Microbial β-glucan Incorporated into Muffins: Impact on Quality of the Batter and Baked Products
Abstract
1. Introduction
2. Materials and Methods
2.1. Materials
2.2. Muffins Preparation
2.3. Storage Test
2.4. Methods
2.4.1. Batter Texture Analysis
2.4.2. Volume of Muffins and Crumb Density
2.4.3. Geometry
2.4.4. Moisture Content
2.4.5. Instrumental Analysis of the Crumb Texture
2.4.6. Sensory Analysis
2.4.7. Data Analysis
3. Results
3.1. Analysis of Measurements of Batter
3.2. Analysis of Physical Measurements of Muffins
3.3. Texture Profile Analysis (TPA)
3.4. Sensory Analysis
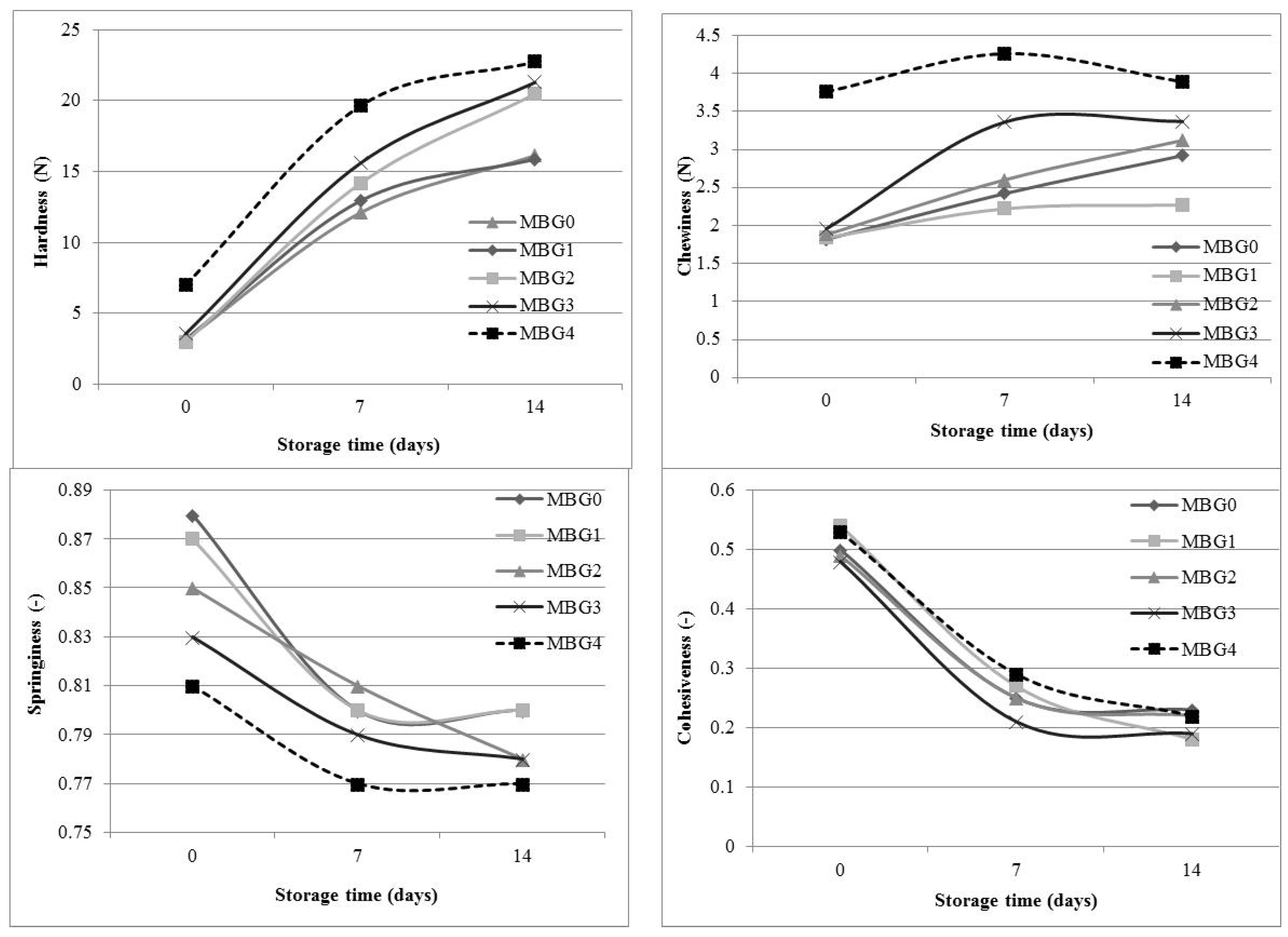
3.5. Muffin Quality Analysis during Storage
4. Conclusions
Author Contributions
Funding
Conflicts of Interest
References
- FAO. The State of Food Insecurity in the World 2008. High food Prices and Food Security-Threats and Opportunities; FAO: Rome, Italy, 2008. [Google Scholar]
- Tanhatan-Nasseri, A.; Rasoul-Amini, S.; Morowvat, M.H.; Ghasemi, Y. Single Cell Protein: Production and Process. Am. J. Food Technol. 2011, 6, 103–116. [Google Scholar]
- Jamas, S. Controlled Biosynthesis of Yeast Glucans; MIT: Cambridge, MA, USA, 1987; pp. 1–171. [Google Scholar]
- Du, B.; Bian, Z.; Xu, B. Skin Health Promotion Effects of Natural Beta-Glucan Derived from Cereals and Microorganisms: A Review. Phytotherm. Res. 2014, 28, 159–166. [Google Scholar] [CrossRef] [PubMed]
- Vannucci, L.; Krizan, J.; Sima, P.; Stakheev, D.; Caja, F.; Rajsiglova, L.; Horak, V.; Saieh, M. Immunostimulatory properties and antitumor activities of glucans (Review). Int. J. Oncol. 2013, 43, 357–364. [Google Scholar] [CrossRef]
- Vetvicka, V.; Vetvickova, J. Physiological effects of different types of β-glucan. Biomed. Pap. Med. Fac. Palacky Univ. Olomouc 2007, 151, 225–231. [Google Scholar] [CrossRef] [PubMed]
- Grigor, J.M.; Brennan, C.S.; Hutchings, S.C.; Rowlands, D.S. The sensory acceptance of fibre-enriched cereal foods: A meta-analysis. Int. J. Food Sci. Technol. 2016, 51, 3–13. [Google Scholar] [CrossRef]
- Barak, S.; Mudgil, D.; Khatkar, B.S. Effect of flour particle size and damaged starch on the quality of cookies. J. Food Sci. Technol. 2014, 51, 1342–1348. [Google Scholar] [CrossRef]
- Colla, K.; Costanzo, A.; Gamlath, S. Fat replacers in baked food products. Foods 2018, 7, 192. [Google Scholar] [CrossRef]
- Rodriguez-Garcia, J.; Laguna, L.; Puig, A.; Salvador, A.; Hernando, I. Effect of fat replacement by inulin on textural and structural properties of short dough biscuits. J. Food Sci. 2012, 77, 189–197. [Google Scholar] [CrossRef]
- Zbikowska, A.; Kozlowska, M.; Poltorak, A.; Kowalska, M.; Rutkowska, J.; Kupiec, M. Effect of addition of plant extracts on the durability and sensory properties of oat flake cookies. J. Therm. Anal. Calorim. 2018, 134, 1101–1111. [Google Scholar] [CrossRef]
- Willett, W.; Rockstrom, J.; Loken, B.; Springmann, M.; Lang, T.; Vermeulen, S.; Garnett, T.; Tilman, D.; DeClerck, F.; Wood, A.; et al. Food in the Anthropocene: The EAT–Lancet Commission on healthy diets from sustainable food systems. Lancet 2019, 393, 447–492. [Google Scholar] [CrossRef]
- Eilander, A.; Harika, R.K.; Zock, P.L. Intake and sources of dietary fatty acids in Europe: Are current population intakes of fats aligned with dietary recommendations? Eur. J. Lipid Sci. Technol. 2015, 117, 1370–1377. [Google Scholar] [CrossRef]
- Onacik-Gür, S.; Zbikowska, A. Effect of high-oleic rapeseed oil oleogels on the quality of short-dough biscuits and fat migration. J. Food Sci. Technol. 2019, 1–10. [Google Scholar] [CrossRef]
- Zbikowska, A.; Onacik-Gür, S.; Kowalska, M.; Rutkowska, J. Quality and safety of pastry products in Poland in respect of fatty acids composition, especially trans fatty acid content in fats. J. Food Protect. 2019, 82, 1028–1033. [Google Scholar]
- Regulation (Ec) No 1924/2006 of the European Parliament and of the Council of 20 December 2006 on Nutrition and Health Claims Made on Foods. Available online: https://eur-lex.europa.eu/legal-content/EN/TXT/PDF/?uri=CELEX:32006R1924 (accessed on 26 February 2020).
- Yılmaz, E.; Öğütcü, M. Properties and stability of hazelnut oil organogels with beeswax and monoglyceride. J. Am. Oil Chem. Soc. 2014, 91, 1007–1017. [Google Scholar] [CrossRef]
- Onacik-Gür, S.; Zbikowska, A.; Kapler, E.; Kowalska, H. Effect of barley b-glucan addition as a fat replacer on muffin quality. Acta Sci. Pol. Technol. Aliment. 2016, 15, 247–256. [Google Scholar] [CrossRef]
- Barylko-Pikielna, N.; Matuszewska, I. Sensoryczne Badania Zywnosci. Podstawy-Metody-Zastosowanie; PTTZ Publishing: Krakow, Poland, 2009; pp. 227–242. [Google Scholar]
- Manohar, R.S.; Rao, P.H. Effects of emulsifiers, fat level and type on the rheological characteristics of biscuit dough and quality of biscuits. J. Sci. Food Agric. 1999, 79, 1223. [Google Scholar] [CrossRef]
- Zbikowska, A.; Kowalska, M. The use of apple fiber as a fat substitute in the manufacture of bakery products. J. Food Process. Preserv. 2017, 41, e13241. [Google Scholar] [CrossRef]
- Ghodke, S.K. Effect of guar gum on dough stickiness and staling in Chapatti: An Indian unleavened flat bread. Int. J. Food Eng. 2009, 5, 1–19. [Google Scholar] [CrossRef]
- Serin, S.; Sayar, S. The effect of the replacement of fat with carbohydrate-based fat replacers on the dough properties and quality of the baked pogaca: A traditional high-fat bakery product. Food Sci. Technol. 2017, 37, 25–32. [Google Scholar] [CrossRef]
- O’Brien, C.M.; Mueller, A.; Scannell, A.G.M.; Arendt, E.K. Evaluation of the effects of fat replacers on the quality of wheat bread. J. Food Eng. 2003, 56, 265–267. [Google Scholar] [CrossRef]
- Rutkowska, J.; Zbikowska, A. Effects of fatty acids composition of liquid margarines on sensory quality of cakes. Acta Aliment. 2010, 39, 125–137. [Google Scholar] [CrossRef]
- Kalinga, D.; Mishra, V.K. Rheological and physical properties of low fat cakes produced by addition of cereal β-glucan concentrates. J. Food Process. Preserv. 2009, 33, 384–400. [Google Scholar] [CrossRef]
- Indrani, D.; Rao, G.V. Functions of ingredients in the baking of sweet goods. In Food Engineering Aspects of Baking Sweet Goods; Sumnu, S.G., Sahin, S., Eds.; CRC Press: Boca Raton, FL, USA, 2008; pp. 31–47. [Google Scholar]
- Zahn, S.; Pepke, F.; Rohm, H. Effect of inulin as a fat replacer on texture and sensory properties of muffins. Int. J. Food Sci. Technol. 2010, 45, 2531–2537. [Google Scholar] [CrossRef]
- Dadkah, A.; Hashemiravan, M.; Seyedain-Ardebili, M. Effect of shortening replacement with nutrim oat bran on chemical and physical properties of shortened cakes. Ann. Biol. Res. 2012, 3, 2682–2687. [Google Scholar]
- Devi, A.; Khatkar, B.S. Physicochemical, rheological and functional properties of fats and oils in relation to cookie quality: A review. J. Food Sci. Technol. 2016, 53, 3633–3641. [Google Scholar] [CrossRef]
- Zbikowska, A.; Kowalska, M.; Pieniowska, J. Assessment of shortcrust biscuits with reduced fat content of microcrystalline cellulose and psyllium as fat replacements. J. Food Process. Preserv. 2018, 42, e13675. [Google Scholar] [CrossRef]
- Martinez-Cervera, S.; Hera, E.; Sanz, T.; Gomez, M.; Salvador, A. Effect of nutriose on rheological, textural and characteristics of Spanish muffins. Food Bioprocess Technol. 2013, 6, 1990–1999. [Google Scholar] [CrossRef]
- Rodríguez-García, J.; Sahi, S.S.; Hernando, I. Functionality of lipase and emulsifiers in low-fat cakes with inulin. LWT-Food Sci. Technol. 2014, 58, 173–182. [Google Scholar] [CrossRef]
- Sanz, T.; Salvador, A.; Baixauli, R.; Fiszman, S.M. Evaluation of four types of resistant starch in muffins. II. Effects in texture, colour and consumer response. Eur. Food Res Technol. 2009, 229, 197–204. [Google Scholar] [CrossRef]
- Martínez-Cervera, S.; Sanz, T.; Salvador, A.; Fiszman, S.M. Rheological, textural and sensorial properties of low-sucrose muffins reformulated with sucralose/polydextrose. LWT-Food Sci. Technol. 2012, 25, 213–220. [Google Scholar] [CrossRef]
- Laguna, L.; Varela, P.; Salvador, A.; Sanz, T.; Fiszman, S.M. Balancing Texture and Other Sensory Features in Reduced Fat Short-Dough Biscuits. J. Texture Stud. 2012, 43, 235–245. [Google Scholar] [CrossRef]
- Laguna, L.; Primo-Martín, C.; Varela, P.; Salvador, A.; Sanz, T. HPMC and inulin as fat replacers in biscuits: Sensory and instrumental evaluation. LWT-Food Sci. Technol. 2013, 30, 494–501. [Google Scholar] [CrossRef]
- Zoulias, E.I.; Oreopoulou, V.; Tzia, C. Textural properties of low-fat cookies containing carbohydrate- or protein-based fat replacers. J. Food Eng. 2002, 55, 337–342. [Google Scholar] [CrossRef]
- Seker, I.T.; Ozboy-Ozbas, O.; Ozturk, S.; Koksel, H. Utilization of Apricot Kernel Flour as fat replacer in cookies. J. Food Process. Preserv. 2010, 34, 15–26. [Google Scholar] [CrossRef]
- Mohebbi, Z.; Homayouni, A.; Azizi, M.H.; Hosseini, S.J. Effects of beta-glucan and resistant starch on wheat dough and prebiotic bread properties. J. Food Sci. Technol. 2018, 55, 101–110. [Google Scholar] [CrossRef] [PubMed]
- Zoulias, E.I.; Oreopoulou, V.; Kounalaki, E. Effect of fat and sugar replacement on cookie properties. J. Sci. Food Agric. 2002, 82, 1637–1644. [Google Scholar] [CrossRef]
- Gomez, M.; Ruiz-Paris, E.; Oliete, B.; Pando, V. Modelling of texture evolution of cakes during storage. J. Texture Stud. 2010, 41, 17–33. [Google Scholar] [CrossRef]





| Variant 1 | |||||
|---|---|---|---|---|---|
| Ingredients (g/100 g batter) | MBG0 (control) | MBG1 | MBG2 | MBG3 | MBG4 |
| Flour | 34 | 34 | 34 | 34 | 34 |
| Milk | 17 | 17 | 17 | 17 | 17 |
| Eggs | 12 | 12 | 12 | 12 | 12 |
| Oil | 20 | 16 | 12 | 8 | 4 |
| Sodium bicarbonate | 0.4 | 0.4 | 0.4 | 0.4 | 0.4 |
| Ammonium bicarbonate | 0.4 | 0.4 | 0.4 | 0.4 | 0.4 |
| Sugar | 16.2 | 16.2 | 16.2 | 16.2 | 16.2 |
| β-glucan | 0 | 1 | 2 | 3 | 4 |
| Formulation | Fat reduction (%) | Weight (g) | Volume (cm3) | Crumb Density (g/cm3) | Diameter (mm) (D) | Thickness (mm) (T) | Spread Ratio (D/T) | Water Content (%) |
|---|---|---|---|---|---|---|---|---|
| MBG0 | 0 | 55.4 ± 0.4 b | 113.3 ± 1.40 c | 0.490 ± 0.09 a | 61.86 ± 1.13 ab | 56.6 ± 1.01 b | 1.09 | 17.97 ± 3.01 a |
| MBG1 | 20 | 55.2 ± 0.2 b | 112.5 ± 1.63bc | 0.491 ± 0.09 a | 61.08 ± 1.27 a | 56.01 ± 2.71 b | 1.09 | 19.26 ± 1.54 ab |
| MBG2 | 40 | 55.5 ± 0.2 b | 111.2 ± 1.71abc | 0.499 ± 0.07 ab | 62.71 ± 0.21 ab | 53.73 ± 2.05 b | 1.16 | 20.21 ± 1.42 b |
| MBG3 | 60 | 55.6 ± 0.1 b | 110.0 ± 2.18 ab | 0.506±0.10 b | 66.36 ± 1.36 bc | 51.02 ± 3.01 ab | 1.18 | 21.20 ± 1.32 bc |
| MBG4 | 80 | 55.1 ± 0.35 b | 108.3 ± 2.12 a | 0.507 ± 0.09 b | 68.83 ± 4.12 c | 47.46 ± 3.04 a | 1.45 | 24.04 ± 1.45 c |
| Formulation | MBG0 | MBG1 | MBG2 | MBG3 | MBG4 | |
|---|---|---|---|---|---|---|
| Sensory Characteristics | ||||||
| The external appearance of the muffin | ||||||
| Evenness of bake | 8.27 b | 8.0 b | 7.73 b | 6.41 a | 6.18 a | |
| SD | 0.69 | 1.62 | 1.53 | 1.72 | 1.22 | |
| Cracking on the surface | 8.20 b | 7.56 b | 7.44 b | 7.06 b | 4.94 a | |
| SD | 01.10 | 1.31 | 1.06 | 1.42 | 1.44 | |
| Typical color | 6.39 c | 6.12 c | 4.01 b | 2.54 a | 2.37 a | |
| SD | 1.63 | 1.79 | 1.34 | 1.65 | 1.07 | |
| The appearance of the crumb | ||||||
| Uniformity of color | 7.60 bc | 8.38 c | 7.74 bc | 6.86 b | 5.82 a | |
| SD | 1.17 | 1.65 | 0.59 | 0.74 | 1.64 | |
| Porosity | 1.14 a | 2.14 b | 2.23 b | 3.58 c | 3.16 c | |
| SD | 0.90 | 0.94 | 0.99 | 0.86 | 1.33 | |
| Typical color | 1.78 a | 1.85 a | 1.99 a | 3.37 b | 5.44 c | |
| SD | 0.80 | 0.86 | 0.96 | 0.72 | 1.94 | |
| Texture | ||||||
| Hardness | 1.17 a | 1.83 a | 2.98 b | 3.99 bc | 5.34 c | |
| SD | 0.96 | 1.24 | 0.94 | 1.21 | 1.92 | |
| Springiness | 6.10 c | 5.54 bc | 4.50 ab | 4.16 a | 3.78 a | |
| SD | 1.52 | 0.78 | 1.09 | 1.18 | 1.12 | |
| Guminess | 4.61 b | 4.37 ab | 4.88 b | 3.94 ab | 3.44 a | |
| SD | 0.95 | 1.28 | 1.54 | 0.89 | 0.87 | |
| Odor | ||||||
| Typical | 7.46 b | 7.47 b | 6.52 b | 6.36 b | 4.07 a | |
| SD | 1.07 | 1.50 | 0.91 | 1.08 | 1.31 | |
| Oil | 8.68 e | 7.83 d | 6.79 c | 4.35 b | 2.52 a | |
| SD | 0.52 | 0.84 | 0.94 | 1.03 | 1.11 | |
| Foreign | 0.80 a | 1.10 ab | 1.28 ab | 1.47 ab | 1.78 b | |
| SD | 0.74 | 0.72 | 0.82 | 0.94 | 0.67 | |
| Flavor | ||||||
| Typical | 9.09 c | 5.76 c | 5.85 c | 4.74 b | 3.56 a | |
| SD | 0.92 | 1.11 | 0.76 | 1.72 | 1.92 | |
| Oil | 7.03 c | 5.60 bc | 4.85 bc | 3.59 ab | 2.86 a | |
| SD | 1.23 | 1.26 | 1.09 | 1.05 | 1.75 | |
| Foreign | 0.81 a | 2.47 b | 3.21 bc | 4.06 cd | 4.17 d | |
| SD | 0.79 | 0.93 | 1.05 | 1.29 | 2.15 | |
© 2020 by the authors. Licensee MDPI, Basel, Switzerland. This article is an open access article distributed under the terms and conditions of the Creative Commons Attribution (CC BY) license (http://creativecommons.org/licenses/by/4.0/).
Share and Cite
Żbikowska, A.; Kupiec, M.; Szymanska, I.; Osytek, K.; Kowalska, M.; Marciniak-Lukasiak, K.; Rutkowska, J. Microbial β-glucan Incorporated into Muffins: Impact on Quality of the Batter and Baked Products. Agriculture 2020, 10, 126. https://doi.org/10.3390/agriculture10040126
Żbikowska A, Kupiec M, Szymanska I, Osytek K, Kowalska M, Marciniak-Lukasiak K, Rutkowska J. Microbial β-glucan Incorporated into Muffins: Impact on Quality of the Batter and Baked Products. Agriculture. 2020; 10(4):126. https://doi.org/10.3390/agriculture10040126
Chicago/Turabian StyleŻbikowska, Anna, Milena Kupiec, Iwona Szymanska, Klaudia Osytek, Małgorzata Kowalska, Katarzyna Marciniak-Lukasiak, and Jaroslawa Rutkowska. 2020. "Microbial β-glucan Incorporated into Muffins: Impact on Quality of the Batter and Baked Products" Agriculture 10, no. 4: 126. https://doi.org/10.3390/agriculture10040126
APA StyleŻbikowska, A., Kupiec, M., Szymanska, I., Osytek, K., Kowalska, M., Marciniak-Lukasiak, K., & Rutkowska, J. (2020). Microbial β-glucan Incorporated into Muffins: Impact on Quality of the Batter and Baked Products. Agriculture, 10(4), 126. https://doi.org/10.3390/agriculture10040126

