Greenhouse Gas Emissions from Cut Grasslands Renovated with Full Inversion Tillage, Shallow Tillage, and Use of a Tine Drill in Nasu, Japan
Abstract
1. Introduction
2. Materials and Methods
2.1. Site Description
2.2. Renovation Treatments
2.3. Fertility Management and Harvesting Following Renovation
2.4. Heterotrophic Respiration
2.5. Methane and Nitrous Oxide Emissions
2.6. Soil Chemical Measurements
2.7. Soil Physical Measurements
2.8. Precipitation
2.9. C Balance, Sum of Greenhouse Gas Emissions, and Greenhouse Gas Intensity
2.10. Statistical Analyses
3. Results
3.1. Crop Residue
3.2. Heterotrophic Respiration, Cumulative CO2 Emission, and C Balance
3.3. Methane Flux and Cumulative Emission
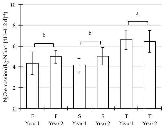
3.4. Nitrous Oxide Flux and Cumulative Emission
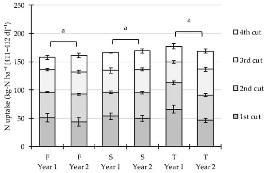
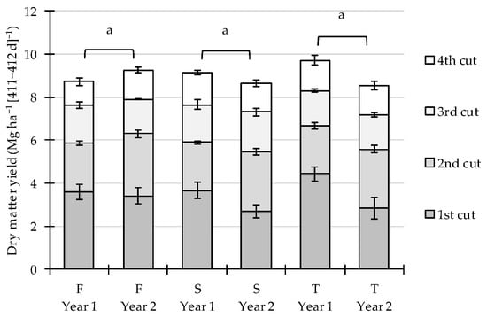
3.5. Herbage Yield and N Uptake by Harvest
3.6. Soil Chemical Properties
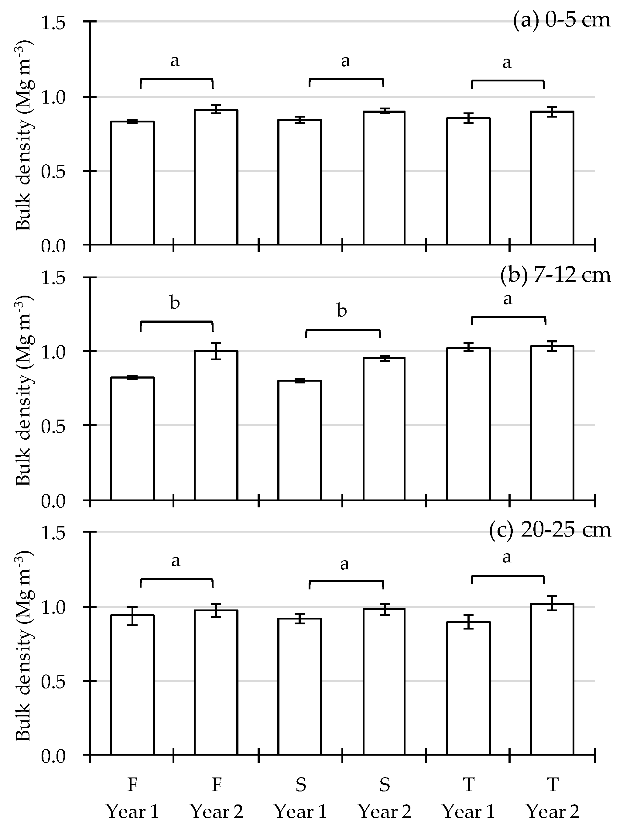
3.7. Soil Physical Properties
3.8. Precipitation
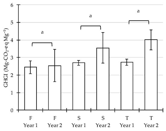
3.9. Sum of GHG Emissions and GHGI
4. Discussion
4.1. Heterotrophic Respiration and C Balance
4.2. CH4 and N2O Emissions
4.3. Herbage Yield and N Uptake
4.4. Sum of GHG Emissions and GHGI
5. Conclusions
Funding
Acknowledgments
Conflicts of Interest
References
- Deguchi, K. Invasion of rhizomatous grasses on timothy grassland in Hokkaido. Jpn. J. Grassl. Sci. 2016, 62, 153–157. (In Japanese) [Google Scholar]
- Hojito, M. Studies on grassland acidification caused by fertilizer application and its effects on grass growth. Rep. Hokkaido Prefect. Agric. Exp. Stn. 1994, 83, 1–109, (In Japanese with English Summary). [Google Scholar]
- Kayser, M.; Müller, J.; Isselstein, J. Grassland renovation has important consequences for C and N cycling and losses. Food Energy Secur. 2018, 7, e00146. [Google Scholar] [CrossRef]
- MAFF (Ministry of Agriculture, Forestry and Fisheries). Grassland Management Guidelines: Grassland Maintenance Edition; MAFF: Tokyo, Japan, 2006; pp. 1–189.
- Tarumi, E.; Tsuiki, M.; Mori, A. Evaluation of global warming effects to cool season grass productivity with models. J. Jpn. Agric. Sys. Soc. 2018, 34, 7–15, (In Japanese with English Summary). [Google Scholar]
- Otsuka, H. Finding the path from grass improvement project in Hokkaido. Jpn. J. Grassl. Sci. 2016, 62, 163–167. (In Japanese) [Google Scholar]
- Hatano, R. Report of Survey on Actual Management of Grassland and Forage Cropping Areas in Japan; Hokkaido University: Sapporo, Japan, 2017; pp. 1–56. [Google Scholar]
- Six, J.; Feller, C.; Denef, K.; Ogle, S.; de Sa Moraes, J.C.; Albrecht, A. Soil organic matter, biota and aggregation in temperate and tropical soils—Effects of no-tillage. Agronomie 2002, 22, 755–775. [Google Scholar] [CrossRef]
- Baker, J.M.; Ochsner, T.E.; Venterea, R.T.; Griffis, T.J. Tillage and soil carbon sequestration—What do we really know? Agric. Ecosyst. Environ. 2007, 118, 1–5. [Google Scholar] [CrossRef]
- Merbold, L.; Eugster, W.; Stieger, J.; Zahniser, M.; Nelson, D.; Buchmann, N. Greenhouse gas budget (CO2, CH4 and N2O) of intensively managed grassland following restoration. Glob. Chang. Biol. 2014, 20, 1913–1928. [Google Scholar] [CrossRef]
- Drewer, J.; Anderson, M.; Levy, P.; Scholtes, B.; Helfter, C.; Parker, J.; Rees, R.M.; Skiba, U.M. The impact of ploughing intensively managed temperate grasslands on N2O, CH4 and CO2 fluxes. Plant Soil 2017, 411, 193–208. [Google Scholar] [CrossRef]
- MacDonald, J.D.; Angers, D.A.; Rochette, P.; Chantigny, M.H.; Royer, I.; Gasser, M. Plowing a poorly drained grassland reduced soil respiration. Soil Sci. Soc. Am. J. 2010, 74, 2067–2076. [Google Scholar] [CrossRef]
- Mori, A.; Hojito, M. Grassland renovation increases N2O emission from a volcanic grassland soil in Nasu, Japan. Soil Sci. Plant Nutr. 2007, 53, 812–818. [Google Scholar] [CrossRef]
- Mori, A.; Hojito, M. Effect of combined application of manure and fertilizer on N2O fluxes from a grassland soil in Nasu, Japan. Agric. Ecosyst. Environ. 2012, 160, 40–50. [Google Scholar] [CrossRef]
- Velthof, G.L.; Hoving, I.E.; Dolfing, J.; Smit, A.; Kuikman, P.J.; Oenema, O. Method and timing of grassland renovation affects herbage yield, nitrate leaching, and nitrous oxide emission in intensively managed grasslands. Nutr. Cycl. Agroecosyst. 2010, 86, 401–412. [Google Scholar] [CrossRef]
- MacDonald, J.D.; Rochette, P.; Chantigny, M.H.; Angers, D.A.; Royer, I.; Gasser, M.O. Ploughing a poorly drained grassland reduced N2O emissions compared to chemical fallow. Soil Tillage Res. 2011, 111, 123–132. [Google Scholar] [CrossRef]
- Shimizu, M.; Hatano, R.; Arita, T.; Kouda, Y.; Mori, A.; Matsuura, S.; Niimi, M.; Jin, T.; Desyatkin, A.R.; Kawamura, O.; et al. The effect of fertilizer and manure application on CH4 and N2O emissions from managed grasslands in Japan. Soil Sci. Plant Nutr. 2013, 59, 69–86. [Google Scholar] [CrossRef]
- Mori, A.; Hojito, M.; Kondo, H.; Matsunami, H.; Scholefield, D. Effects of plant species on CH4 and N2O fluxes from a volcanic soil in Nasu, Japan. Soil Sci. Plant Nutr. 2005, 51, 19–27. [Google Scholar] [CrossRef]
- Kurashima, K.; Ota, T.; Kusaba, T.; Amano, Y.; Yamamoto, K.; Kimura, T.; Kondo, H.; Saito, G. Classification and characteristics of soils at the National Grassland Research Institute. Misc. Publ. Natl. Grassl. Res. Inst. 1993, 3, 1–47. (In Japanese) [Google Scholar]
- Soil Survey Staff. Keys to Soil Taxonomy, 12th ed.; USA Natural Resources Conservation Service: Washington, DC, USA, 2014; pp. 1–360.
- Matsuura, S.; Nakao, S.; Hojito, M. Short-term effects of grassland renovation on CO2 exchange of grasslands in a temperate humid region. J. Agric. Meteorol. 2017, 73, 174–186. [Google Scholar] [CrossRef]
- Hanson, P.J.; Edwards, N.T.; Garten, C.T.; Andrews, J.A. Separating root and soil microbial contributions to soil respiration: A review of methods and observations. Biogeochemistry 2000, 48, 115–146. [Google Scholar] [CrossRef]
- Mori, A.; Hojito, M. Effect of dairy manure type on the carbon balance of mowed grassland in Nasu, Japan: Comparison between manure slurry plus synthetic fertilizer plots and farmyard manure plus synthetic fertilizer plots. Soil Sci. Plant Nutr. 2015, 61, 736–746. [Google Scholar] [CrossRef]
- Mori, A.; Hojito, M. Effect of dairy manure type and supplemental synthetic fertilizer on methane and nitrous oxide emissions from a grassland in Nasu, Japan. Soil Sci. Plant Nutr. 2015, 61, 347–358. [Google Scholar] [CrossRef]
- Hirata, R.; Miyata, A.; Mano, M.; Shimizu, M.; Arita, T.; Kouda, Y.; Matsuura, S.; Niimi, M.; Mori, A.; Saigusa, T.; et al. Carbon dioxide exchange at four intensively managed grassland sites across different climate zones of Japan and the influence of manure application on ecosystem carbon and greenhouse gas budgets. Agric. For. Meteorol. 2013, 177, 57–68. [Google Scholar] [CrossRef]
- Intergovernmental Panel Climate Change. Climate Change 2007: The Physical Science Basis, Contribution of Working Group I to the Fourth Assessment Report of the Intergovernmental Panel on Climate Change; Solomon, S., Qin, D., Manning, M., Chen, Z., Marquis, M., Averyt, K.B., Tignor, M., Miller, H.L., Eds.; Cambridge University Press: Cambridge, UK, 2007. [Google Scholar]
- Dimassi, B.; Mary, B.; Wylleman, R.; Labreuche, J.; Couture, D.; Piraux, F.; Cohan, J.P. Long-term effect of contrasted tillage and crop management on soil carbon dynamics during 41 years. Agric. Ecosyst. Environ. 2014, 188, 134–146. [Google Scholar] [CrossRef]
- Lal, R. Soil carbon sequestration to mitigate climate change. Geoderma 2004, 123, 1–22. [Google Scholar] [CrossRef]
- Reinsch, T.; Loges, R.; Kluß, C.; Taube, F. Renovation and conversion of permanent grass-clover swards to pasture or crops: Effects on annual N2O emissions in the year after ploughing. Soil Tillage Res. 2018, 175, 119–129. [Google Scholar] [CrossRef]
- Dietzel, R.; Liebman, M.; Archontoulis, S. A deeper look at the relationship between root carbon pools and the vertical distribution of the soil carbon pool. Soil 2017, 3, 139–152. [Google Scholar] [CrossRef]
- Deng, L.; Zhu, G.; Tang, Z.; Shangguan, Z. Global patterns of the effects of land-use changes on soil carbon stocks. Glob. Ecol. Conserv. 2016, 5, 127–138. [Google Scholar] [CrossRef]
- Vellinga, T.; van den Pol-van Dasselaar, A.; Kuikman, P. The impact of grassland ploughing on CO2 and N2O emissions in the Netherlands. Nutr. Cycl. Agroecosyst. 2004, 70, 33–45. [Google Scholar] [CrossRef]
- Six, J.; Elliott, E.T.; Paustian, K. Soil macroaggregate turnover and microaggregate formation: A mechanism for C sequestration under no-tillage agriculture. Soil Biol. Biochem. 2000, 32, 2099–2103. [Google Scholar] [CrossRef]
- Paustian, K.; Lehmann, J.; Ogle, S.; Reay, D.; Robertson, G.P.; Smith, P. Climate-smart soils. Nature 2016, 532, 49–57. [Google Scholar] [CrossRef]
- Gál, A.; Vyn, T.J.; Michéli, E.; Kladivko, E.J.; McFee, W.W. Soil carbon and nitrogen accumulation with long-term no-till versus moldboard plowing overestimated with tilled-zone sampling depths. Soil Tillage Res. 2007, 96, 42–51. [Google Scholar] [CrossRef]
- Dalal, R.C.; Allen, D.E.; Wang, W.J.; Reeves, S.; Gibson, I. Organic carbon and total nitrogen stocks in a Vertisol following 40 years of no-tillage, crop residue retention and nitrogen fertilization. Soil Tillage Res. 2011, 112, 133–139. [Google Scholar] [CrossRef]
- Mukumbuta, I.; Hatano, R. Do tillage and conversion of grassland to cropland always deplete soil organic carbon? Soil Sci. Plant Nutr. 2019, 66, 1–8. [Google Scholar] [CrossRef]
- Minasny, B.; Malone, B.P.; McBratney, A.B.; Angers, D.A.; Arrouays, D.; Chambers, A.; Chaplot, V.; Chen, Z.S.; Cheng, K.; Das, B.S.; et al. Soil carbon 4 per mile. Geoderma 2017, 292, 59–86. [Google Scholar] [CrossRef]
- Kyaw, K.M.; Toyota, K. Suppression of nitrous oxide production by the herbicides glyphosate and propanil in soils supplied with organic matter. Soil Sci. Plant Nutr. 2007, 53, 441–447. [Google Scholar] [CrossRef]










| Year 1 (12 September 2015 to 28 October 2016) | |||||
| Renovation | Maintenance | ||||
| 15–16 September 2015 | 15 March 2016 | 23 May 2016 | 11 July 2016 | 29 August 2016 | |
| N (kg-N ha−1) | 40 | 60 | 50 | 50 | 30 |
| P (kg-P2O5 ha−1) | 200 | 30 | 25 | 25 | 15 |
| K (kg-K2O ha−1) | 80 | 60 | 50 | 50 | 30 |
| Year 2 (12 September 2016 to 28 October 2017) | |||||
| Renovation | Maintenance | ||||
| 12–14 September 2016 | 15 March 2017 | 22 May 2017 | 11 July 2017 | 28 August 2017 | |
| N (kg-N ha−1) | 40 | 60 | 50 | 50 | 30 |
| P (kg-P2O5 ha−1) | 200 | 30 | 25 | 25 | 15 |
| K (kg-K2O ha−1) | 80 | 60 | 50 | 50 | 30 |
| Factor | SS | df | MS | F | p Value |
|---|---|---|---|---|---|
| Treatment | 197.7 | 2 | 98.9 | 0.646 | 0.541 |
| Year | 172.7 | 1 | 172.7 | 1.129 | 0.309 |
| Treatment × Year | 24.1 | 2 | 12.1 | 0.079 | 0.925 |
| Factor | SS | df | MS | F | p Value |
|---|---|---|---|---|---|
| Treatment | 0.002 | 2 | 0.001 | 1.243 | 0.323 |
| Year | 0.001 | 1 | 0.001 | 2.007 | 0.182 |
| Treatment × Year | 0.001 | 2 | 0.000 | 0.587 | 0.571 |
| Factor | SS | df | MS | F | p Value |
|---|---|---|---|---|---|
| Treatment | 4.229 | 2 | 2.114 | 3.571 | 0.061 |
| Year | 0.251 | 1 | 0.251 | 0.423 | 0.528 |
| Treatment × Year | 0.259 | 2 | 0.130 | 0.219 | 0.806 |
| Factor | SS | df | MS | F | p Value |
|---|---|---|---|---|---|
| Treatment | 0.239 | 2 | 0.120 | 0.132 | 0.878 |
| Year | 0.852 | 1 | 0.852 | 0.937 | 0.352 |
| Treatment × Year | 3.010 | 2 | 1.505 | 1.655 | 0.232 |
| Factor | SS | df | MS | F | p Value |
|---|---|---|---|---|---|
| Treatment | 404 | 2 | 202 | 0.658 | 0.536 |
| Year | 2 | 1 | 2 | 0.006 | 0.939 |
| Treatment × Year | 642 | 2 | 321 | 1.046 | 0.381 |
| Factor | SS | df | MS | F | p Value |
|---|---|---|---|---|---|
| Treatment | 0.041 | 2 | 0.020 | 3.700 | 0.034 |
| Year | 0.129 | 1 | 0.129 | 23.520 | <0.001 |
| Depth | 0.097 | 2 | 0.048 | 8.830 | 0.001 |
| Treatment × Year | 0.004 | 2 | 0.002 | 0.410 | 0.668 |
| Treatment × Depth | 0.063 | 4 | 0.016 | 2.860 | 0.037 |
| Year × Depth | 0.008 | 2 | 0.004 | 0.730 | 0.489 |
| Factor | SS | df | MS | F | p Value |
|---|---|---|---|---|---|
| Treatment | 246.8 | 2 | 123.4 | 0.771 | 0.484 |
| Year | 185.1 | 1 | 185.1 | 1.157 | 0.303 |
| Treatment × Year | 20.3 | 2 | 10.2 | 0.063 | 0.939 |
| Factor | SS | df | MS | F | p Value |
|---|---|---|---|---|---|
| Treatment | 3.231 | 2 | 1.615 | 0.997 | 0.398 |
| Year | 3.305 | 1 | 3.305 | 2.039 | 0.179 |
| Treatment × Year | 1.444 | 2 | 0.722 | 0.445 | 0.651 |
© 2020 by the author. Licensee MDPI, Basel, Switzerland. This article is an open access article distributed under the terms and conditions of the Creative Commons Attribution (CC BY) license (http://creativecommons.org/licenses/by/4.0/).
Share and Cite
Mori, A. Greenhouse Gas Emissions from Cut Grasslands Renovated with Full Inversion Tillage, Shallow Tillage, and Use of a Tine Drill in Nasu, Japan. Agriculture 2020, 10, 31. https://doi.org/10.3390/agriculture10020031
Mori A. Greenhouse Gas Emissions from Cut Grasslands Renovated with Full Inversion Tillage, Shallow Tillage, and Use of a Tine Drill in Nasu, Japan. Agriculture. 2020; 10(2):31. https://doi.org/10.3390/agriculture10020031
Chicago/Turabian StyleMori, Akinori. 2020. "Greenhouse Gas Emissions from Cut Grasslands Renovated with Full Inversion Tillage, Shallow Tillage, and Use of a Tine Drill in Nasu, Japan" Agriculture 10, no. 2: 31. https://doi.org/10.3390/agriculture10020031
APA StyleMori, A. (2020). Greenhouse Gas Emissions from Cut Grasslands Renovated with Full Inversion Tillage, Shallow Tillage, and Use of a Tine Drill in Nasu, Japan. Agriculture, 10(2), 31. https://doi.org/10.3390/agriculture10020031
