Experimental Study of Abrasive Waterjet Cutting for Managing Residues in No-Tillage Techniques
Abstract
1. Introduction
1.1. State of the Art
1.2. Objectives
2. Materials and Methods
2.1. Material and Sample Preparation
2.2. Experimental Equipment: AWJ Cutting System and Handling System
2.3. Experiments
- Primary orifice diameter, dn (mm);
- Water pressure, p (MPa);
- Standoff distance, sod (mm);
- Abrasive mass flow rate, a (g·min−1);
- Traverse velocity, v (m·s−1);
- Orientation, (°);
- Thickness, t (mm).
2.4. Data Analysis
- Exploratory graphical analysis: data were represented according to the main effect plots, as well as two factors interaction plots, to visually investigate the most influential effects;
- Multivariable logistic model was built: the odds ratio of each predictor to the response variable (i.e., the cutting efficiency) was estimated;
- An Analysis of deviance was performed to identify significant factors;
- For each odds ratio, the 95% CI was estimated.
3. Results
3.1. Preliminary Experiment
3.2. Stasitically Designed Experiment
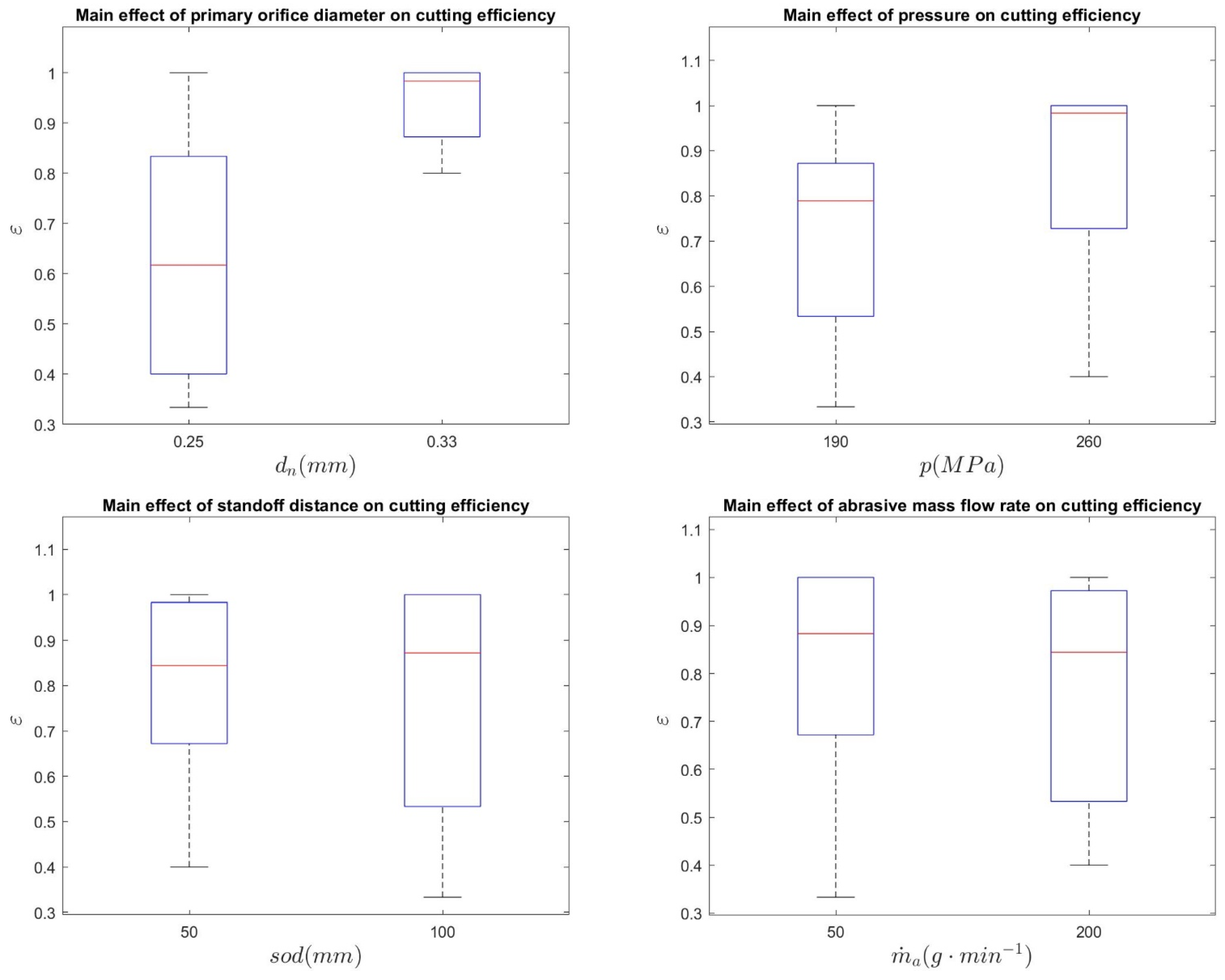
3.3. Data Analysis
- Straw orientation and abrasive mass flow rate were found to have poor significance in the model, likely indicating that the cutting efficiency may not be based on material erosion due to the interaction between abrasive particles and straw tissue but rather on the impulsive impact of the jet on straw;
- Standoff distance was found to have poor significance in the model: in all treatment combinations (with a ratio sod/dn < 400), the waterjet kinetic energy was sufficiently high to cut through the target straw.
4. Discussion
5. Conclusions
- The most significant process parameters influencing the straws cutting efficiency were identified: primary orifice diameter, as well as water pressure, were found to be the most influential process parameters, along with straws coverage thickness.
- Standoff and traverse velocity were found to be not significant. Since the jet was able to cut at standoff distance up to 150 mm and velocity of 2.2 m·s−1, a field application seems to be reasonable.
- Jet hydraulic power might be the most valuable quantity to explain the cutting efficiency.
- Power and water consumptions were assessed considering a reference scenario of maize direct seeding. The required hydraulic power for cutting operations was estimated to range from 5 kW up to 7.5 kW in presence of a residue coverage thickness that ranges from 15 mm to 25 mm. Indeed, an average water consumption of about 30 L·ha−1 per nozzle was estimated.
Author Contributions
Funding
Institutional Review Board Statement
Data Availability Statement
Acknowledgments
Conflicts of Interest
Nomenclature of the Abrasive Waterjet Cutting Technology
| MPa | Water pressure | |
| mm | Primary orifice diameter | |
| kg·m−3 | Water density | |
| m·s−1 | Waterjet theoretical velocity | |
| -, MPa | Constants | |
| m·s−1 | Real jet velocity | |
| - | Compressibility coefficient | |
| - | Velocity coefficient | |
| - | Discharge coefficient | |
| kg·s−1 | Water mass flow rate | |
| m3·s−1 | Water volume flow rate | |
| m2 | Jet cross-sectional area of the orifice | |
| W | Jet hydraulic power | |
| kg·s−1 | Abrasive mass flow rate | |
| mm | Focuser tube diameter | |
| sod | mm | Standoff distance |
| m·s−1 | Traverse velocity | |
| ° | Sample orientation | |
| mm | Sample thickness | |
| - | Cutting efficiency |
References
- Ranaivoson, L.; Naudin, K.; Ripoche, A.; Affholder, F.; Rabeharisoa, R.L.; Corbeels, M. Agro-ecological functions of crop residues under conservation agriculture. A review. Agron. Sustain. Dev. 2017, 37, 26. [Google Scholar] [CrossRef]
- Calcante, A.; Oberti, R. A Technical-Economic Comparison between Conventional Tillage and Conservative Techniques in Paddy-Rice Production Practice in Northern Italy. Agronomy 2019, 9, 886. [Google Scholar] [CrossRef]
- Mkomwa, S.; Kaumbutho, P.; Makungu, P. Farm Machinery for Conservation Agriculture. In Conservation Agriculture; Metzler, J.B., Ed.; Springer: Cham, Switzerland, 2015; pp. 109–131. [Google Scholar]
- Baker, C.J.; Saxton, K.E. (Eds.) No-Tillage Seeding in Conservation Agriculture; CABI: Wallingford, UK, 2007. [Google Scholar]
- Swan, J. Seed-row residue management for corn establishment in the northern US Corn Belt. Soil Tillage Res. 1996, 40, 55–72. [Google Scholar] [CrossRef]
- Celik, A.; Ozturk, I.; Way, T.R. Effects of Various Planters on Emergence and Seed Distribution Uniformity of Sunflower. Appl. Eng. Agric. 2007, 23, 57–61. [Google Scholar] [CrossRef]
- Upadhyaya, M.K.; Blackshaw, R.E. Non-Chemical Weed Management: Principles, Concepts and Technology; CABI: Wallingford, UK, 2007. [Google Scholar]
- Momber, A.W.; Kovacevic, R. Principles of Abrasive Water Jet Machining; Springer Science and Business Media LLC.: Berlin, Germany, 1998. [Google Scholar]
- Liu, X.; Liang, Z.; Wen, G.; Yuan, X. Waterjet machining and research developments: A review. Int. J. Adv. Manuf. Technol. 2019, 102, 1257–1335. [Google Scholar] [CrossRef]
- Natarajan, Y.; Murugesan, P.K.; Mohan, M.; Khan, S.A.L.A. Abrasive Water Jet Machining process: A state of art of review. J. Manuf. Process. 2020, 49, 271–322. [Google Scholar] [CrossRef]
- Monno, M.; Annoni, M.; Ravasio, C. Waterjet, a Flexible Technology; Polipress: Milan, Italy, 2007. [Google Scholar]
- Annoni, M.; Arleo, F.; Viganò, F. Micro-waterjet Technology. In Micro-Manufacturing Technologies and Their Applications; Fassi, I., Shipley, D., Eds.; Springer Tracts in Mechanical Engineering: New York, NY, USA, 2017; pp. 129–148. [Google Scholar]
- Hashish, M. Pressure Effects in Abrasive-Waterjet (AWJ) Machining. J. Eng. Mater. Technol. 1989, 111, 221–228. [Google Scholar] [CrossRef]
- De Corato, U. Improving the shelf-life and quality of fresh and minimally-processed fruits and vegetables for a modern food industry: A comprehensive critical review from the traditional technologies into the most promising advancements. Crit. Rev. Food Sci. Nutr. 2019, 60, 940–975. [Google Scholar] [CrossRef]
- Allende, A.; Barberán, F.T.; Gil Muñoz, M.I. Minimal processing for healthy traditional foods. Trends Food Sci. Technol. 2006, 17, 513–519. [Google Scholar] [CrossRef]
- Tapia, M.R.; Gutierrez-Pacheco, M.M.; Vazquez-Armenta, F.J.; Aguilar, G.G.; Zavala, J.A.; Rahman, M.S.; Siddiqui, M.W. Washing, peeling and cutting of fresh-cut fruits and vegetables. In Minimally Processed Foods; Springer: Cham, Switzerland, 2015; pp. 57–78. [Google Scholar]
- Carreño-Olejua, R.; Hofacker, W.C.; Hensel, O. High-Pressure Water-Jet Technology as a Method of Improving the Quality of Post-Harvest Processing. Food Bioprocess. Technol. 2010, 3, 853–860. [Google Scholar] [CrossRef]
- Wulfkuehler, S.; Stark, S.; Dietz, J.; Schmidt, H.; Weiss, A.; Carle, R. Effect of Water Jet Cutting and Moderate Heat Treatment on Quality of Fresh-Cut Red Oak Leaf Lettuce (Lactuca sativa L. var. crispa). Food Bioprocess. Technol. 2014, 7, 3478–3492. [Google Scholar] [CrossRef]
- Hägele, F.; Nübling, S.; Schweiggert, R.M.; Nolte, L.; Weiss, A.; Schmidt, H.; Carle, R. Comparison of ultra-high-pressure water jet and conventional rotating blade cutting for the production of fresh-cut iceberg (Lactuca sativa L.) and endive (Cichorium endivia L.). Eur. Food Res. Technol. 2016, 242, 2071–2081. [Google Scholar] [CrossRef]
- McGeough, J. Cutting of Food Products by Ice-particles in a Water-jet. Procedia CIRP 2016, 42, 863–865. [Google Scholar] [CrossRef]
- Jerman, M.; Orbanić, H.; Junkar, M.; Lebar, A. Thermal aspects of ice abrasive water jet technology. Adv. Mech. Eng. 2015, 7, 1687814015597619. [Google Scholar] [CrossRef]
- Melentiev, R.; Fang, F. Recent advances and challenges of abrasive jet machining. CIRP J. Manuf. Sci. Technol. 2018, 22, 1–20. [Google Scholar] [CrossRef]
- Wang, J.; Shanmugam, D. Cutting meat with bone using an ultrahigh pressure abrasive waterjet. Meat Sci. 2009, 81, 671–677. [Google Scholar] [CrossRef]
- Zheng, W.; Jiang, Y.; Ma, X.; Qi, L. Development of a liquid-jet nozzle for fertilizer injection in paddy fields using CFD. Comput. Electron. Agric. 2019, 167, 105061. [Google Scholar] [CrossRef]
- Nyord, T.; Søgaard, H.; Hansen, M.; Jensen, L.S. Injection methods to reduce ammonia emission from volatile liquid fertilisers applied to growing crops. Biosyst. Eng. 2008, 100, 235–244. [Google Scholar] [CrossRef]
- Niemoeller, B.; Harms, H.H.; Lang, T. Injection of liquids into the soil with a high-pressure jet. Agric. Eng. Int. CIGR J. 2011, 13, 1–15. [Google Scholar]
- Valco, T.D.; Coble, C.G.; Ruff, J.H. Water Jet Cutting of Sugarcane. Trans. ASAE 1989, 32, 0373–0378. [Google Scholar] [CrossRef]
- Desbiolles, J.; Taki, O.; Butler, G. A laboratory evaluation of waterjet cutting of crop residue using the Aqua-Till® liquid coulter. Soil Tillage Res. 2020, 198, 104537. [Google Scholar] [CrossRef]
- Hu, H.; Li, H.; Wang, Q.; He, J.; Lu, C.; Wang, Y.; Liu, P. Anti-blocking performance of ultrahigh-pressure waterjet assisted furrow opener for no-till seeder. Int. J. Agric. Biol. Eng. 2020, 13, 64–70. [Google Scholar] [CrossRef]
- Hu, H.; Li, H.; Niu, Q.; Wei, Z.; Zhao, H. Numerical Model of Maize Straw under Ultra-High Pressure Waterjet. In 2018 ASABE Annual International Meeting; American Society of Agricultural and Biological Engineers: St. Joseph, MO, USA, 2018; p. 1. [Google Scholar]
- Thanomputra, S.; Kiatiwat, T. Simulation study of cutting sugarcane using fine sand abrasive waterjet. Agric. Nat. Resour. 2016, 50, 146–153. [Google Scholar] [CrossRef]
- Chalmers, E.J. Effect of parameter selection on abrasive waterjet performance. In Proceedings of the 6th American Waterjet Conference, Houston, TX, USA, 24–27 August 1991; pp. 345–354. [Google Scholar]
- Preece, D.A.; Montgomery, D.C. Design and Analysis of Experiments; John Wiley & Sons: Hoboken, NJ, USA, 1978; Volume 46, p. 120. [Google Scholar] [CrossRef][Green Version]
- Neter, J.; Wasserman, W.; Kutner, M.H. Applied Linear Regression Models; Richard, D., Ed.; Irwin, Inc.: Huntersville, NC, USA, 1989. [Google Scholar]
- Wang, J. A machinability study of polymer matrix composites using abrasive waterjet cutting technology. J. Mater. Process. Technol. 1999, 94, 30–35. [Google Scholar] [CrossRef]
- Wang, J.; Guo, D. A predictive depth of penetration model for abrasive waterjet cutting of polymer matrix composites. J. Mater. Process. Technol. 2002, 121, 390–394. [Google Scholar] [CrossRef]
- Persson, S. Mechanics of Cutting Plant Material; American Society of Agricultural Engineers: St. Joseph, MO, USA, 1987. [Google Scholar]
- Zhang, L.; Chen, K.; He, L.; Peng, L. Reinforcement of the bio-gas conversion from pyrolysis of wheat straw by hot caustic pre-extraction. Biotechnol. Biofuels 2018, 11, 72. [Google Scholar] [CrossRef]
- Thakur, R.K.; Singh, K.K. Abrasive waterjet machining of fiber-reinforced composites: A state-of-the-art re-view. J. Braz. Soc. Mech. Sci. Eng. 2020, 42, 1–25. [Google Scholar] [CrossRef]
- Mm, I.W.; Azmi, A.; Lee, C.; Mansor, A. Kerf taper and delamination damage minimization of FRP hybrid composites under abrasive water-jet machining. Int. J. Adv. Manuf. Technol. 2016, 94, 1727–1744. [Google Scholar] [CrossRef]











| Author | p (MPa) | dn (mm) | sod (mm) | v (m·s−1) | Residue | Response Variable |
|---|---|---|---|---|---|---|
| [27] | 200–400 | 0.23, 0.28, 0.36 | 30–230 | 0.44–1.33 | Sugarcane | Cutting depth |
| [28] | 170–380 | 0.15–0.30 | 5–70 | 1.67–3.33 | Wheat straws | Cutting capacity |
| [29] | 240–280 | 0.30 | 20 | 0.83–1.38 | Maize stalks | Cutting depth |
| Chemical Name | Symbol | Proportion (Weight %) |
|---|---|---|
| Almandine Garnet | Fe3Al2(SiO4)3 | >97 |
| Ilmenite | FeTiO3 | <2.0 |
| Calcium Carbonate | CaCo3 | <1.5 |
| Zircon | ZrSiO4 | <0.2 |
| Quartz | SiO2 | <0.2 |
| Factors | Value |
|---|---|
| Constant Parameters | |
| Impact angle, φ (°) | 90 |
| Focusing tube length, lf (mm) | 75 |
| Type of abrasive | Barton Garnet |
| Abrasive mesh | 80 |
| Water pressure, p (MPa) | 100–260 |
| Standoff distance, sod (mm) | 50–100 |
| Abrasive mass flow rate (g·min−1) | 25–200 |
| Traverse velocity, v (m·s−1) | 1.1–2.78 |
| Thickness, t (mm) | 15–25 |
| Orientation, (°) | 60–90 |
| Primary orifice diameter, dn (mm) | 0.25–0.33 |
| Focusing tube diameter, df (mm) | 0.75–1.0 |
| Run Order | dn | p | sod | v | t | ||
|---|---|---|---|---|---|---|---|
| 1 | 0.25 | 100 | 100 | 25 | 2.78 | 15 | 90 |
| 2 | 0.25 | 150 | 100 | 25 | 2.78 | 15 | 90 |
| 3 | 0.25 | 150 | 100 | 25 | 2.78 | 15 | 90 |
| 4 | 0.25 | 150 | 100 | 25 | 2.20 | 15 | 90 |
| 5 | 0.25 | 175 | 100 | 100 | 2.20 | 15 | 90 |
| 6 | 0.25 | 175 | 100 | 100 | 2.20 | 15 | 90 |
| 7 | 0.25 | 200 | 100 | 25 | 2.20 | 15 | 90 |
| 8 | 0.25 | 200 | 100 | 100 | 2.20 | 15 | 90 |
| 9 | 0.25 | 200 | 100 | 100 | 2.78 | 15 | 90 |
| 10 | 0.25 | 200 | 100 | 50 | 2.20 | 15 | 90 |
| 11 | 0.25 | 200 | 100 | 100 | 2.20 | 15 | 90 |
| Run Order | dn | p | sod | v | t | ||
|---|---|---|---|---|---|---|---|
| 1 | 0.33 | 260 | 50 | 200 | 1.11 | 15 | 90 |
| 2 | 0.33 | 190 | 100 | 50 | 2.22 | 25 | 90 |
| 3 | 0.33 | 260 | 100 | 200 | 1.11 | 25 | 60 |
| 4 | 0.33 | 190 | 100 | 200 | 2.22 | 15 | 90 |
| 5 | 0.33 | 190 | 50 | 200 | 2.22 | 25 | 60 |
| 6 | 0.33 | 260 | 50 | 50 | 2.22 | 25 | 90 |
| 7 | 0.33 | 260 | 100 | 50 | 2.22 | 15 | 60 |
| 8 | 0.33 | 190 | 50 | 50 | 1.11 | 15 | 60 |
| 9 | 0.25 | 260 | 100 | 200 | 2.22 | 25 | 90 |
| 10 | 0.25 | 190 | 100 | 200 | 1.11 | 15 | 60 |
| 11 | 0.25 | 260 | 100 | 50 | 1.11 | 15 | 90 |
| 12 | 0.25 | 190 | 100 | 50 | 2.22 | 25 | 60 |
| 13 | 0.25 | 260 | 50 | 50 | 1.11 | 25 | 60 |
| 14 | 0.25 | 260 | 50 | 200 | 2.22 | 15 | 60 |
| 15 | 0.25 | 190 | 50 | 50 | 2.22 | 15 | 90 |
| 16 | 0.25 | 190 | 50 | 200 | 1.11 | 25 | 90 |
| Source | Df | Deviance | Residual Df | Residual Deviance | p-Value |
|---|---|---|---|---|---|
| Null | 15 | 138.573 | |||
| Primary orifice diameter | 1 | 67.931 | 14 | 70.462 | <2.2 × 10−16 |
| Water pressure | 1 | 12.352 | 13 | 58.290 | 0.0004404 |
| Standoff distance | 1 | 0.856 | 12 | 57.434 | 0.3547515 |
| Traverse velocity | 1 | 1.153 | 11 | 56.281 | 0.2830232 |
| Abrasive mass flow rate | 1 | 0.863 | 10 | 55.418 | 0.3528519 |
| Thickness | 1 | 42.526 | 9 | 12.892 | 6.976 × 10−11 |
| Orientation | 1 | 0.009 | 8 | 12.883 | 0.9238731 |
| Standoff distance × traverse velocity | 1 | 0.030 | 7 | 12.853 | 0.8633043 |
| Source | Estimate | 95% Confidence Interval | p-value | |
|---|---|---|---|---|
| Intercept | 1.1764 | 0.5698577 | 1.850685 | 0.000283 |
| Primary orifice diameter | 2.5616 | 1.9230061 | 3.267258 | 6.04 × 10−14 |
| Water pressure | 1.0869 | 0.5179666 | 1.680748 | 0.000238 |
| Thickness | −2.0493 | −2.7868986 | −1.381458 | 9.12 × 10−9 |
| Source | Symbol | Coefficient | Std. Error | Z Score | p-Value |
|---|---|---|---|---|---|
| Intercept | 1.6781808 | 0.8644443 | 1.941 | 0.0522 | |
| Power | 0.0007238 | 0.0001027 | 7.049 | 1.80 × 10−12 | |
| Thickness | t | −0.2024999 | 0.0355011 | −5.704 | 1.17 × 10-8 |
| Run | dn (mm) | p (MPa) | Phydr (W) | t (mm) | Measured | Predicted | 95% Confidence Interval | |
|---|---|---|---|---|---|---|---|---|
| 1 | 0.25 | 200 | 3730 | 15 | 0.61 | 0.79 | 0.69 | 0.89 |
| 2 | 0.25 | 260 | 5250 | 25 | 0.47 | 0.43 | 0.34 | 0.52 |
| 3 | 0.30 | 225 | 6390 | 20 | 0.88 | 0.90 | 0.86 | 0.94 |
Publisher’s Note: MDPI stays neutral with regard to jurisdictional claims in published maps and institutional affiliations. |
© 2021 by the authors. Licensee MDPI, Basel, Switzerland. This article is an open access article distributed under the terms and conditions of the Creative Commons Attribution (CC BY) license (https://creativecommons.org/licenses/by/4.0/).
Share and Cite
Perotti, F.; Annoni, M.; Calcante, A.; Monno, M.; Mussi, V.; Oberti, R. Experimental Study of Abrasive Waterjet Cutting for Managing Residues in No-Tillage Techniques. Agriculture 2021, 11, 392. https://doi.org/10.3390/agriculture11050392
Perotti F, Annoni M, Calcante A, Monno M, Mussi V, Oberti R. Experimental Study of Abrasive Waterjet Cutting for Managing Residues in No-Tillage Techniques. Agriculture. 2021; 11(5):392. https://doi.org/10.3390/agriculture11050392
Chicago/Turabian StylePerotti, Francesco, Massimiliano Annoni, Aldo Calcante, Michele Monno, Valerio Mussi, and Roberto Oberti. 2021. "Experimental Study of Abrasive Waterjet Cutting for Managing Residues in No-Tillage Techniques" Agriculture 11, no. 5: 392. https://doi.org/10.3390/agriculture11050392
APA StylePerotti, F., Annoni, M., Calcante, A., Monno, M., Mussi, V., & Oberti, R. (2021). Experimental Study of Abrasive Waterjet Cutting for Managing Residues in No-Tillage Techniques. Agriculture, 11(5), 392. https://doi.org/10.3390/agriculture11050392

