Genetic Operator-Based Particle Filter Combined with Markov Chain Monte Carlo for Data Assimilation in a Crop Growth Model
Abstract
1. Introduction
2. Materials and Methods
2.1. Background
- State adjustment
- The current states are propagated to time t + 1 using the corresponding models, yielding so-called prior states.
- The weights corresponding to these prior states are calculated.
- New states are generated by applying cross-over and mutations to the current states.
- The new states are propagated to time t + 1 using the corresponding models, yielding so-called proposal prior states.
- The weights corresponding to these proposal prior states are calculated.
- The MCMC Metropolis Hastings ratio of the proposal prior states to prior states is used to determine which particle is accepted.
- The parameters are adjusted using MCMC Metropolis Hastings [25]. Conceptually, this consists of generating proposal parameters by adding random noise to the current parameters and calculating MCMC Metropolis Hastings ratio to accept or reject the proposal parameters.
2.2. Proposed Approach
3. Examples
- 1.
- Simulation of canopy growth and decline:
- Exponential growth as long as
- Exponential decay, when and until senescence
- Canopy decline, after the onset of senescence:
- 2.
- Estimation of crop transpirationwhere is a crop-dependent coefficient used to express the impact of stress, is the canopy size (adjusted for micro-advective effects), and is the reference evapotranspiration.
- 3.
- Simulation of above-ground biomass:where is the above-ground biomass, is the water productivity, and expresses the influence of temperature stress on biomass accumulation.
- 4.
- Partitioning of biomass into yield :where is the harvest index at .
3.1. Case Study #1
3.2. Case Study #2
4. Results and Discussions
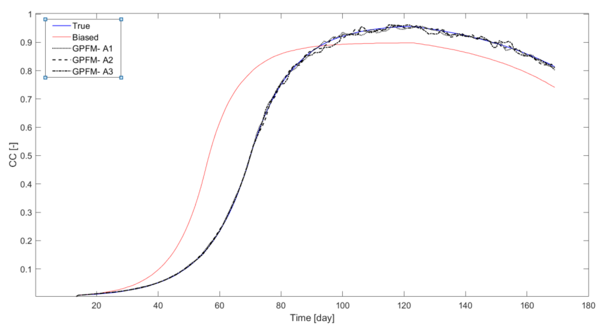
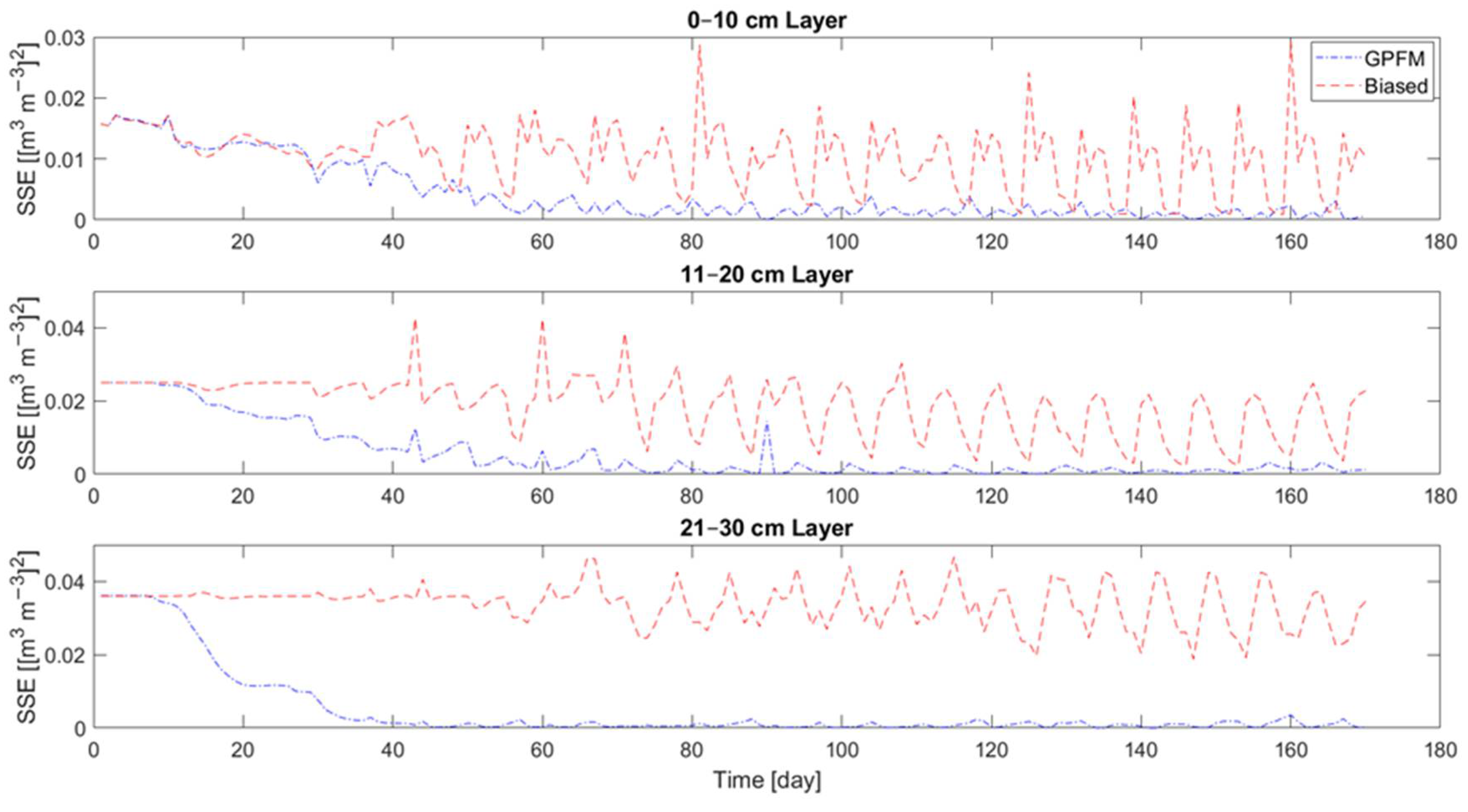
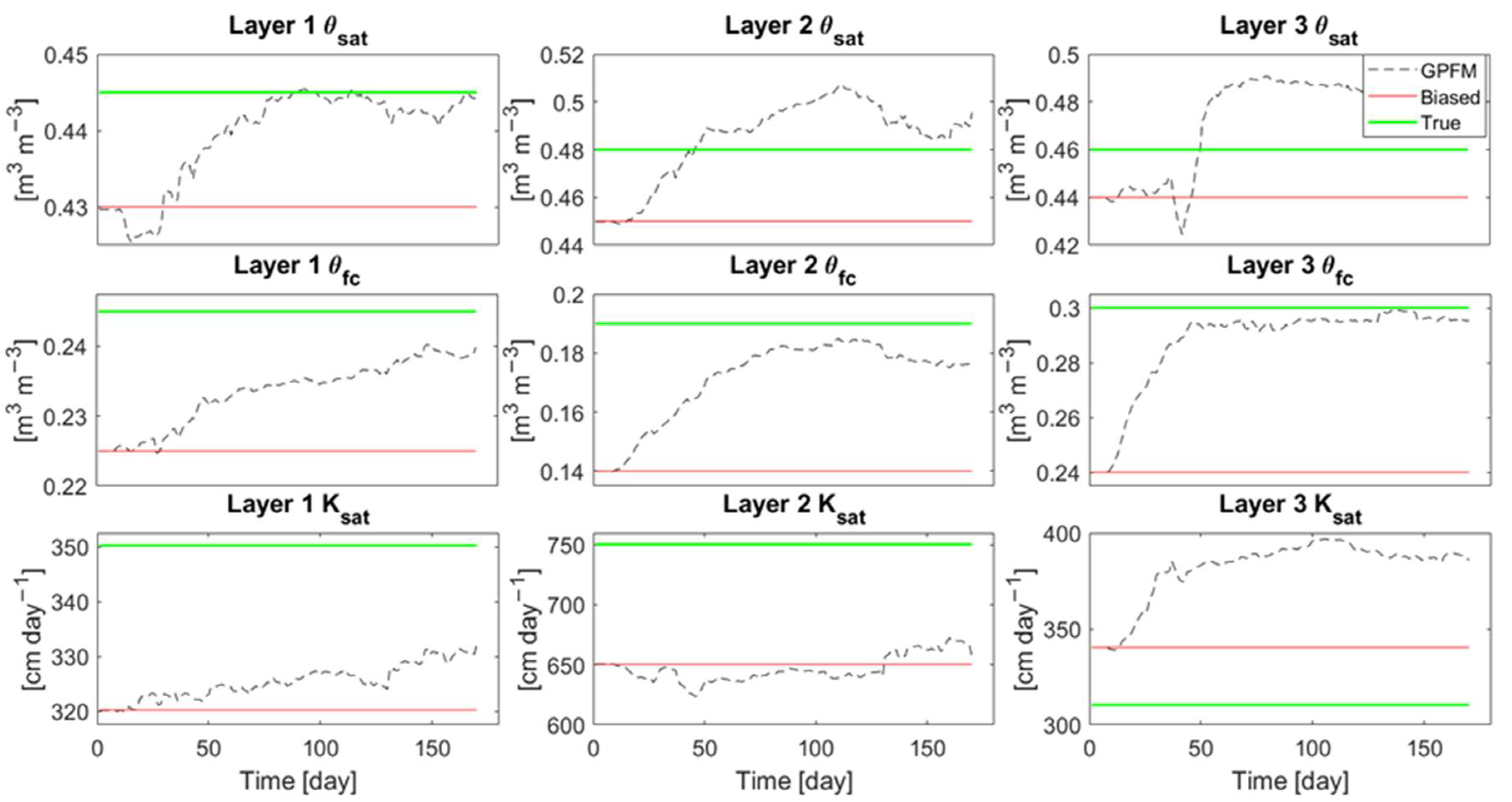
4.1. Case Study #1
4.1.1. Accuracy of Parameters Estimations
4.1.2. Prediction Capability of the Adjusted Models
4.2. Case Study #2
5. Conclusions
Author Contributions
Funding
Acknowledgments
Conflicts of Interest
Symbols
| User-defined crossover parameter for state | |
| User-defined crossover parameter for parameters | |
| Above-ground biomass | |
| Canopy cover | |
| Initial canopy cover | |
| Maximum canopy cover | |
| Canopy decline coefficient | |
| Canopy growth coefficient | |
| Canopy size (adjusted for micro-advective effects) | |
| Average prediction error | |
| Error in parameter estimate (over an ensemble) averaged over time | |
| Reference evapotranspiration | |
| ( ) | Model |
| Water flowing into layer from the previous layer | |
| Water flowing from layer into the next layer and removed by the roots | |
| Measurements operator | |
| Harvest index | |
| Hydraulic conductivity at saturation | |
| Influence of temperature stress on biomass accumulation | |
| Crop-dependent coefficient used to express the impact of stress | |
| Number of the gene in the parameter vector within the particle | |
| Number of the gene in the state vector within the particle | |
| Likelihood | |
| True parameters | |
| Biased parameters | |
| Process noise covariance | |
| Measurements noise covariance | |
| SxBotQ | Maximum root water extraction at the bottom of the root zone |
| SxTopQ | Maximum root water extraction at top of the root zone |
| Length of the growing period | |
| Crop transpiration | |
| Forcing input | |
| True value of the state variable | |
| Water productivity | |
| State vector at time | |
| State obtained by crossover and mutation at time | |
| State of the parent particles with index | |
| The proposal state within particle at time | |
| Posterior state within particle at time | |
| Yield | |
| Vector of measurements | |
| Change in water amount in layer | |
| Gaussian noise for parameters mutation | |
| Gaussian noise for state mutation | |
| Vector of model parameters | |
| Water content at field capacity | |
| Water content at saturation | |
| Parameters within particle obtained by crossover and mutation at time | |
| Posterior parameter within particle at time | |
| Measurements noise | |
| Variance of parameters mutation noise | |
| Variance of state mutation noise | |
| Process noise | |
| Acronyms | |
| DSS | Decision support system |
| EKF | Extended Kalman filter |
| EPFM | Evolutionary particle filter combined with Monte Carlo Markov Chain |
| FAO | Food and Agriculture Organization |
| GA | Genetic algorithm |
| GPFM | Genetic-based particle filter combined with Monte Carlo Markov Chain |
| KF | Kalman filter |
| MA | Metaheuristic algorithm |
| MCMC | Monte Carlo Markov Chain |
| PF | Particle filter |
| UKF | Unscented Kalman filter |
References
- Raes, D.; Steduto, P.; Hsiao, T.C.; Fereres, E. AquaCrop—the FAO crop model to simulate yield response to water: II. Main algorithms and software description. Agron. J. 2009, 101, 438–447. [Google Scholar] [CrossRef]
- Steduto, P.; Hsiao, T.C.; Raes, D.; Fereres, E. AquaCrop—The FAO crop model to simulate yield response to water: I. Concepts and underlying principles. Agron. J. 2009, 101, 426–437. [Google Scholar] [CrossRef]
- Geerts, S.; Raes, D.; Garcia, M. Using AquaCrop to derive deficit irrigation schedules. Agric. Water Manag. 2010, 98, 213–216. [Google Scholar] [CrossRef]
- Linker, R.; Ioslovich, I.; Sylaios, G.; Plauborg, F.; Battilani, A. Optimal model-based deficit irrigation scheduling using AquaCrop: A simulation study with cotton, potato and tomato. Agric. Water Manag. 2016, 163, 236–243. [Google Scholar] [CrossRef]
- Li, F.; Yu, D.; Zhao, Y. Irrigation scheduling optimization for cotton based on the AquaCrop model. Agric. Water Manag. 2019, 33, 39–55. [Google Scholar] [CrossRef]
- Manivasagam, V.S.; Rozenstein, O. Practices for upscaling crop simulation models from field scale to large regions. Comput. Electron. Agric. 2020, 175, 105554. [Google Scholar] [CrossRef]
- Zhang, T.; Su, J.; Liu, C.; Chen, W.H. Bayesian calibration of AquaCrop model for winter wheat by assimilating UAV multi-spectral images. Comput. Electron. Agric. 2019, 167, 105052. [Google Scholar] [CrossRef]
- Evensen, G. Sequential data assimilation with a nonlinear quasi-geostrophic model using Monte Carlo methods to forecast error statistics. J. Geophys. Res. Oceans 1994, 99, 10143–10162. [Google Scholar] [CrossRef]
- Burgers, G.; van Leeuwen, P.J.; Evensen, G. Analysis scheme in the ensemble Kalman filter. Month Weather. Rev. 1998, 126, 1719–1724. [Google Scholar] [CrossRef]
- Kalman, R.E. A new approach to linear filtering and prediction problems. J. Basic Eng. 1960, 82, 35–45. [Google Scholar] [CrossRef]
- Jamal, A.; Linker, R. Inflation method based on confidence intervals for data assimilation in soil hydrology using ensemble Kalman filter. Vadose Zone J. 2019. [Google Scholar] [CrossRef]
- Wang, D.; Cai, X. Optimal estimation of irrigation schedule—An example of quantifying human interferences to hydrologic processes. Adv. Water Resour. 2007, 30, 1844–1857. [Google Scholar] [CrossRef]
- DeChant, C.M.; Moradkhani, H. Examining the effectiveness and robustness of sequential data assimilation methods for quantification of uncertainty in hydrologic forecasting. Water Resour. Res. 2012, 48. [Google Scholar] [CrossRef]
- Yan, H.; Moradkhani, H. Combined assimilation of streamflow and satellite soil moisture with the particle filter and geostatistical modeling. Adv. Water Res. 2016, 94, 364–378. [Google Scholar] [CrossRef]
- Evensen, G. Data Assimilation: The Ensemble Kalman Filter; Springer: Berlin/Heidelberg, Germany, 2009. [Google Scholar]
- Wang, D.; Chen, Y.; Cai, X. State and parameter estimation of hydrologic models using the constrained ensemble Kalman filter. Water Resour. Res. 2009, 45. [Google Scholar] [CrossRef]
- Yin, S.; Zhu, X. Intelligent particle filter and its application to fault detection of nonlinear system. IEEE Trans. Ind. Electron. 2015, 62, 3852–3861. [Google Scholar] [CrossRef]
- Abbaszadeh, P.; Moradkhani, H.; Yan, H. Enhancing hydrologic data assimilation by evolutionary particle filter and Markov chain Monte Carlo. Adv. Water Resour. 2018, 111, 192–204. [Google Scholar] [CrossRef]
- Berg, D.; Bauser, H.H.; Roth, K. Covariance resampling for particle filter–state and parameter estimation for soil hydrology. Hydrol. Earth Syst. Sci. 2019, 23, 1163–1178. [Google Scholar] [CrossRef]
- Chen, Y.; Cournède, P.H. Data assimilation to reduce uncertainty of crop model prediction with convolution particle filtering. Ecol. Model. 2014, 290, 165–177. [Google Scholar] [CrossRef]
- Moradkhani, H.; Hsu, K.L.; Gupta, H.; Sorooshian, S. Uncertainty assessment of hydrologic model states and parameters: Sequential data assimilation using the particle filter. Water Resour. Res. 2005, 41. [Google Scholar] [CrossRef]
- Qin, J.; Liang, S.; Yang, K.; Kaihotsu, I.; Liu, R.; Koike, T. Simultaneous estimation of both soil moisture and model parameters using particle filtering method through the assimilation of microwave signal. J. Geophys. Res. Atmos. 2009, 114. [Google Scholar] [CrossRef]
- Montzka, C.; Grant, J.P.; Moradkhani, H.; Franssen, H.J.H.; Weihermüller, L.; Drusch, M.; Vereecken, H. Estimation of radiative transfer parameters from L-band passive microwave brightness temperatures using advanced data assimilation. Vadose Zone J. 2013, 12, 1–17. [Google Scholar] [CrossRef]
- Andrieu, C.; Doucet, A.; Holenstein, R. Particle Markov chain Monte Carlo methods. J. R. Stat Soc. Ser. B 2010, 72, 269–342. [Google Scholar] [CrossRef]
- Moradkhani, H.; DeChant, C.M.; Sorooshian, S. Evolution of ensemble data assimilation for uncertainty quantification using the particle filter-Markov chain Monte Carlo method. Water Resour. Res. 2012, 48. [Google Scholar] [CrossRef]
- Kwok, N.M.; Fang, G.; Zhou, W. Evolutionary particle filter: Re-sampling from the genetic algorithm perspective. In Proceedings of the 2005 IEEE/RSJ International Conference on Intelligent Robots and Systems, Edmonton, AB, Canada, 2–6 August 2005; pp. 2935–2940. [Google Scholar]
- Valdes-Abellan, J.; Pachepsky, Y.; Martinez, G. MATLAB algorithm to implement soil water data assimilation with the Ensemble Kalman Filter using HYDRUS. MethodsX 2018, 5, 184–203. [Google Scholar] [CrossRef]
- Janikow, C.Z.; Michalewicz, Z. An experimental comparison of binary and floating point representations in genetic algorithms. In Proceedings of the 4th International Conference on Genetic Algorithms, San Diego, CA, USA, 13–16 July 1991; pp. 31–36. [Google Scholar]
- Magalhaes-Mendes, J. A comparative study of crossover operators for genetic algorithms to solve the job shop scheduling problem. WSEAS Trans. Comput. 2013, 12, 164–173. [Google Scholar]
- Park, S.; Hwang, J.P.; Kim, E.; Kang, H.-J. A New Evolutionary Particle Filter for the Prevention of Sample Impoverishment. IEEE Trans. Evol. Comput. 2009, 13, 801–809. [Google Scholar] [CrossRef]
- Price, J. Leaf area index estimation from visible and near-infrared reflectance data. Remote. Sens. Environ. 1995, 52, 55–65. [Google Scholar] [CrossRef]
- Soltani, A.; Galeshi, S. Importance of rapid canopy closure for wheat production in a temperate sub-humid environment: Experimentation and simulation. Field Crop. Res. 2002, 77, 17–30. [Google Scholar] [CrossRef]
- Pérez, G.; Coma, J.; Sol, S.; Cabeza, L. Green facade for energy savings in buildings: The influence of leaf area index and facade orientation on the shadow effect. Appl. Energy 2017, 187, 424–437. [Google Scholar] [CrossRef]
- Varella, H.; Guérif, M.; Buis, S.; Beaudoin, N. Soil properties estimation by inversion of a crop model and observations on crops improves the prediction of agro-environmental variables. Eur. J. Agron. 2010, 33, 139–147. [Google Scholar] [CrossRef]
- Varella, H.; Guérif, M.; Buis, S. Global sensitivity analysis measures the quality of parameter estimation: The case of soil parameters and a crop model. Environ. Model. Softw. 2010, 25, 310–319. [Google Scholar] [CrossRef]
- Nagarajan, K.; Judge, J.; Graham, W.; Monsivais-Huertero, A. Particle Filter-based assimilation algorithms for improved estimation of root-zone soil moisture under dynamic vegetation conditions. Adv. Water Resour. 2011, 34, 433–447. [Google Scholar] [CrossRef]
- Xu, X.; Sun, C.; Huang, G.; Mohanty, B.P. Global sensitivity analysis and calibration of parameters for a physically-based agro-hydrological model. Environ. Model. Softw. 2016, 83, 88–102. [Google Scholar] [CrossRef]









| Day | Amount (mm) |
|---|---|
| 3 | 32 |
| 12 | 26 |
| 56 | 27 |
| 69 | 48 |
| 75 | 36 |
| 81 | 26 |
| 87 | 30 |
| 88 | 41 |
| 96 | 34 |
| 103 | 53 |
| 111 | 31 |
| 114 | 55 |
| Parameter | Description | True | Biased |
|---|---|---|---|
| Maximum root water extraction at top of the root zone () | 0.052 | 0.04 | |
| Maximum root water extraction at the bottom of the root zone () | 0.015 | 0.025 | |
| Maximum canopy cover | 0.98 | 0.9 | |
| Canopy growth coefficient () | 0.07618 | 0.1 |
| Parameter | Description | True | Biased |
|---|---|---|---|
| Soil | |||
| 0–10 cm layer | Hydraulic conductivity at saturation () Water content at saturation Water content at field capacity | 380.4 0.47 0.27 | 320.4 0.44 0.23 |
| 11–20 cm layer | Hydraulic conductivity at saturation () Water content at saturation Water content at field capacity | 750.4 0.48 0.19 | 650.4 0.45 0.14 |
| 21–30 cm layer | Hydraulic conductivity at saturation () Water content at saturation Water content at field capacity | 310.4 0.46 0.30 | 340.4 0.44 0.24 |
| Crop | |||
| Growing days from sowing to maximum rooting | 180 | 165 | |
| Growing days from sowing to maturity | 180 | 170 | |
| Growing days from sowing to start of yield formation | 70 | 65 | |
| Duration of flowering in () | 20 | 18 | |
| Canopy growth coefficient | 0.1 | 0.08 | |
| Maximum canopy cover | 0.75 | 0.71 | |
| Combination Number | Crossover and Mutation Parameters for Parameters (b and σp, Respectively) | Crossover and Mutation Parameters for State (a and σs, Respectively) | CGC | SxbotQ | SxtopQ | CCx |
|---|---|---|---|---|---|---|
| A1 | 0.01 | 0.05 | 0.93 | 0.90 | 1.01 | 0.59 |
| A2 | 0.05 | 0.05 | 0.65 | 0.78 | 1.13 | 0.84 |
| A3 | 0.05 | 0.01 | 0.44 | 0.63 | 0.52 | 1.04 |
| Combination Number | Crossover and Mutation Parameters for Parameters (b and σp, Respectively) | Crossover and Mutation Parameters for State (a and σs, Respectively) | Ensemble Size | CGC | SxbotQ | SxtopQ | CCx |
|---|---|---|---|---|---|---|---|
| E1 | 0.05 | 0.01 | 100 | 0.29 (0.76) | 1.69 (0.97) | 1.25 (0.98) | 0.69 (1.02) |
| E2 | 0.05 | 0.01 | 500 | 0.31 (0.77) | 1.41 (0.81) | 0.75 (0.88) | 0.96 (1.10) |
| E3 | 0.05 | 0.01 | 1200 | 0.33 (0.83) | 1.12 (0.80) | 0.95 (0.89) | 1.11 (1.08) |
| E4 | 0.05 | 0.01 | 1500 | 0.23 (0.75) | 0.99 (0.82) | 1.01 (0.95) | 0.67 (1.09) |
| E10 | 0.01 | 0.05 | 500 | 0.97 (1.00) | 1.02 (1.00) | 1.02 (0.99) | 0.56 (0.99) |
| E20 | 0.01 | 0.05 | 1000 | 0.92 (1.00) | 1.03 (0.99) | 0.94 (1.00) | 0.46 (1.05) |
| Combination Number | Crossover and Mutation Parameters for Parameters (b and σp, Respectively) | Crossover and Mutation Parameters for State (a and σs, Respectively) | Noise STD | CGC | SxbotQ | SxtopQ | CCx |
|---|---|---|---|---|---|---|---|
| N1 | 0.05 | 0.01 | 0.01 | 0.27 (0.69) | 0.69 (0.79) | 0.87 (0.95) | 0.71 (1.11) |
| N2 | 0.05 | 0.01 | 0.02 | 0.26 (0.73) | 0.87 (0.75) | 0.85 (0.93) | 0.71 (1.11) |
| N3 | 0.05 | 0.01 | 0.03 | 0.33 (0.79) | 0.88 (0.78) | 1.02 (0.92) | 0.83 (1.13) |
| N4 | 0.05 | 0.01 | 0.04 | 0.40 (0.72) | 1.12 (0.76) | 1.06 (0.94) | 0.79 (1.09) |
| N5 | 0.05 | 0.01 | 0.05 | 0.44 (0.82) | 1.04 (0.78) | 1.30 (0.96) | 0.98 (1.09) |
| N10 | 0.01 | 0.05 | 0.01 | 0.92 (1.00) | 1.03 (0.99) | 0.94 (1.00) | 0.46 (1.05) |
| N20 | 0.01 | 0.05 | 0.05 | 0.93 (0.99) | 1.10 (1.00) | 1.12 (1.00) | 0.37 (1.02) |
| Method | ||
|---|---|---|
| True | 5.86 | 1171 |
| Biased | 3.64 (−37) | 776 (−34) |
| GPFM | 5.16 (−12) | 1086 (−7) |
Publisher’s Note: MDPI stays neutral with regard to jurisdictional claims in published maps and institutional affiliations. |
© 2020 by the authors. Licensee MDPI, Basel, Switzerland. This article is an open access article distributed under the terms and conditions of the Creative Commons Attribution (CC BY) license (http://creativecommons.org/licenses/by/4.0/).
Share and Cite
Jamal, A.; Linker, R. Genetic Operator-Based Particle Filter Combined with Markov Chain Monte Carlo for Data Assimilation in a Crop Growth Model. Agriculture 2020, 10, 606. https://doi.org/10.3390/agriculture10120606
Jamal A, Linker R. Genetic Operator-Based Particle Filter Combined with Markov Chain Monte Carlo for Data Assimilation in a Crop Growth Model. Agriculture. 2020; 10(12):606. https://doi.org/10.3390/agriculture10120606
Chicago/Turabian StyleJamal, Alaa, and Raphael Linker. 2020. "Genetic Operator-Based Particle Filter Combined with Markov Chain Monte Carlo for Data Assimilation in a Crop Growth Model" Agriculture 10, no. 12: 606. https://doi.org/10.3390/agriculture10120606
APA StyleJamal, A., & Linker, R. (2020). Genetic Operator-Based Particle Filter Combined with Markov Chain Monte Carlo for Data Assimilation in a Crop Growth Model. Agriculture, 10(12), 606. https://doi.org/10.3390/agriculture10120606
