Weed Suppression, Biomass and Nitrogen Accumulation in Mixed-Species and Single-Species Cover Crops in a Tropical Sugarcane Fallow
Abstract
:1. Introduction
2. Materials and Methods
2.1. Trial 1
2.2. Trial 2
2.3. Measurements
2.4. Statistical Analyses
3. Results
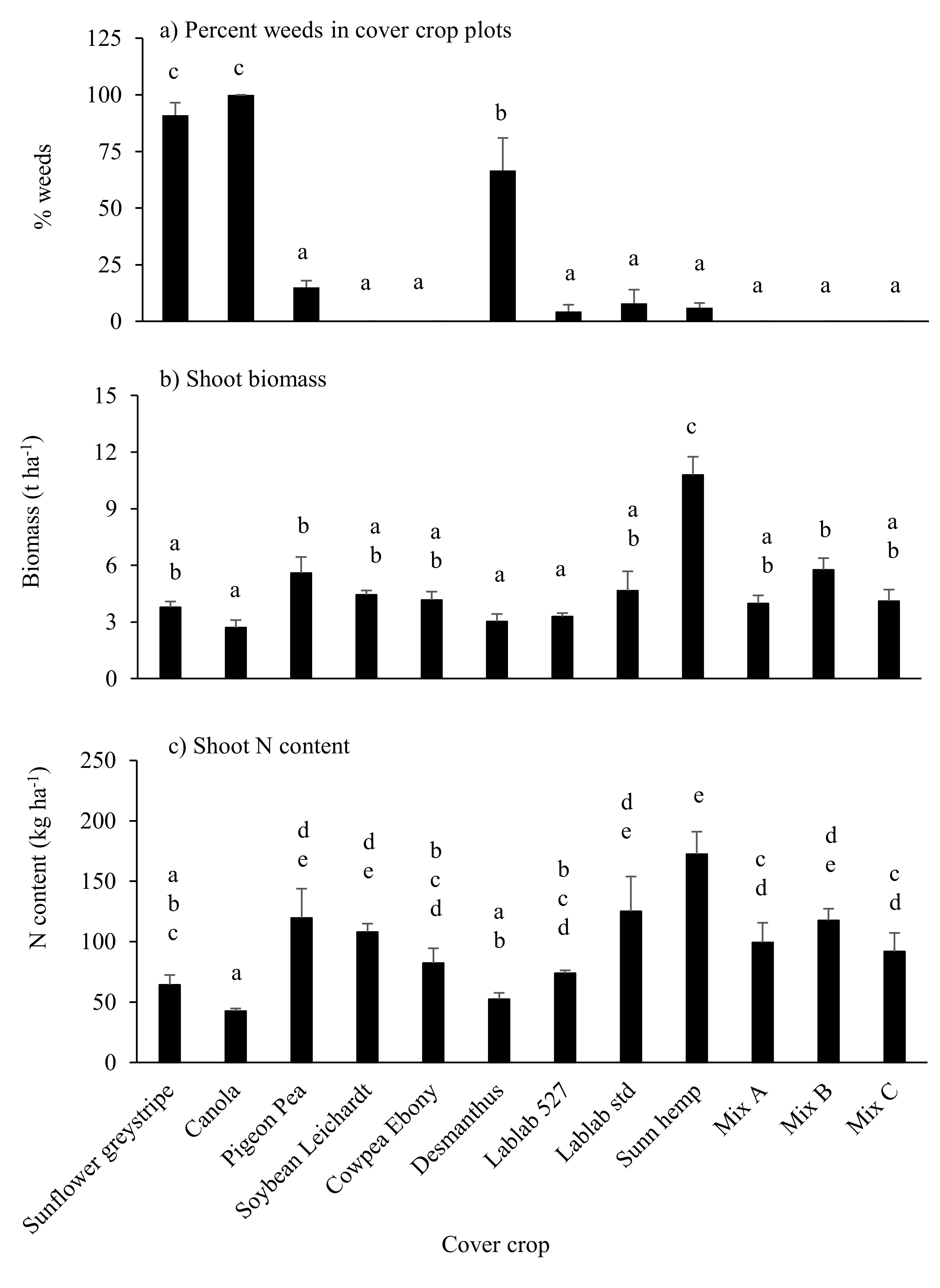
3.1. Trial 1 (2016–2017 Season)
3.2. Trial 2 (2018–2019 Season)
4. Discussion
5. Conclusions
Supplementary Materials
Author Contributions
Funding
Conflicts of Interest
References
- FAOSTAT. 2014. Available online: http://www.fao.org/faostat/en/ (accessed on 20 October 2019).
- Pankhurst, C.E.; Magarey, R.C.; Stirling, G.R.; Blair, B.L.; Bell, M.J.; Garside, A.L. Management practices to improve soil health and reduce the effects of detrimental soil biota associated with yield decline of sugarcane in Queensland, Australia. Soil Till. Res. 2003, 72, 125–137. [Google Scholar] [CrossRef]
- Chumphu, S.; Jongrungklang, N.; Songsri, P. Association of physiological responses and root distribution patterns of ratooning ability and yield of the second ratoon cane in sugarcane elite clones. Agronomy 2019, 9, 200. [Google Scholar] [CrossRef] [Green Version]
- Magarey, R.C. Yield decline in sugarcane. In Current Trends in Sugarcane Pathology; Rao, G.P., Gillespie, A.G., Upadhyaya, P.P., Bergman, A., Agnihotri, V.P., Chen, T.T., Eds.; International Books and Periodicals Supply Service: Pitampura, India, 2003; pp. 393–412. [Google Scholar]
- Garside, A.L.; Bell, M.J. Fallow legumes in the Australian sugar industry: Review of recent research findings and implications for the sugarcane cropping system. Proc. Aust. Soc. Sugar Cane Technol. 2001, 23, 230–235. [Google Scholar]
- Umrit, G.; Bholah, M.A.; Ng Kee Kwong, K.F. Nitrogen benefits of legume green manuring in sugarcane farming systems in Mauritius. Sugar Tech. 2009, 11, 12–16. [Google Scholar] [CrossRef]
- Park, S.E.; Webster, A.J.; Horan, H.L.; James, A.T.; Thorburn, P.J. Legume rotation crops lessen the need for nitrogen fertiliser throughout the sugarcane cropping cycle. Field Crops Res. 2010, 119, 331–341. [Google Scholar] [CrossRef]
- Bell, M.J.; Garside, A.L. Growth and yield responses to amending the sugarcane monoculture: Interactions between break history and nitrogen fertiliser. Crop Pasture Sci. 2014, 65, 287–299. [Google Scholar] [CrossRef] [Green Version]
- Berry, S.D.; Rhodes, R.; Foster, J.; Risede, J.-M.; van Antwerpen, R. The effect of cover crops on plant parasitic nematodes of sugarcane. Int. J. Pest Manag. 2011, 57, 363–375. [Google Scholar] [CrossRef]
- Nachimuthu, G.; Bell, M.J.; Halpin, N. Nitrogen losses in terrestrial hydrological pathways in sugarcane cropping systems of Australia. J. Soil Water Conserv. 2017, 72, 32–35. [Google Scholar] [CrossRef]
- Kaye, J.; Finney, D.; White, C.; Bradley, B.; Schipanski, M.; Alonso-Ayuso, M.; Hunter, M.; Burgess, M.; Mejia, C. Managing nitrogen through cover crop species selection in the US mid-Atlantic. PLoS ONE 2019, 14, e0215448. [Google Scholar] [CrossRef] [PubMed]
- Finney, D.M.; White, C.M.; Kaye, J.P. Biomass production and carbon/nitrogen ratio influence ecosystem services from cover crop mixtures. Agron. J. 2016, 108, 39–52. [Google Scholar] [CrossRef] [Green Version]
- Tilman, D. The ecological consequences of changes in biodiversity: A search for general principles. Ecology 1999, 80, 1455–1474. [Google Scholar] [CrossRef]
- IUSS Working Group WRB. World Reference Base for Soil Resources 2014. In International Soil Classification System for Naming Soils and Creating Legends for Soil Maps, 3rd ed.; FAO: Rome, Italy, 2014. [Google Scholar]
- Shearer, G.; Kohl, D.H. N2 fixation in field settings: Estimations based on natural 15N abundance. Aust. J. Plant Physiol. 1986, 13, 699–756. [Google Scholar]
- Unkovich, M.J.; Herridge, D.F.; Peoples, M.B.; Cadisch, G.; Boddey, R.M.; Giller, K.E.; Alves, B.; Chalk, P.M. Measuring Plant-associated Nitrogen Fixation in Agricultural Systems; Australian Centre for International Agricultural Research: Canberra, Australia, 2008. [Google Scholar]
- Kearney, L.J.; Dutilloy, E.; Rose, T.J. Nitrogen fixation in summer-grown soybean crops and fate of fixed-N over a winter fallow in subtropical sugarcane systems. Soil Res. 2019, 57, 845–850. [Google Scholar] [CrossRef]
- Bell, L.W.; Lawrence, J.; Johnson, B.; Peoples, M.B. New ley legumes increase nitrogen fixation and availability and grain crop yields in subtropical cropping systems. Crop Pasture Sci. 2017, 68, 11–26. [Google Scholar] [CrossRef]
- VSN International. Genstat for Windows, 19th ed.; VSN International: Hemel Hempstead, UK, 2018. [Google Scholar]
- Wortman, S.E.; Francis, C.A.; Lindquist, J.L. Cover crop mixtures for the western corn belt: Opportunities for increased productivity and stability. Agron. J. 2012, 104, 699–705. [Google Scholar] [CrossRef] [Green Version]
- Florence, A.M.; Higley, L.G.; Drijber, R.A.; Francis, C.A.; Lindquist, J.L. Cover crop mixture diversity, biomass productivity, weed suppression, and stability. PLoS ONE 2019, 14, e0206195. [Google Scholar] [CrossRef] [PubMed] [Green Version]
- Antosh, E.; Idowu, J.; Schutte, B.; Lehnhoff, E. Winter cover crops effects on soil properties and sweet corn yield in semi-arid irrigated systems. Agron. J. 2020, 112, 92–106. [Google Scholar] [CrossRef]
- Sung, F.J.M. Waterlogging effect on nodule nitrogenase and leaf nitrate reductase activities in soybean. Field Crop. Res. 1993, 35, 183–189. [Google Scholar] [CrossRef]
- Rose, T.J.; Kearney, L.J.; Erler, D.V.; Rose, M.T.; Van Zwieten, L.; Raymond, C.A. Influence of growth stage and seed nitrogen on B values and potential contributions to error in estimating biological N2 fixation using the 15N natural abundance method. Plant Soil 2018, 425, 389–399. [Google Scholar] [CrossRef]
- Dabney, S.; Delgado, J.A.; Reeves, D.W. Using winter cover crops to improve soil and water quality. Commun. Soil Sci. Plant Anal. 2001, 32, 1221–1250. [Google Scholar] [CrossRef]



| Property | Units | Trial 1 | Trial 2 |
|---|---|---|---|
| Organic carbon | % | 1.29 | 1.30 |
| pH (1:5 H2O) | pH units | 4.6 | 5.0 |
| EC | dS m−1 | 0.04 | 0.04 |
| Colwell P | mg kg−1 | NA | 97 |
| BSES P | mg kg−1 | 124 | 120 |
| Effective CEC | cmol+ kg−1 | 4.9 | 5.8 |
| Base cations | |||
| Calcium | cmol+ kg−1 | 1.0 | 2.7 |
| Magnesium | cmol+ kg−1 | 0.40 | 0.56 |
| Potassium | cmol+ kg−1 | 0.26 | 0.36 |
| Sodium | cmol+ kg−1 | 0.04 | 0.08 |
| Aluminium | cmol+ kg−1 | 3.2 | 1.59 |
| DPTA-extractable micronutrients | |||
| Zinc | mg kg−1 | 1.89 | 0.6 |
| Manganese | mg kg−1 | 29.1 | 8.7 |
| Iron | mg kg−1 | 638 | 221 |
| Copper | mg kg−1 | 0.94 | 0.8 |
| Treatment | Rhizobium | Seeding Rate (kg ha−1) | |
|---|---|---|---|
| Trial 1 | Trial 2 | ||
| Soybean (Glycine max) cv. Leichardt | Group H | 40 | 40 |
| Soybean cv. Kuranda | Group H | NA | 40 |
| Soybean cv. Mossman | Group H | NA | 40 |
| Sunflower (Helianthus annuus) cv. Grey stripe | NA | 2 | 2 |
| Sunn hemp (Crotalaria juncea) cv. Global sunn | Group M | 20 | 20 |
| Lablab (Lablab purpureus) cv. Rongai | Group J | 25 | 25 |
| Lablab cv. Rongai 527 | Group J | 25 | Not sown |
| Cowpea (Vigna unguiculata) cv. Ebony | Group I | 30 | 30 |
| Desmanthus (Desmanthus virgatus) cv. Sugarbush | CB3126 | 8 | Not sown |
| Pigeon pea (Cajanus cajan) cv. ASSG sunrise. | Group J | 30 | 30 |
| Velvet bean (Mucuna pruriens) cv. Dominator | Group M | Not sown | 3 |
| Radish (Raphanus sativus) cv. Daikon | NA | Not sown | 9 |
| Jap millet (Echinochloa esculenta) cv. Japanese Barnyard Millet. | NA | Not sown | 6 |
| Rice (Oryza sativa L.) cv. Doongara | NA | Not sown | 70 |
| Canola (Brassica napus L.) cv. Hyola 504RR | NA | 5 | Not sown |
| Burgundy bean (Macroptilium bracteatum) cv. B1 | CB1717 | Not sown | 6 |
| Mix A: soybean cv. Leichardt, desmanthus cv. Sugarbush, cowpea cv. Ebony, sunflower cv. White stripe | Mix of Group H, I and CB3126 | Soybean 8; desmanthus 8; cowpea 8 sunflower 7 | Not sown |
| Mix B: sunn hemp cv. Global Sunn, soybean cv. Leichhardt, cowpea cv. Ebony, sunflower cv. White stripe | Mix of Group H, I and M | Soybean 8; sunn hemp 7; cowpea 8; sunflower 7 | NA |
| Mix C: soybean cv. Leichardt, lablab cv. Rongai, cowpea cv. Ebony | Mix of Group H, I and J | Soybean 10; lablab 10; cowpea 10 | NA |
| Mix 1: soybean cv. Leichardt, cowpea cv. Ebony, cowpea cv. Meringa, sunn hemp cv. Global sunn, lablab cv. Rongai | Mix of Group H, I, J and M | NA | Soybean 7.5; cowpea Ebony 7.5; cowpea Meringa 7.5; sunn hemp 7.5; lablab Rongai 7.5 |
| Mix 2: soybean cv. Leichardt, cowpea cv. Ebony, sunn hemp cv. Global Sunn, pigeon pea cv. ASSG sunrise, sunflower cv. White stripe, Jap millet, radish cv. daikon | Mix of Group H, I and M | NA | Soybean 4; cowpea 4; sunn hemp 4; pigeon pea 4; sunflower 4; Jap millet 5; radish 5 |
| Mix 3: cowpea cv. Ebony, cowpea cv. Meringa, lablab cv. Rongai | Mix of Group I and J | NA | Cowpea Ebony 7.5; cowpea Meringa 7.5; lablab Rongai 7.5 |
| Species | %Ndfa (%) | Fixed N in Shoots (kg ha−1) |
|---|---|---|
| Soybean cv. Leichardt | 52 ± 10 | 68 ± 11 |
| Soybean cv. Kuranda | 69 ± 4 | 49 ± 14 |
| Soybean cv. Mossman | 55 ± 6 | 49 ± 1 |
| Sunn hemp cv. Global Sunn | 47 ± 12 | 29 ± 8 |
| Lablab cv. Rongai | 45 ± 12 | 41 ± 21 |
| Pigeon pea cv. ASSG Sunrise | 90 ± 3 | 68 ± 8 |
| Velvet bean cv. Dominator | 61 ± 6 | 45 ± 10 |
| Burgundy bean cv. B1 | 67 ± 12 | 49 ± 14 |
Publisher’s Note: MDPI stays neutral with regard to jurisdictional claims in published maps and institutional affiliations. |
© 2021 by the authors. Licensee MDPI, Basel, Switzerland. This article is an open access article distributed under the terms and conditions of the Creative Commons Attribution (CC BY) license (https://creativecommons.org/licenses/by/4.0/).
Share and Cite
Di Bella, L.; Zahmel, M.; van Zwieten, L.; Rose, T.J. Weed Suppression, Biomass and Nitrogen Accumulation in Mixed-Species and Single-Species Cover Crops in a Tropical Sugarcane Fallow. Agriculture 2021, 11, 640. https://doi.org/10.3390/agriculture11070640
Di Bella L, Zahmel M, van Zwieten L, Rose TJ. Weed Suppression, Biomass and Nitrogen Accumulation in Mixed-Species and Single-Species Cover Crops in a Tropical Sugarcane Fallow. Agriculture. 2021; 11(7):640. https://doi.org/10.3390/agriculture11070640
Chicago/Turabian StyleDi Bella, Lawrence, Megan Zahmel, Lukas van Zwieten, and Terry J. Rose. 2021. "Weed Suppression, Biomass and Nitrogen Accumulation in Mixed-Species and Single-Species Cover Crops in a Tropical Sugarcane Fallow" Agriculture 11, no. 7: 640. https://doi.org/10.3390/agriculture11070640
APA StyleDi Bella, L., Zahmel, M., van Zwieten, L., & Rose, T. J. (2021). Weed Suppression, Biomass and Nitrogen Accumulation in Mixed-Species and Single-Species Cover Crops in a Tropical Sugarcane Fallow. Agriculture, 11(7), 640. https://doi.org/10.3390/agriculture11070640

