Precision Control of Spraying Quantity Based on Linear Active Disturbance Rejection Control Method
Abstract
:1. Introduction
2. Modeling and Problem Description
2.1. Flow Valve Structure and Transfer Function Model
2.2. Problem Description and Related Definitions
2.3. System Working Principle and Hardware Design
3. Controller Design
3.1. Design of Spraying Controller
3.2. Optimal Controller Parameter Tuning Algorithm
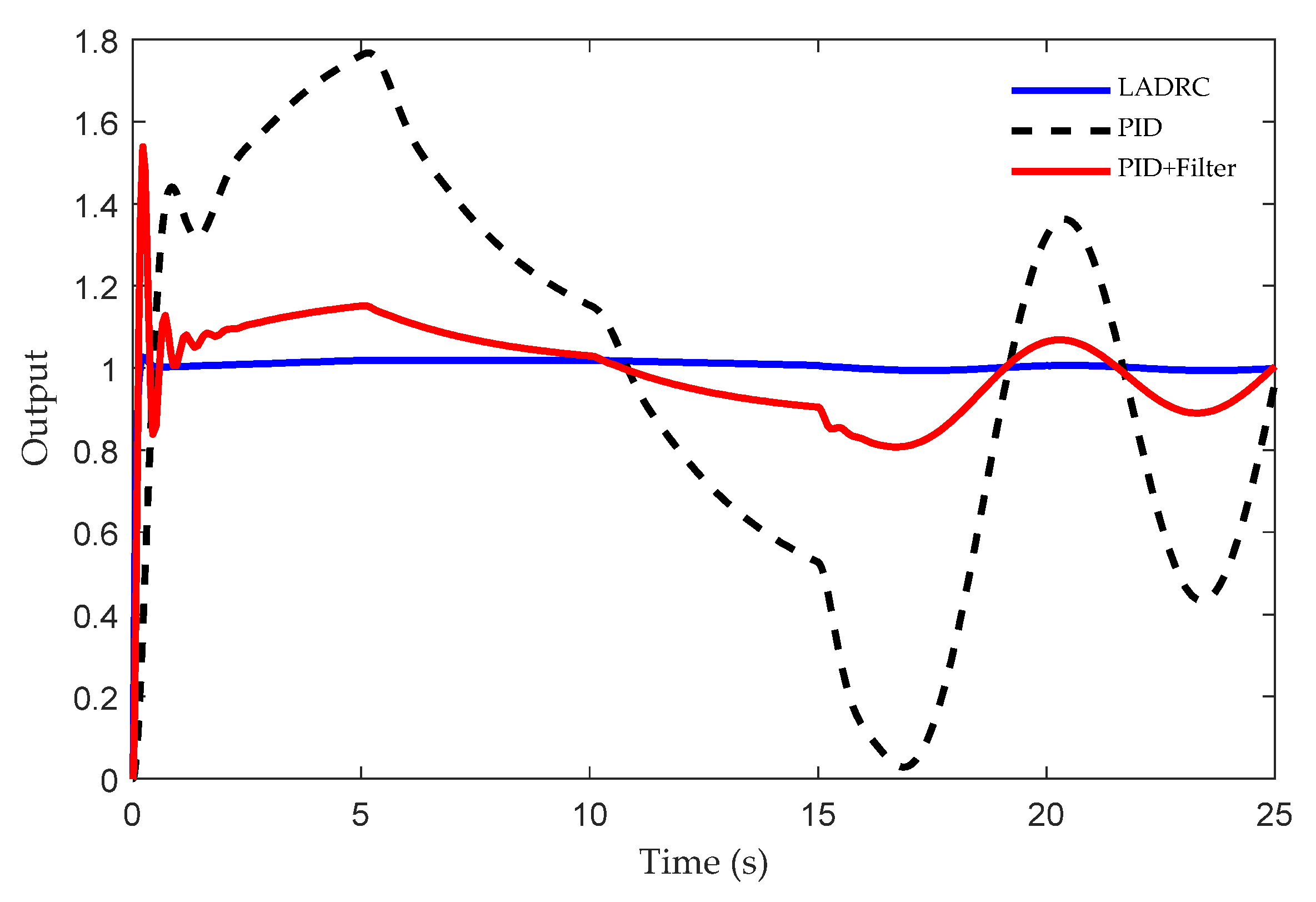
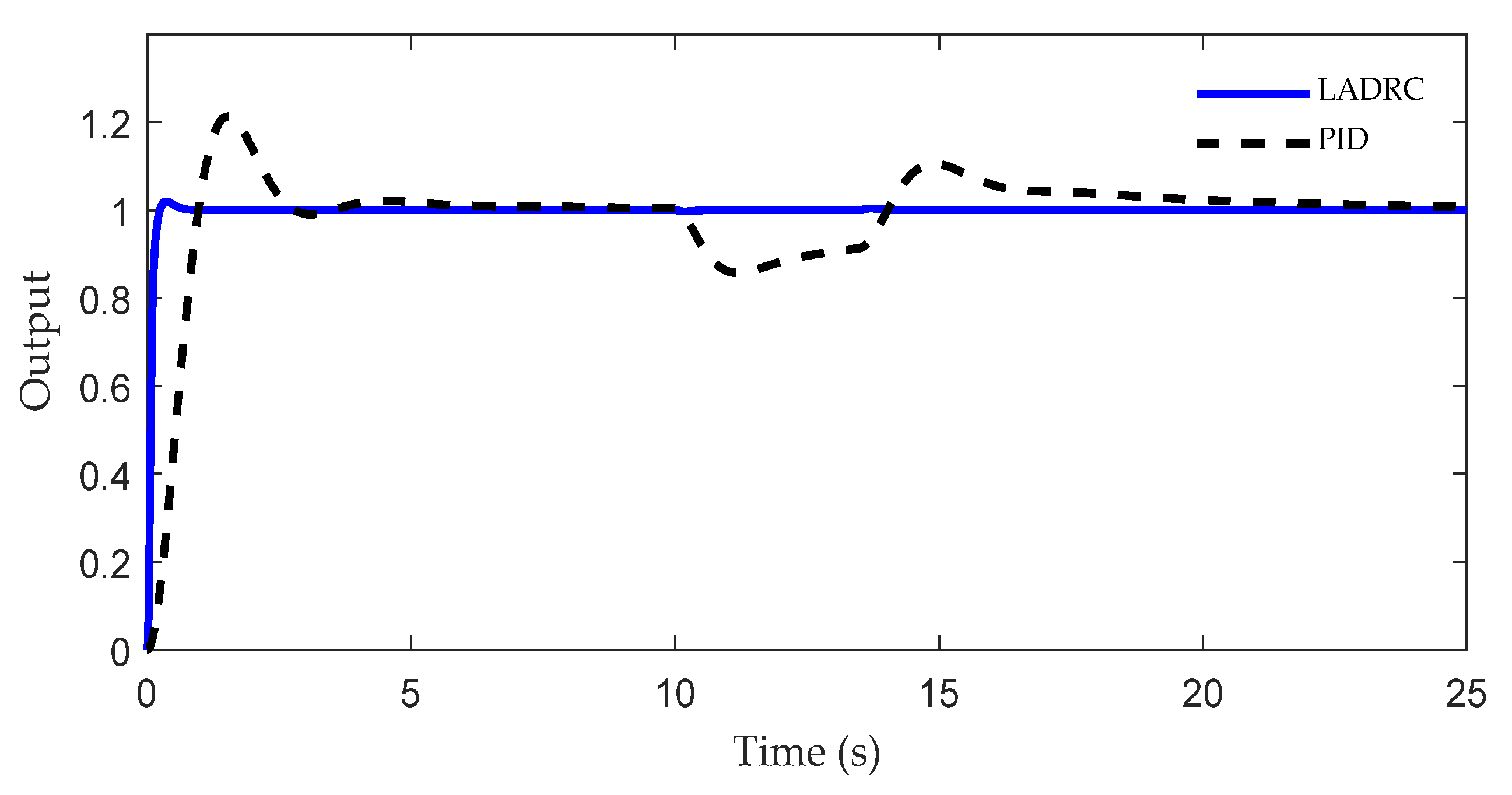
3.3. Controller Comparison and Analysis
4. Simulation and Experimental Verification
4.1. Disturbance Measurement of Diaphragm Pump
4.2. Control Algorithm Simulation Analysis
4.3. The Field Test
5. Conclusions
Author Contributions
Funding
Conflicts of Interest
References
- He, X.K.; Bonds, J.; Herbst, A.; Langenakens, J. Recent development of an unmanned aerial vehicle for plant protection in East Asia. Int. J. Agric. Biol. Eng. 2017, 10, 18–30. [Google Scholar]
- Zhai, C.Y.; Zhu, R.X.; Zhang, Z.J.; Ma, L.; Zhang, Q. Status analysis of precision pesticide application techniques. J. Agric. Mech. Res. 2010, 32, 9–12. [Google Scholar]
- Wang, S.L.; Song, J.L.; He, X.K.; Song, L.; Wang, X.N.; Wang, C.L.; Wang, Z.; Ling, Y. Performances evaluation of four typical unmanned aerial vehicles used for pesticide application in China. Int. J. Agric. Biol. Eng. 2017, 10, 22–31. [Google Scholar]
- Guzmán, J.L.; Rodríguez, F.; Sánchez, F.; Berenguel, M. Robust pressure control in a mobile robot for spraying tasks. Trans. ASABE 2008, 51, 715–727. [Google Scholar] [CrossRef]
- Felizardo, K.R.; Mercaldi, H.V.; Oliveira, V.A.; Cruvinel, P.E. Modeling and predictive control of a variable-rate spraying system. In Proceedings of the 2013 8th EUROSIM Congress on Modelling and Simulation, Cardiff, UK, 10–13 September 2013; pp. 202–207. [Google Scholar]
- Liu, Z.Z.; Hong, T.S.; Li, Z.; Song, S.; Yue, X.; Fan, Z. Simulation of flow control valve based on fuzzy control. Trans. Chin. Soc. Agric. Eng. 2009, 25, 83–86. [Google Scholar]
- Shi, Y.; Zhang, C.M.; Liang, A.B.; Yuan, H. Fuzzy control of the spraying medicine control system. In Proceedings of the International Conference on Computer and Computing Technologies in Agriculture, Wuyishan, China, 18–20 August 2007; Springer: Boston, MA, USA, 2007; pp. 1087–1094. [Google Scholar]
- Song, L.P.; Dong, Z.M.; Liang, L.J.; Xing, S. Variable universe adaptive fuzzy PID control of spray flow valve. Trans. Chin. Soc. Agric. Eng. 2010, 26, 114–118. [Google Scholar]
- Wang, X.D.; Xu, Y.L.; Meng, X.T.; He, R.; Zhai, Y.T. Simulation and experiment of precision variable spraying system based on BAS PID control. J. Chin. Agric. Mech. 2020, 41, 62–66. [Google Scholar] [CrossRef]
- Yu, D.Z.; Chen, S.R.; Wei, X.H. A comprehensive study on pressure pulsation and hydraulic impact in PWM-based intermittent spraying variable rate application system. J. Agric. Mech. Res. 2014, 36, 194–198. [Google Scholar]
- Law, S.E.; Cooper, S.C. Air-assisted electrostatic sprays for postharvest control of fruit and vegetable spoilage microorganisms. IEEE Trans. Ind. Appl. 2010, 37, 1597–1602. [Google Scholar] [CrossRef]
- Berenstein, R.; Edan, Y. Automatic Adjustable Spraying Device for Site-Specific Agricultural Application. IEEE Trans. Autom. Sci. Eng. 2017, 15, 641–650. [Google Scholar] [CrossRef]
- Tian, G.; Gao, Z.Q. Frequency response analysis of active disturbance rejection based control system. In Proceedings of the 16th IEEE International Conference on Control Applications, Singapore, 1–3 October 2007; pp. 1595–1599. [Google Scholar]
- Han, J.Q. Active Disturbance Rejection Control (ADRC)—A Control Technique for Estimating and Compensating Uncertainties; National Defence Industry Press: Beijing, China, 2008; pp. 15–25. [Google Scholar]
- Gao, Z.Q. On the foundation of active disturbance rejection control. Control Theory Appl. 2013, 30, 1498–1510. [Google Scholar]
- Gao, Z.Q. On the information problem of engineering control. Syst. Sci. Math. 2016, 36, 908–923. [Google Scholar]
- Gao, Z.Q. Scaling and bandwidth-parameterization based controller tuning. Proc. Am. Control Conf. 2006, 6, 4989–4996. [Google Scholar]
- Yan, T.; Zhu, H.; Sun, L.; Wang, X.; Ling, P. Investigation of an experimental laser sensor-guided spray control system for greenhouse variable-rate applications. Trans. ASABE 2019, 62, 899–911. [Google Scholar] [CrossRef]
- Ruiz-Rodriguez, I.; Pos, R.; Megaritis, T.; Ganippa, L.C. Investigation of Spray Angle Measurement Techniques. IEEE Access 2019, 7, 22276–22289. [Google Scholar] [CrossRef]
- Xie, H.Y.; Xu, H.X. Nonlinear observer for dynamic positioning ships based on PSO. Control Eng. China 2015, 22, 118–122. [Google Scholar]
- Fan, Y.; Shao, J.; Sun, G. Optimized PID Controller Based on Beetle Antennae Search Algorithm for Electro-Hydraulic Position Servo Control System. Sensors 2019, 19, 2727. [Google Scholar] [CrossRef] [PubMed] [Green Version]
- Wei, W.; Dai, M.; Li, J.Q.; Mao, D.P.; Bai, X.G.; Sun, J.H. ADRC control system for airborne opto-electronic platform. Opt. Precis. Eng. 2015, 23, 2296–2305. [Google Scholar] [CrossRef]
- Zhao, L.; Yang, Y.F.; Xia, Y.Q.; Liu, Z. Active disturbance rejection position control for a magnetic rodless pneumatic cylinder. IEEE Trans. Ind. Electron. 2015, 62, 5838–5846. [Google Scholar] [CrossRef]
- Zhang, N.; Niu, B.S.; Wang, H.B.; Chen, F.; Yan, H.; Jin, Z. Design of active rejection controller finger rehabilitation robot structrue and control system. Sci. Technol. Eng. 2019, 19, 166–173. [Google Scholar]
- Zheng, Q.; Gao, L.Q.; Gao, Z.Q. On stability analysis of active disturbance rejection control for nonlinear time-varying plants with unknown dynamics. In Proceedings of the 2007 46th IEEE Conference on Decision and Control, New Orleans, LA, USA, 12–14 December 2007; pp. 3501–3506. [Google Scholar]














| Test Group | The Set Rate/ (L hm−2) | Speed (km h−1) | The Actual Rate (L hm−2) | Error % |
|---|---|---|---|---|
| LADRC | 100 | 6 | 100.2 | 0.2 |
| 100 | 8 | 101.8 | 1.8 | |
| 100 | 10 | 103.7 | 3.7 | |
| 125 | 6 | 124.1 | −0.9 | |
| 125 | 8 | 127.3 | 2.3 | |
| 125 | 10 | 128.4 | 3.4 | |
| 150 | 6 | 147.4 | −2.6 | |
| 150 | 8 | 153.5 | 3.5 | |
| 150 | 10 | 153.2 | 3.2 | |
| PID | 100 | 6 | 103.2 | 3.2 |
| 100 | 8 | 104.5 | 4.5 | |
| 100 | 10 | 109.2 | 9.2 | |
| 125 | 6 | 121.8 | −3.2 | |
| 125 | 8 | 119.4 | 5.6 | |
| 125 | 10 | 121.4 | −3.6 | |
| 150 | 6 | 154.5 | 4.5 | |
| 150 | 8 | 157.4 | 7.4 | |
| 150 | 10 | 142.2 | −7.8 |
Publisher’s Note: MDPI stays neutral with regard to jurisdictional claims in published maps and institutional affiliations. |
© 2021 by the authors. Licensee MDPI, Basel, Switzerland. This article is an open access article distributed under the terms and conditions of the Creative Commons Attribution (CC BY) license (https://creativecommons.org/licenses/by/4.0/).
Share and Cite
Ji, X.; Wang, A.; Wei, X. Precision Control of Spraying Quantity Based on Linear Active Disturbance Rejection Control Method. Agriculture 2021, 11, 761. https://doi.org/10.3390/agriculture11080761
Ji X, Wang A, Wei X. Precision Control of Spraying Quantity Based on Linear Active Disturbance Rejection Control Method. Agriculture. 2021; 11(8):761. https://doi.org/10.3390/agriculture11080761
Chicago/Turabian StyleJi, Xin, Aichen Wang, and Xinhua Wei. 2021. "Precision Control of Spraying Quantity Based on Linear Active Disturbance Rejection Control Method" Agriculture 11, no. 8: 761. https://doi.org/10.3390/agriculture11080761
APA StyleJi, X., Wang, A., & Wei, X. (2021). Precision Control of Spraying Quantity Based on Linear Active Disturbance Rejection Control Method. Agriculture, 11(8), 761. https://doi.org/10.3390/agriculture11080761

