of CO2 enrichment on the growth of a C3 weed (Parthenium hysterophorus L.) and its competitive interaction with a C4 grass (Cenchrus ciliaris L.). Plant Prot. Quart. 2005, 20, 61–66. [Google Scholar]
- Karim, S.M.R. Ill Impacts of Parthenium Weed on Human Health, Livestock Production and Environment; Presented in a Seminar at West Virginia University: Morgantown, WV, USA. 2012. Available online: http://umkeprints.umk.edu.my/1059/1/Paper%201.pdf (accessed on 5 June 2020).
- Navie, S.C.; McFadyen, R.E.; Panetta, F.D.; Adkins, S.W. The Biology of Australian Weeds. 27. Parthenium hysterophorus L. Plant Prot. Quart. 1996, 11, 76–88. [Google Scholar]
- Dale, I.J. Parthenium weed in the Americas: A report on the ecology of Parthenium hysterophorus in South, Central and North America. Aust. Weeds 1981, 1, 8–14. [Google Scholar]
- Masum, S.M.; Hasanuzzaman, M.; Ali, M.H. Threats of Parthenium hysterophorus on agro-ecosystems and its management: A review. Int. J. Agric. Crop Sci. 2013, 6, 684–697. [Google Scholar]
- Bhowmik, P.C.; Sarkar, D.; Yaduraju, N.T. The Status of Parthenium Hysterophorus and its Potential Management. Ecoprint Int. J. Ecol. 2016, 14, 1–17. [Google Scholar] [CrossRef]
- Boyd, N.; Acker, R.V. Seed germination of common weed species as affected by oxygen concentration, light, and osmotic potential. Weed Sci. 2004, 52, 589–596. [Google Scholar] [CrossRef]
- Sharma, M.P.; Born, W.V. The biology of Canadian weeds, 27: Avena fatua L. Can. J. Plant Sci. 1978, 58, 141–157. [Google Scholar] [CrossRef]
- Weaver, S.E.; Cavers, P.B. Dynamics of Seed Populations of Rumex crispus and Rumex obtusifolius (Polygonaceae) in Disturbed and Undisturbed Soil. J. Appl. Ecol. 1979, 16, 909. [Google Scholar] [CrossRef]
- Bello, I.A.; Hatterman-Valenti, H.; Owen, M.D.K. Factors affecting germination and seed production of Erichloa villosa. Weed Sci. 2000, 48, 749–754. [Google Scholar] [CrossRef]
- Watanabe, H.; Kusagaya, Y.; Saigusa, M. Environmental factors affecting germination of apple of Peru. Weed Sci. 2002, 50, 152–156. [Google Scholar] [CrossRef]
- Teuton, T.C.; Brecke, B.J.; Unruh, J.B.; Macdonald, G.E.; Miller, G.L.; Ducar, J.T. Factors affecting seed germination of tropical signalgrass (Urochloa subquadripara). Weed Sci. 2004, 52, 376–381. [Google Scholar] [CrossRef]
- Thomas, W.E.; Wicut, J.W. Influence of environmental factors on slender amaranth (Amaranthus viridis) germination. Weed Sci. 2006, 54, 316–320. [Google Scholar] [CrossRef]
- Susko, D.J.; Hussein, Y. Factors Affecting Germination and Emergence of Dame′s Rocket (Hesperis matronalis). Weed Sci. 2008, 56, 389–393. [Google Scholar] [CrossRef]
- Rana, N.; Wilder, B.J.; Sellers, B.A.; Ferrell, J.A.; Macdonald, G.E. Effects of Environmental Factors on Seed Germination and Emergence of Smutgrass (Sporobolus indicus) Varieties. Weed Sci. 2012, 60, 558–563. [Google Scholar] [CrossRef]
- Sadeghloo, A.; Asghari, J.; Ghaderi-Far, F. Seed germination and seedling emergence of velvetleaf (Abutilon theophrasti) and Barnyardgrass (Echinochloa crus-galli). Planta Daninha 2013, 31, 259–266. [Google Scholar] [CrossRef] [Green Version]
- Wu, X.; Li, J.; Xu, H.; Dong, L. Factors Affecting Seed Germination and Seedling Emergence of Asia Minor Bluegrass (Polypogon fugax). Weed Sci. 2015, 63, 440–447. [Google Scholar] [CrossRef]
- Sohrabi, S.; Ghanbari, A.; Mohassel, M.; Gherekhloo, J.; Vidal, R. Effects of environmental factors on Cucumis melo L. subsp. agrestis var. agrestis (Naudin) Pangalo seed germination and seedling emergence. S. Afr. J. Bot. 2016, 105, 1–8. [Google Scholar] [CrossRef]
- Pérez-Ramos, I.M.; Marañón, T. Effects of waterlogging on seed germination of three Mediterranean oak species: Ecological implications. Acta Oecol. 2009, 35, 422–428. [Google Scholar] [CrossRef]
- Commonwealth of Australia. Flood. 2017. Available online: http://www.ga.gov.au/scientific-topics/hazards/flood (accessed on 1 December 2017).
- Van Eck, W.H.J.M.; Lenssen, J.P.M.; Van De Steeg, H.M.; Blom, C.W.P.M.; De Kroon, H. Seasonal Dependent Effects of Flooding on Plant Species Survival and Zonation: A Comparative Study of 10 Terrestrial Grassland Species. Hydrobiologia 2006, 565, 59–69. [Google Scholar] [CrossRef]
- Keddy, P.; Reznicek, A. Great Lakes Vegetation Dynamics: The Role of Fluctuating Water Levels and Buried Seeds. J. Great Lakes Res. 1986, 12, 25–36. [Google Scholar] [CrossRef]
- Warwick, N.; Brock, M.A. Plant reproduction in temporary wetlands: The effects of seasonal timing, depth, and duration of flooding. Aquat. Bot. 2003, 77, 153–167. [Google Scholar] [CrossRef]
- Barney, J.N.; Mann, J.J.; Kyser, G.B.; Blumwald, E.; Van Deynze, A.; DiTomaso, J.M. Tolerance of switchgrass to extreme soil moisture stress: Ecological implications. Plant Sci. 2009, 177, 724–732. [Google Scholar] [CrossRef]
- Porter, C.L. An analysis of variance between upland and lowland switchgrass, Panicum virgatum L., in central Oklahoma. Ecology 1966, 47, 980–992. [Google Scholar] [CrossRef]
- Bleoussi, R.T.M.; Yaou, I.; Fofana, M.; Bassole, N.H.I.; Mensah, G.A.; Kabore, N.; Tchekessi, C.K.C. Effect of different soil moisture levels at reproductive stage on rice grain quality. J. Agric. Sci. Food Technol. 2016, 2, 55–63. [Google Scholar]
- Elkheir, H.A.; Yunus, M.; Muslimin, M. Duration of soil water content between field capacity and wilting point and its effect on growth of some aerobic rice cultivars (Oryza sativa L.). Int. J. Agric. Syst. 2015, 4, 36–45. [Google Scholar]
- Bavec, F.; Mlakar, S. Effects of soil and climatic conditions on emergence of grain amaranths. Eur. J. Agron. 2002, 17, 93–103. [Google Scholar] [CrossRef]











Publisher’s Note: MDPI stays neutral with regard to jurisdictional claims in published maps and institutional affiliations. |
© 2021 by the authors. Licensee MDPI, Basel, Switzerland. This article is an open access article distributed under the terms and conditions of the Creative Commons Attribution (CC BY) license (https://creativecommons.org/licenses/by/4.0/).
Share and Cite
Ruzmi, R.; Akhir, A.F.M.; Dilipkumar, M.; Sinniah, U.R.; Juraimi, A.S.; Ghazali, M.N.; Ahmad-Hamdani, M.S. Growth Performance of Malaysian Parthenium hysterophorus under Various Environmental Variables. Agriculture 2021, 11, 856. https://doi.org/10.3390/agriculture11090856
Ruzmi R, Akhir AFM, Dilipkumar M, Sinniah UR, Juraimi AS, Ghazali MN, Ahmad-Hamdani MS. Growth Performance of Malaysian Parthenium hysterophorus under Various Environmental Variables. Agriculture. 2021; 11(9):856. https://doi.org/10.3390/agriculture11090856
Chicago/Turabian StyleRuzmi, Rabiatuladawiyah, Anis Fadzilah Muhammad Akhir, Masilamany Dilipkumar, Uma Rani Sinniah, Abdul Shukor Juraimi, Mohd Norsazwan Ghazali, and Muhammad Saiful Ahmad-Hamdani. 2021. "Growth Performance of Malaysian Parthenium hysterophorus under Various Environmental Variables" Agriculture 11, no. 9: 856. https://doi.org/10.3390/agriculture11090856
APA StyleRuzmi, R., Akhir, A. F. M., Dilipkumar, M., Sinniah, U. R., Juraimi, A. S., Ghazali, M. N., & Ahmad-Hamdani, M. S. (2021). Growth Performance of Malaysian Parthenium hysterophorus under Various Environmental Variables. Agriculture, 11(9), 856. https://doi.org/10.3390/agriculture11090856

