Accumulation Dynamics of Starch and Its Granule Size Distribution of Cassava Genotypes at Different Growing Seasons
Abstract
1. Introduction
2. Materials and Methods
2.1. Planting Details and Experimental Design
2.2. Crop Management
2.3. Soil Properties and Meteorological Conditions
2.4. Determination of Content and Yield of Starch, Size of Starch Granule and Amylose Content
2.5. Statistical Analysis
3. Results
3.1. Soil Properties and Weather Conditions
3.2. Combined Analysis of Variance
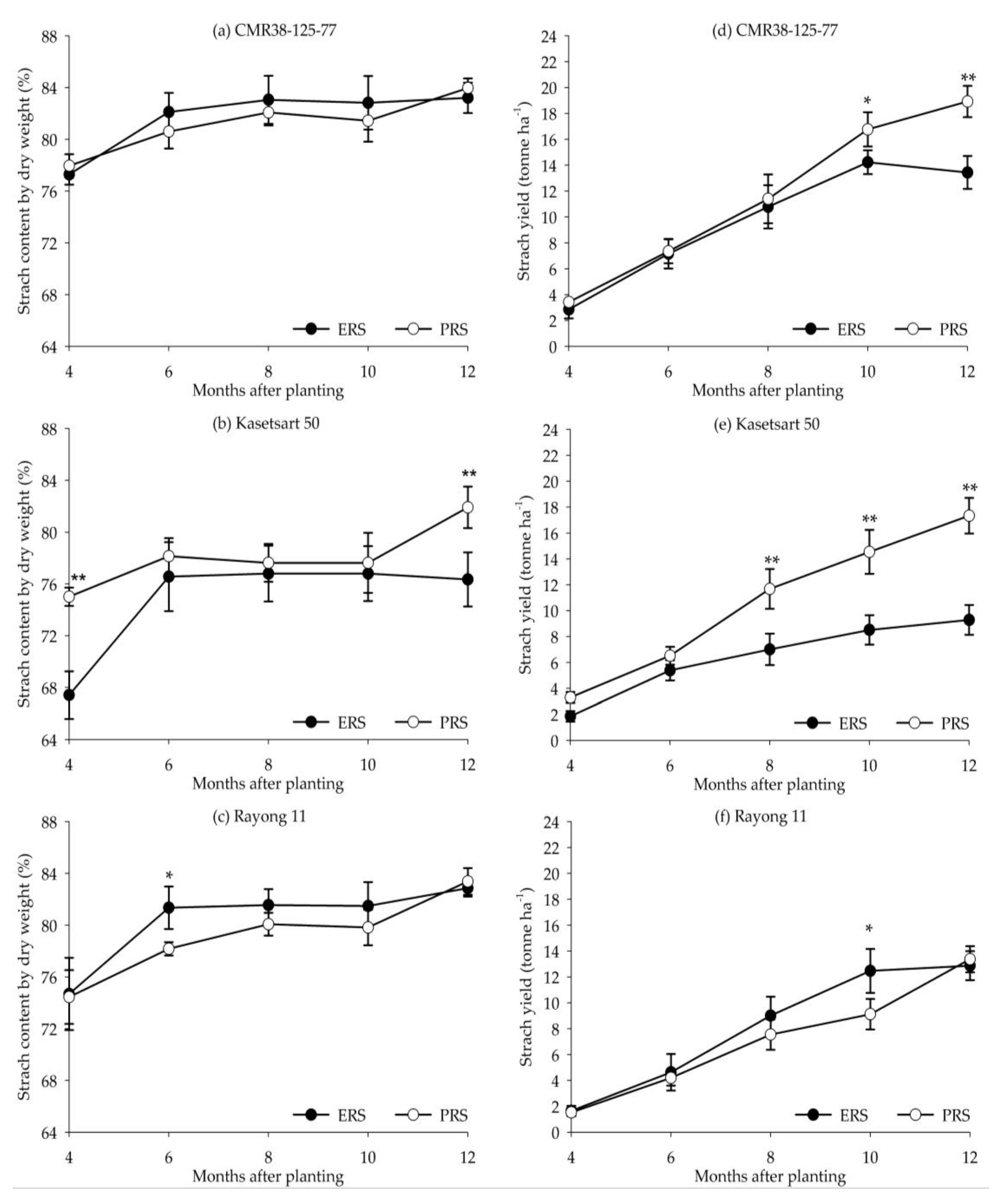
3.3. Variation in Starch Content, SAR and Starch Yield
3.4. Variation in Size of Starch Granule and Amylose Content
4. Discussion
5. Conclusions
Author Contributions
Funding
Acknowledgments
Conflicts of Interest
References
- Our World in Data. Available online: https://ourworldindata.org/world-population-growth (accessed on 2 January 2020).
- Alves, A.A.C. Cassava botany and physiology. In Cassava: Biology, Production and Utilization; Hillocks, R.J., Thresh, J.M., Bellotti, A., Eds.; CABI Publishing: New York, NY, USA, 2002; pp. 67–89. [Google Scholar]
- Maung Aye, T.; Howeler, R.H. Integrated crop management for cassava cultivation in Asia. In Achieving Sustainable Cultivation of Cassava Volume 1: Cultivation Techniques; Clair, H., Ed.; Burleigh Dodds Science Publishing Limited: Cambridge, UK, 2017; pp. 1–29. [Google Scholar]
- Food and Agricultural Organization of the United Nations (FAO). Available online: http://fao.org/faostat/en/#home (accessed on 4 October 2019).
- El-Sharkawy, M.A. Drought-tolerant cassava for Africa, Asia, and Latin America. Biol. Sci. 1993, 43, 441–451. [Google Scholar] [CrossRef]
- Howeler, R.H. Cassava mineral nutrition and fertilization. In Cassava: Biology, Production and Utilization; Hillocks, R.J., Thresh, J.M., Bellotti, A., Eds.; CABI Publishing: New York, NY, USA, 2002; pp. 281–300. [Google Scholar]
- Benesi, I.R.M.; Labuschagne, M.T.; Herselman, L.; Mahungu, N.M.; Saka, J.K. The effect of genotype, location and season on cassava starch extraction. Euphytica 2008, 160, 59–74. [Google Scholar] [CrossRef]
- Santisopasri, V.; Kurotjanawong, K.; Chotineeranat, S.; Piyachomkwan, K.; Sriroth, K. Impact of water stress on yield and quality of cassava starch. Ind. Crops Prod. 2001, 13, 115–129. [Google Scholar] [CrossRef]
- Ebah-Djedji, B.C.; Dje, K.M.; N’Zue, B.; Zohouri, G.P.; Amani, N.G. Effect of harvest period on starch yield and dry matter content from the tuberous roots of improved cassava (Manihot esculenta Crantz) varieties. Pak. J. Nutr. 2012, 11, 414–418. [Google Scholar] [CrossRef][Green Version]
- El-Sharkawy, M.A. Cassava biology and physiology. Plant Mol. Biol. 2004, 56, 481–501. [Google Scholar] [CrossRef] [PubMed]
- Janket, A.; Vorasoot, N.; Toomsan, B.; Kaewpradit, W.; Banterng, P.; Kesmala, T.; Theerakulpisut, P.; Jogloy, S. Seasonal variation in starch accumulation and starch granule size in cassava genotypes in a tropical savanna climate. Agronomy 2018, 8, 297. [Google Scholar] [CrossRef]
- Sawatraksa, N.; Banterng, P.; Jogloy, S. Chlorophyll fluorescence and biomass of four cassava genotypes grown under rain-fed upper paddy field conditions in the tropics. J. Agron. Crop Sci. 2018, 204, 554–565. [Google Scholar] [CrossRef]
- Sawatraksa, N.; Banterng, P.; Jogloy, S.; Vorasoot, N.; Hoogenboom, G. Cassava growth analysis of production during the off-season of paddy rice. Crop Sci. 2019, 59, 1–12. [Google Scholar] [CrossRef]
- Keating, B.A.; Evenson, J.P.; Fukai, S. Environmental effects on growth and development of cassava (Manihot esculenta Crantz) II. Crop growth rate and biomass yield. Field Crop. Res. 1982, 5, 283–292. [Google Scholar] [CrossRef]
- Keating, B.A.; Evenson, J.P.; Fukai, S. Environment effects on growth and development of cassava (Manihot esculenta Crantz) III. Assimilate distribution and storage organ yield. Field Crop. Res. 1982, 5, 293–303. [Google Scholar] [CrossRef]
- Aresta, R.B.; Fukai, S. Effects of solar radiation on growth of cassava Manihot esculenta Crantz II. Fibrous root length. Field Crop. Res. 1984, 9, 361–371. [Google Scholar] [CrossRef]
- Boerboom, B.W. A model of dry matter distribution in cassava (Manihot esculenta Crantz). Neth. J. Agric. Sci. 1978, 26, 267–277. [Google Scholar]
- Sriroth, K.; Piyachomkwan, K.; Santisopasri, V.; Oates, C.G. Environmental conditions during root development: Drought constraint on cassava starch quality. Euphytica 2001, 120, 95–101. [Google Scholar] [CrossRef]
- Peel, M.C.; Finlayson, B.L.; McMahon, T.A. Updated world map of the Köppen-Geiger climate classification. Hydrol. Earth Syst. Sci. Discuss. 2007, 4, 439–473. [Google Scholar] [CrossRef]
- Hoover, R.; Ratnayake, W.S. Current Protocols in Food Analytical Chemistry; John Wiley & Sons: New York, NY, USA, 2001. [Google Scholar]
- Gomez, K.A.; Gomez, A.A. Statistical Procedures for Agricultural Research, 2nd ed.; John Wiley and Sons: New York, NY, USA, 1984. [Google Scholar]
- Freed, R.D.; Nissen, O. MSTAT-C Version 1.42; Michigan State University: East Lansing, MI, USA, 1992. [Google Scholar]
- Phoncharoen, P.; Banterng, P.; Vorasoot, N.; Jogloy, S.; Theerakulpisut, P.; Hoogenboom, G. Growth rates and yields of cassava at different planting dates in a tropical savanna climate. Sci. Agric. 2019, 76, 376–388. [Google Scholar] [CrossRef]
- Veltkamp, H.J. Growth, total dry matter yield and its partitioning in cassava at different daylengths. Agric. Univ. Wagening. Pap. 1985, 85, 73–86. [Google Scholar]
- Vongcharoen, K.; Santanoo, S.; Banterng, P.; Jogloy, S.; Vorasoot, N.; Theerakulpisut, P. Seasonal variation in photosynthesis performance of cassava at two different growth stages under irrigated and rain-fed conditions in a tropical savanna climate. Photosynthetica 2018, 56, 1398–1413. [Google Scholar] [CrossRef]
- Lebot, V. Tropical Root and Tuber Crops: Cassava, Sweet Potato, Yams and Aroids; CABI: Wallingford, CT, USA, 2009; p. 406. [Google Scholar]
- Rogers, D.J. Some botanical and ethnological considerations of Manihot esculenta. Econ. Bot. 1965, 19, 369–377. [Google Scholar] [CrossRef]
- El-Sharkawy, M.A.; Cock, J.H.; Held, A.A. Photosynthetic responses of cassava cultivars (Manihot esculenta Crantz) from different habitats to temperature. Photosynth. Res. 1984, 5, 243–250. [Google Scholar] [CrossRef] [PubMed]
- Saithong, T.; Rongsirikul, O.; Kalapanulak, S.; Chiewchankaset, P.; Siriwat, W.; Netrphan, S.; Suksangpanomrung, M.; Meechai, A.; Cheevadhanarak, S. Starch biosynthesis in cassava: A genome-based pathway reconstruction and its exploitation in data integration. BMC Syst. Boil. 2013, 7, 75. [Google Scholar] [CrossRef]
- Fukai, S.; Alcoy, A.B.; Llamelo, A.B.; Patterson, R.D. Effects of solar radiation on growth of cassava (Manihot esculenta Crantz.). I. Canopy development and dry matter growth. Field Crop. Res. 1984, 9, 347–360. [Google Scholar] [CrossRef]
- El-Sharkawy, M.A.; Cock, J.H.; Lynam, J.K.; Hernandez, A.D.P.; Cadavid, L.F.L. Relationships between biomass, root-yield and single-leaf photosynthesis in field-grown cassava. Field Crop. Res. 1990, 25, 183–201. [Google Scholar] [CrossRef]
- Cock, J.H.; Franklin, D.; Sandoval, G.; Juri, P. The ideal cassava plant for maximum yield. Crop Sci. 1979, 19, 271–279. [Google Scholar] [CrossRef]
- Ntawuruhunga, P.; Dixon, A.G. Quantitative variation and interrelationship between factors influencing cassava yield. J. Appl. Biosci. 2010, 26, 1594–1602. [Google Scholar]
- Janket, A.; Vorasoot, N.; Toomsan, B.; Kaewpradit, W.; Jogloy, S.; Theerakulpisut, P.; Holbrook, C.C.; Kvien, C.K.; Banterng, P. Starch accumulation and granule size distribution of cassava cv. Rayong 9 grown under irrigated and rainfed conditions using different growing seasons. Agronomy 2020, 10, 412. [Google Scholar] [CrossRef]
- Nimlamai, T.; Banterng, P.; Jogloy, S.; Vorasoot, N. Starch accumulation of cassava genotypes grown in paddy fields during off-season. SABRAO J. Breed. Genet. 2020, 52, 109–126. [Google Scholar]
- Santanoo, S.; Vongcharoen, K.; Banterng, P.; Vorasoot, N.; Jogloy, S.; Roytrakul, S.; Theerakulpisut, P. Seasonal variation in diurnal photosynthesis and chlorophyll fluorescence of four genotypes of cassava (Manihot esculenta Crantz) under irrigation conditions in a tropical savanna climate. Agronomy 2019, 9, 206. [Google Scholar] [CrossRef]
- Li, Y.Z.; Zhao, J.Y.; Wu, S.M.; Fan, X.W.; Luo, X.L.; Chen, B.S. Characters related to higher starch accumulation in cassava storage roots. Sci. Rep. 2016, 6, 19823. [Google Scholar] [CrossRef]
- Sriroth, K.; Santisopasri, V.; Petchalanuwat, C.; Kurotjanawong, K.; Piyachomkwan, K.; Oates, C.G. Cassava starch granule structure-function properties: Influence of time and conditions at harvest on four cultivars of cassava starch. Carbohydr. Polym. 1999, 38, 161–170. [Google Scholar] [CrossRef]
- Teerawanichpan, P.; Lertpanyasampatha, M.; Netrphan, S.; Varavinit, S.; Boonseng, O.; Narangajavana, J. Influence of cassava storage root development and environmental conditions on starch granule size distribution. Starch-Stärke 2008, 60, 696–705. [Google Scholar] [CrossRef]
- Vasconcelos, L.M.; Brito, A.C.; Carmo, C.D.; Oliveira, P.H.G.A.; Oliveira, E.J. Phenotypic diversity of starch granules in cassava germplasm. Genet. Mol. Res. 2017, 13, 16. [Google Scholar] [CrossRef]
- Fergason, V.L.; Zuber, M.S. Influence of environment on amylose content of maize endosperm. Crop Sci. 1962, 2, 209–211. [Google Scholar] [CrossRef]
- Liu, P.; Guo, W.; Jiang, Z.; Pu, H.; Feng, C.; Zhu, X.; Peng, Y.; Kuang, A.; Little, C.R. Effects of high temperature after anthesis on starch granules in grains of wheat (Triticum aestivum L.). J. Agric. Sci. 2011, 149, 159–169. [Google Scholar] [CrossRef]



| Soil Physicochemical Properties | 2015/16 | 2016/17 | ||
|---|---|---|---|---|
| ERS | PRS | ERS | PRS | |
| Sand (%) | 84.4 | 84.9 | 93.4 | 80.5 |
| Silt (%) | 7.4 | 9.5 | 5.5 | 9.4 |
| Clay (%) | 8.2 | 5.6 | 1.2 | 10.1 |
| Total Nitrogen (%) | 0.02 | 0.02 | 0.03 | 0.03 |
| Available Phosphorus (mg kg−1) | 84.3 | 48.4 | 79.8 | 63.6 |
| Exchangeable Potassium (mg kg−1) | 43.8 | 34.6 | 28.7 | 29.6 |
| Exchangeable Calcium (mg kg−1) | 432 | 263 | 362 | 412 |
| Magnesium (mg kg−1) | 30.7 | 33.9 | 48.0 | 41.2 |
| Sulfur (mg kg−1) | 50.0 | 6.4 | 21.3 | 4.2 |
| pH (1:1 H2O) | 7.5 | 6.1 | 7.4 | 7.2 |
| Electrical Conductivity (dS kg−1) | 0.06 | 0.05 | 0.06 | 0.04 |
| Organic Matter (%) | 0.43 | 0.38 | 0.48 | 0.42 |
| Cation Exchange Capacity (cmol kg−1) | 4.0 | 6.5 | 3.4 | 4.7 |
| Source of Variance | df | Starch Content (%) | Starch Yield (Tonne ha−1) | Granule Size [d (0.05)] | Amylose Content (%) | Amylose- Amylopectin Ratio |
|---|---|---|---|---|---|---|
| Year (Y) | 1 | 13.7 (2.2) * | 52880 (9.0) ** | 1.163 (5.7) ns | 2.88 (1.5) ns | 0.001 (1.5) ns |
| Growing season (S) | 1 | 49.7 (8.0) ** | 165850 (28.3) ** | 2.149 (10.5) ns | 28.43 (15.1) * | 0.008 (15.1) ** |
| Y × S | 1 | 132.1 (21.1) ** | 15210 (2.6) ns | 1.030 (5.0) ns | 0.00 (0.0) ns | 0.000 (0.0) ns |
| Rep within Y and S | 12 | 2.3 (4.4) | 3351 (6.9) | 0.302 (17.6) | 3.40 (21.7) | 0.001 (21.7) |
| Genotypes (G) | 2 | 95.9 (30.7) ** | 47060 (16.0) ** | 0.965 (9.4) ns | 18.68 (19.9) ns | 0.004 (19.9) ns |
| G × Y | 2 | 6.1 (2.0) ns | 4164 (1.4) ns | 0.279 (2.7) ns | 0.00 (0.0) ns | 0.000 (0.0) ns |
| G × S | 2 | 32.8 (10.5) ** | 59430 (20.3) ** | 0.624 (6.1) ns | 3.97 (4.2) ns | 0.001 (4.2) ns |
| Y × S × G | 2 | 23.0 (7.4) ** | 4860 (1.7) ns | 0.332 (3.2) ns | 0.00 (0.0) ns | 0.000 (0.0) ns |
| Pooled error | 24 | 3.6 (13.8) | 3397 (13.9) | 0.341 (39.8) | 2.94 (37.5) | 0.001 (37.5) |
| Source of variance | df | Starch Accumulation Rate (g m−2 day−1) | ||||
| 4–6 MAP | 6–8 MAP | 8–10 MAP | 10–12 MAP | |||
| Year (Y) | 1 | 19.0 (6.7) * | 15.5 (1.8) ns | 9.3 (1.2) ns | 53.0 (3.8) * | |
| Growing season (S) | 1 | 16.8 (5.9) * | 72.1 (8.6) * | 99.9 (12.3) ** | 271.6 (19.7) ** | |
| Y × S | 1 | 0.1 (0.0) ns | 19.8 (2.4) ns | 14.3 (1.8) ns | 61.8 (4.5) * | |
| Rep within Y and S | 12 | 3.6 (15.0) | 11.4 (16.2) | 8.1 (12.0) | 8.9 (7.7) | |
| Genotypes (G) | 2 | 13.7 (9.6) * | 28.1 (6.7) * | 67.1 (16.6) ** | 85.4 (12.4) * | |
| G × Y | 2 | 2.5 (1.7) ns | 17.5 (4.2) ns | 25.5 (6.3) ns | 12.0 (1.7) ns | |
| G × S | 2 | 4.5 (3.2) * | 60.5 (14.4) ** | 40.4 (10.0) * | 16.9 (2.5) ns | |
| Y × S × G | 2 | 8.0 (5.6) * | 7.4 (1.8) ns | 17.5 (4.3) ns | 81.4 (11.8) * | |
| Pooled error | 24 | 6.2 (52.2) | 15.4 (44.0) | 12.0 (35.6) | 20.6 (35.9) | |
| Growing Season | Genotype | Starch Accumulation Rate (g m−2 day−1) | |||
|---|---|---|---|---|---|
| 4–6 MAP | 6–8 MAP | 8–10 MAP | 10–12 MAP | ||
| ERS | CMR38-125-77 | 7.175 a | 6.029 a | 5.749 a | −1.319 |
| Kasetsart 50 | 5.881 b | 2.699 b | 2.504 b | 1.292 | |
| Rayong 11 | 4.961 b | 7.294 a | 5.759 a | 0.674 | |
| Mean | 6.006 A | 5.340 B | 4.671 B | 0.216 B | |
| F-test | * | * | * | ns | |
| PRS | CMR38-125-77 | 6.537 a | 6.751 b | 8.938 a | 3.601 b |
| Kasetsart 50 | 5.360 b | 8.600 a | 4.766 b | 4.659 b | |
| Rayong 11 | 4.443 b | 5.579 b | 2.624 c | 7.076 a | |
| Mean | 5.446 B | 6.977 A | 5.442 A | 5.112 A | |
| F-test | * | * | ** | * | |
| Genotypes | Amylose (%) | Amylose-Amylopectin Ratio | ||||
|---|---|---|---|---|---|---|
| ERS | PRS | F-Test | ERS | PRS | F-Test | |
| CMR38-125-77 | 20.3 | 22.7 | * | 0.26 | 0.29 | * |
| Kasetsart 50 | 20.8 | 21.3 | ns | 0.26 | 0.27 | ns |
| Rayong 11 | 20.3 | 21.9 | ns | 0.25 | 0.28 | ns |
| Mean | 20.5 | 22.0 | 0.26 | 0.28 | ||
| F-test | ns | ns | ns | ns | ||
© 2020 by the authors. Licensee MDPI, Basel, Switzerland. This article is an open access article distributed under the terms and conditions of the Creative Commons Attribution (CC BY) license (http://creativecommons.org/licenses/by/4.0/).
Share and Cite
Janket, A.; Vorasoot, N.; Toomsan, B.; Kaewpradit, W.; Theerakulpisut, P.; Holbrook, C.C.; Kvien, C.K.; Jogloy, S.; Banterng, P. Accumulation Dynamics of Starch and Its Granule Size Distribution of Cassava Genotypes at Different Growing Seasons. Agriculture 2020, 10, 380. https://doi.org/10.3390/agriculture10090380
Janket A, Vorasoot N, Toomsan B, Kaewpradit W, Theerakulpisut P, Holbrook CC, Kvien CK, Jogloy S, Banterng P. Accumulation Dynamics of Starch and Its Granule Size Distribution of Cassava Genotypes at Different Growing Seasons. Agriculture. 2020; 10(9):380. https://doi.org/10.3390/agriculture10090380
Chicago/Turabian StyleJanket, Anon, Nimitr Vorasoot, Banyong Toomsan, Wanwipa Kaewpradit, Piyada Theerakulpisut, Carl Corley Holbrook, Craig K. Kvien, Sanun Jogloy, and Poramate Banterng. 2020. "Accumulation Dynamics of Starch and Its Granule Size Distribution of Cassava Genotypes at Different Growing Seasons" Agriculture 10, no. 9: 380. https://doi.org/10.3390/agriculture10090380
APA StyleJanket, A., Vorasoot, N., Toomsan, B., Kaewpradit, W., Theerakulpisut, P., Holbrook, C. C., Kvien, C. K., Jogloy, S., & Banterng, P. (2020). Accumulation Dynamics of Starch and Its Granule Size Distribution of Cassava Genotypes at Different Growing Seasons. Agriculture, 10(9), 380. https://doi.org/10.3390/agriculture10090380

