Yield Prediction Modeling for Sorghum–Sudangrass Hybrid Based on Climatic, Soil, and Cultivar Data in the Republic of Korea
Abstract
1. Introduction
2. Materials and Methods
2.1. Crop Cultivation, Climatic, and Cultivar Data
2.2. Generation of Soil Suitability Score
2.3. Yield Modeling Method
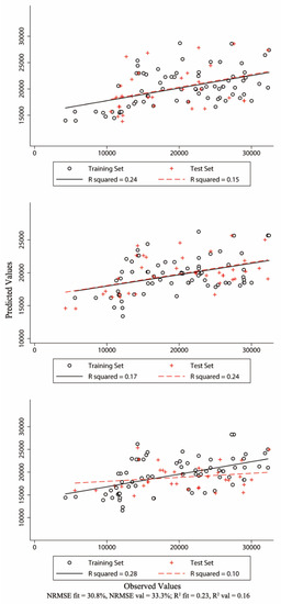
3. Results and Discussion
4. Conclusions
Author Contributions
Funding
Acknowledgments
Conflicts of Interest
References
- Seo, S. Forage Production, Utilization, and Animal Husbandry in Korea. In Proceedings of the 6th Korea-China-Japan Grassland Conference, Jeju, Korea, 17–20 August 2016; pp. 5–15. [Google Scholar]
- Schittenhelm, S.; Schroetter, S. Comparison of drought tolerance of maize, sweet sorghum and sorghum-sudangrass hybrids. J. Agron. Crop Sci. 2014, 200, 46–53. [Google Scholar] [CrossRef]
- Dowling, L.F.; Arndt, C.; Hamaker, B.R. Economic viability of high digestibility sorghum as feed for market broilers. Agron. J. 2002, 94, 1050–1058. [Google Scholar] [CrossRef]
- Marsalis, M.A.; Angadi, S.V.; Contreras-Govea, F.E. Dry matter yield and nutritive value of corn, forage sorghum, and BMR forage sorghum at different plant populations and nitrogen rates. Field Crops Res. 2010, 116, 52–57. [Google Scholar] [CrossRef]
- Uzun, F.; Ugur, S.; Sulak, M. Yield, nutritional and chemical properties of some sorghum x sudangrass hybrids (Sorghum bicolor (L.) Moench x Sorghum sudanense Stapf.). J. Animal Vet. Adv. 2009, 8, 1602–1608. [Google Scholar]
- Shi, W.; Tao, F.; Zhang, Z. A review on statistical models for identifying climate contributions to crop yields. J. Geogr. Sci. 2013, 23, 567–576. [Google Scholar] [CrossRef]
- Liu, C.; Cutforth, H.; Chai, Q.; Gan, Y. Farming tactics to reduce the carbon footprint of crop cultivation in semiarid areas. A review. Agron. Sustain. Dev. 2016, 36, 69. [Google Scholar] [CrossRef]
- Peter, C.; Specka, X.; Aurbacher, J.; Kornatz, P.; Herrmann, C.; Heiermann, M.; Müller, J.; Nendel, C. The MiLA tool: Modeling greenhouse gas emissions and cumulative energy demand of energy crop cultivation in rotation. Agric. Syst. 2017, 152, 67–79. [Google Scholar] [CrossRef]
- Lokers, R.; Knapen, R.; Janssen, S.; van Randen, Y.; Jansen, J. Analysis of Big Data technologies for use in agro-environmental science. Environ. Model. Softw. 2016, 84, 494–504. [Google Scholar] [CrossRef]
- Bolton, D.K.; Friedl, M.A. Forecasting crop yield using remotely sensed vegetation indices and crop phenology metrics. Agric. For. Meteorol. 2013, 173, 74–84. [Google Scholar] [CrossRef]
- Sibley, A.M.; Grassini, P.; Thomas, N.E.; Cassman, K.G. Testing remote sensing approaches for assessing yield variability among maize fields. Agron. J. 2014, 106, 24–32. [Google Scholar] [CrossRef]
- Van Ittersum, M.K.; Cassman, K.G.; Grassini, P.; Wolf, J.; Tittonell, P.; Hochman, Z. Yield gap analysis with local to global relevance—A review. Field Crops Res. 2013, 143, 4–17. [Google Scholar] [CrossRef]
- Anderson, W.; Johansen, C.; Siddique, K.H. Addressing the yield gap in rainfed crops: A review. Agron. Sustain. Dev. 2016, 36, 188. [Google Scholar] [CrossRef]
- Holzkämper, A.; Calanca, P.; Fuhrer, J. Identifying climatic limitations to grain maize yield potentials using a suitability evaluation approach. Agric. For. Meteorol. 2013, 168, 149–159. [Google Scholar] [CrossRef]
- Thornton, P.K.; van de Steeg, J.; Notenbaert, A.; Herrero, M. The impacts of climate change on livestock and livestock systems in developing countries: A review of what we know and what we need to know. Agric. Syst. 2009, 101, 113–127. [Google Scholar] [CrossRef]
- Wheeler, T.; Von Braun, J. Climate change impacts on global food security. Science 2013, 341, 508–513. [Google Scholar] [CrossRef]
- Trnka, M.; Olesen, J.E.; Kersebaum, K.C.; Rötter, R.P.; Brázdil, R.; Eitzinger, J.; Jansen, S.; Skjelvåg, A.O.; Peltonen-Sainio, P.; Hlavinka, P.; et al. Changing regional weather crop yield relationships across Europe between 1901 and 2012. Clim. Res. 2016, 70, 195–214. [Google Scholar] [CrossRef]
- Mathieu, J.A.; Aires, F. Assessment of the agro-climatic indices to improve crop yield forecasting. Agric. For. Meteorol. 2018, 253, 15–30. [Google Scholar] [CrossRef]
- Yun, J.I. Predicting regional rice production in South Korea using spatial data and crop–growth modeling. Agric. Syst. 2003, 77, 23–38. [Google Scholar] [CrossRef]
- Chang, J.; Clay, D.E. Identifying factors for corn yield prediction models and evaluating model selection methods. Korean J. Crop Sci. 2005, 50, 268–275. [Google Scholar]
- Na, S.I.; Lee, K.D.; Baek, S.C.; Hong, S.Y. Estimation of Chinese cabbage growth by RapidEye imagery and field investigation data. Korean J. Soil. Sci. Fert. 2015, 48, 556–563. [Google Scholar] [CrossRef][Green Version]
- Lee, H.; Moon, A. Development of Yield Prediction System Based on Real–Time Agricultural Meteorological Information. In Proceedings of the 16th International Conference on Advanced Communication Technology, Austin, TX, USA, 25–28 July 2016; pp. 1292–1295. [Google Scholar]
- Peng, J.L.; Kim, M.J.; Kim, B.W.; Sung, K.I. A yield estimation model of forage rye based on climate data by locations in South Korea using general linear model. J. Korean Soc. Grassl. Forage Sci. 2016, 36, 205–214. [Google Scholar] [CrossRef]
- Peng, J.; Kim, M.; Kim, Y.; Jo, M.; Kim, B.; Sung, K.; Lv, S. Constructing Italian ryegrass yield prediction model based on climatic data by locations in South Korea. Grassl. Sci. 2017, 63, 184–195. [Google Scholar] [CrossRef]
- Kim, M.; Chemere, B.; Sung, K. Effect of heavy rainfall events on the dry matter yield trend of whole crop maize (Zea mays L.). Agriculture 2019, 9, 75. [Google Scholar] [CrossRef]
- Peng, J.L.; Kim, M.J.; Kim, Y.J.; Jo, M.H.; Nejad, J.G.; Lee, B.H.; Ji, D.H.; Kim, J.Y.; Oh, S.M.; Kim, B.W.; et al. Detecting the climate factors related to dry matter yield of whole crop maize. Korean. J. Agric. For. Meteorol. 2015, 17, 261–269. [Google Scholar] [CrossRef]
- Hatfield, J.L.; Boote, K.J.; Kimball, B.A.; Ziska, L.H.; Izaurralde, R.C.; Ort, D.; Thomson, A.M.; Wolfe, D. Climate impacts on agriculture: Implications for crop production. Agron. J. 2011, 103, 351–370. [Google Scholar] [CrossRef]
- Chen, C.; Baethgen, W.E.; Robertson, A. Contributions of individual variation in temperature, solar radiation and precipitation to crop yield in the North China Plain, 1961–2003. Clim. Chang. 2013, 116, 767–788. [Google Scholar] [CrossRef]
- Venuto, B.; Kindiger, B. Forage and biomass feedstock production from hybrid forage sorghum and sorghum–sudangrass hybrids. Grassl. Sci. 2008, 54, 189–196. [Google Scholar] [CrossRef]
- Uchino, H.; Watanabe, T.; Ramu, K.; Sahrawat, K.L.; Marimuthu, S.; Wani, S.P.; Ito, O. Effects of nitrogen application on sweet sorghum (Sorghum bicolor (L.) Moench) in the semi-arid tropical zone of India. Jpn. Agric. Res. Q. 2013, 47, 65–73. [Google Scholar] [CrossRef][Green Version]
- Seo, H.C.; Lee, Y.S.; Cho, Y.C.; Kim, S.K. A Spatial Information System for Matching Crops and Sites at Landscape Scale. In Proceedings of the Autumnal Conference of Korean Society of Agricultural and Forest Meteorology, Korea, September 2005; pp. 219–221. Available online: http://www.koreascience.or.kr/article/CFKO200504840833962.page (accessed on 13 February 2020).
- Kim, K. Soil Climate Maps and Suitability Classes for Forage Production in Gangwon Province Using Soil and Climate Digital Database. Ph.D. Thesis, Kangwon National University, Chuncheon, Korea, 2012. Available online: http://www.riss.kr/search/detail/DetailView.do?p_mat_type=be54d9b8bc7cdb09&control_no=f04ba55109d546c9ffe0bdc3ef48d419 (accessed on 13 February 2020).
- Farrar, D.E.; Glauber, R.R. Multicollinearity in regression analysis: The problem revisited. Rev. Econ. Stat. 1967, 49, 92–107. [Google Scholar] [CrossRef]
- Peng, J.L.; Kim, M.J.; Jo, M.H.; Min, D.H.; Kim, K.D.; Lee, B.H.; Kim, B.W.; Sung, K.I. Accuracy evaluation of the crop-weather yield predictive models of Italian ryegrass and forage rye using cross-validation. J. Crop Sci. Biotechnol. 2017, 20, 327–334. [Google Scholar] [CrossRef]
- Allison, P.D. Multiple Regression: A Primer; Pine Forge Press: Newbury Park, CA, USA, 1999; pp. 1–186. [Google Scholar]
- Sowiński, J.; Szydełko, E. Growth rate and yields of a sorghum-sudangrass hybrid variety grown on a light and a medium-heavy soil as affected by cutting management and seeding rate. Polish J. Agron. 2011, 4, 23–28. [Google Scholar]
- Peng, J. Suitability Mapping and Yield Prediction Modeling Using Climatic and Geographic Information for Improving Forage Crops Production in South Korea. Ph.D. Thesis, Kangwon National University, Chuncheon, Korea, 2017. Available online: http://www.dcollection.net/handler/kangwon/000000027394 (accessed on 13 February 2020).
- Sattell, R.; Dick, R.; Ingham, R.; Karow, R.S.; McGrath, D.M. Sudangrass and Sorghum-Sudangrass Hybrids (Sorghum bicolor L.). Available online: https://ir.library.oregonstate.edu/concern/open_educational_resources/r494vk53c (accessed on 13 February 2020).




| Maturity Group | Cultivars |
|---|---|
| Early–maturity | BMR, GoldⅡ, Choice, Dairyman’s dream, G83F, GW9110G, KF429, Maxigraze, Multicut, NC+855, P988, 855F, P947, Piper, Sprint, Sweet home, Turbo10 |
| Mid–maturity | Honey chew, Revolution(BMR), Sordan79, Super green, SX17 |
| Late–maturity | G7, P931, SS301BMR, SS405 |
| Soil Attributes | Improper (0) | Poor (0.5) | Possible (0.8) | Proper (1) | Weight (%) | Score |
|---|---|---|---|---|---|---|
| Soil texture | silty clay, sandy clay, clay soil | silty clay loam, loamy sand, silty soil, sandy soil | clay loam soil, sandy clay loam, sandy loam, loam, silt loam | 20 | ||
| Drainage class | very poor | poor | imperfect, excessively well | moderately well, well | 20 | |
| Slope (%) | >60 | 30–60 | 15–30 | <15 | 10 | |
| Effective soil depth (cm) | <20 | 20–50 | >50 | 15 | ||
| Gravel in top soil | plenty | some | none | none | 5 | |
| Acidity (pH) | >7.5 or <4.5 | 4.5–6 | 6–7.5 | 10 | ||
| Salinity (EC dS/m) | >8 | 4–8 | 2–4 | <2 | 5 | |
| Organic matter content (%) | <0.5 | 0.5–1.5 | >1.5 | 15 | ||
| Total score | 100 |
| Mean | Median | SE 2 | Quartile | ||
|---|---|---|---|---|---|
| 1st | 3rd | ||||
| DMY 1 | 19746.9 | 20316.0 | 681.8 | 13985.0 | 25630.0 |
| SHaAT | 2915.2 | 2891.7 | 28.9 | 2738.1 | 3100.9 |
| SHAP | 933.8 | 930.0 | 29.3 | 701.6 | 1164.3 |
| SHSD | 697.4 | 678.4 | 11.4 | 611.8 | 741.8 |
| SHMT | 23.0 | 22.9 | 0.1 | 22.4 | 23.7 |
| VIF 2 | Correlation Coefficient | |||
|---|---|---|---|---|
| Pearson’s | Partial | Part | ||
| ShaAT 1 | 2.122 | 0.318 | 0.186 | 0.169 |
| SHAP | 1.424 | –0.124 | –0.178 | –0.161 |
| SHSD | 1.833 | 0.412 | 0.204 | 0.185 |
| Parameter | Coefficient | SE 2 | t 3 | p-value | Partial Eta-Squared |
|---|---|---|---|---|---|
| Constant | −1036.4 | 19516.2 | −0.1 | 0.958 | 0.000 |
| ShaAT 1 | 6.5 | 3.2 | 2.0 | 0.045 | 0.040 |
| SHAP | −4.9 | 2.6 | −1.8 | 0.068 | 0.034 |
| SHSD | 13.8 | 7.6 | 1.8 | 0.070 | 0.033 |
| SSS | −54.4 | 211.6 | −0.3 | 0.798 | 0.001 |
| [Maturity = early] | 2242.2 | 2443.3 | 0.9 | 0.361 | 0.009 |
| [Maturity = medium] | 1470.9 | 2547.4 | 0.6 | 0.565 | 0.003 |
| [Maturity = late] | 0 4 |
© 2020 by the authors. Licensee MDPI, Basel, Switzerland. This article is an open access article distributed under the terms and conditions of the Creative Commons Attribution (CC BY) license (http://creativecommons.org/licenses/by/4.0/).
Share and Cite
Peng, J.; Kim, M.; Sung, K. Yield Prediction Modeling for Sorghum–Sudangrass Hybrid Based on Climatic, Soil, and Cultivar Data in the Republic of Korea. Agriculture 2020, 10, 137. https://doi.org/10.3390/agriculture10040137
Peng J, Kim M, Sung K. Yield Prediction Modeling for Sorghum–Sudangrass Hybrid Based on Climatic, Soil, and Cultivar Data in the Republic of Korea. Agriculture. 2020; 10(4):137. https://doi.org/10.3390/agriculture10040137
Chicago/Turabian StylePeng, Jinglun, Moonju Kim, and Kyungil Sung. 2020. "Yield Prediction Modeling for Sorghum–Sudangrass Hybrid Based on Climatic, Soil, and Cultivar Data in the Republic of Korea" Agriculture 10, no. 4: 137. https://doi.org/10.3390/agriculture10040137
APA StylePeng, J., Kim, M., & Sung, K. (2020). Yield Prediction Modeling for Sorghum–Sudangrass Hybrid Based on Climatic, Soil, and Cultivar Data in the Republic of Korea. Agriculture, 10(4), 137. https://doi.org/10.3390/agriculture10040137

