Surgery for Adult Patients with Congenital Heart Disease: Results from the European Database
Abstract
1. Introduction
2. Materials and Methods
2.1. Data Source
2.2. Patient Population
2.3. Statistical Analysis
3. Results
3.1. Population Characteristics
3.2. Surgical Trends
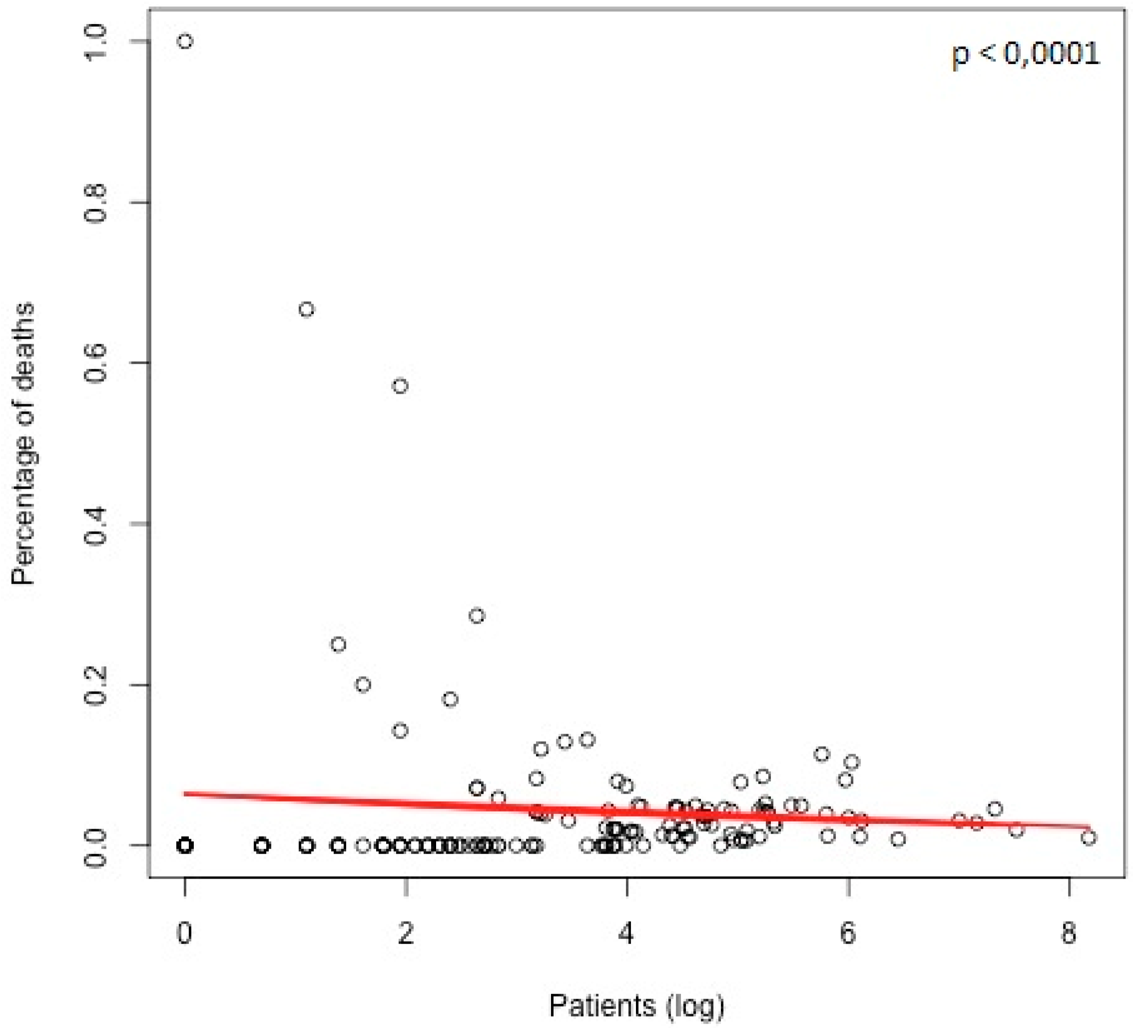
3.3. Hospital Mortality
4. Discussion
Limitations
5. Conclusions
Supplementary Materials
Author Contributions
Funding
Acknowledgments
Conflicts of Interest
References
- Marelli, A.J.; Ionescu-Ittu, R.; Mackie, A.S.; Guo, L.; Dendukuri, N.; Kaouache, M. Lifetime prevalence of congenital heart disease in the general population from 2000 to 2010. Circulation 2014, 130, 749–756. [Google Scholar] [CrossRef] [PubMed]
- Vida, V.L.; Berggren, H.; Brawn, W.J.; Daenen, W.; Di Carlo, D.; Di Donato, R.; Lindberg, H.L.; Corno, A.F.; Fragata, J.; Elliott, M.J.; et al. Risk of Surgery for congenital heart disease in the adult: A multicentered European study. Ann. Thorac. Surg. 2007, 83, 161–168. [Google Scholar] [CrossRef] [PubMed]
- EACTS Congenital Database. Available online: http://www.eactscongenitaldb.org/index.php?LANG_en&level_1&struct_1 (accessed on 24 April 2020).
- Maruszewski, B.; Tobota, Z. The European Congenital Heart Defects Surgery Database experience: Pediatric European Cardiothoracic Surgical Registry of the European Association for Cardio-Thoracic Surgery. Semin. Thorac. Cardiovasc. Surg. Pediatr. Card. Surg. Annu. 2002, 5, 143–147. [Google Scholar] [CrossRef] [PubMed]
- Maruszewski, B.; Lacour-Gayet, F.; Monro, J.L.; Keogh, B.E.; Tobota, Z.; Kansy, A. An attempt at data verification in the EACTS Congenital Database. Eur. J. Cardiothorac. Surg. 2005, 28, 400–404. [Google Scholar] [CrossRef]
- Fuller, S.M.; He, X.; Jacobs, J.P.; Pasquali, S.K.; Gaynor, J.W.; Mascio, C.E.; Hill, K.D.; Jacobs, M.L.; Kim, Y.Y. Estimating Mortality Risk for Adult Congenital Heart Surgery: An Analysis of The Society of Thoracic Surgeons Congenital Heart Surgery Database. Ann. Thorac. Surg. 2015, 100, 1728–1736. [Google Scholar] [CrossRef]
- R Core Team. R: A language and Environment for Statistical Computing; R Foundation for Statistical Computing: Vienna, Austria, 2012; Available online: http://www.R-project.org/ (accessed on 24 April 2020).
- Warnes, C.A.; Liberthson, R.; Danielson, G.K.; Dore, A.; Harris, L.; Hoffman, J.I.; Somerville, J.; Williams, R.G.; Webb, G.D. Task Force 1: The changing profile of congenital heart disease in adult life. J. Am. Coll. Cardiol. 2001, 37, 1161–1198. [Google Scholar] [CrossRef]
- Srinathan, S.K.; Bonser, R.S.; Sethia, B.; Thorne, S.A.; Brawn, W.J.; Barron, D.J. Changing practice of cardiac surgery in adult patients with congenital heart disease. Heart 2004, 91, 207–212. [Google Scholar] [CrossRef][Green Version]
- Warnes, C.A. The adult with congenital heart disease. Born to be bad? J. Am. Coll. Cardiol. 2005, 46, 1–8. [Google Scholar] [CrossRef]
- Klcovansky, J.; Søndergaard, L.; Helvind, M.; Andersen, H.Ø. Cardiac surgery in grown-up congenital heart patients. Will the surgical workload increase? Interact. Cardiovasc. Thorac. Surg. 2008, 7, 84–89. [Google Scholar] [CrossRef]
- Marelli, A.J.; Gurvitz, M. From numbers to guidelines. Prog. Cardiovasc. Dis. 2011, 53, 239–246. [Google Scholar] [CrossRef]
- Hörer, J.; Vogt, M.; Wottke, M.; Cleuziou, J.; Kasnar-Samprec, J.; Lange, R.; Schreiber, C. Evaluation of the Aristotle complexity models in adult patients with congenital heart disease. Eur. J. Cardiothorac. Surg. 2013, 43, 128–135. [Google Scholar] [CrossRef] [PubMed][Green Version]
- Kim, Y.Y.; Gauvreau, K.; Bacha, E.A.; Landzberg, M.J.; Benavidez, O.J. Risk factors for death after adult congenital heart surgery in pediatric hospitals. Circ. Cardiovasc. Qual. Outcomes 2011, 4, 433–439. [Google Scholar] [CrossRef] [PubMed][Green Version]
- Putman, L.M.; van Gameren, M.; Meijboom, F.J.; de Jong, P.L.; Roos-Hesselink, J.W.; Witsenburg, M.; Takkenberg, J.J.; Bogers, A.J. Seventeen years of adult congenital heart surgery: A single centre experience. Eur. J. Cardiothorac. Surg. 2009, 36, 96–104. [Google Scholar] [CrossRef] [PubMed]
- Stellin, G.; Vida, V.L.; Padalino, M.A.; Rizzoli, G. European Congenital Heart Surgeons Association. Surgical outcome for congenital heart malformations in the adult age: A multicentric European study. Semin. Thorac. Cardiovasc. Surg. Pediatr. Card. Surg. Annu. 2004, 7, 95–101. [Google Scholar] [CrossRef]
- Wauthy, P.; Massaut, J.; Sanoussi, A.; Demanet, H.; Morissens, M.; Damry, N.; Dessy, H.; Malekzadeh-Milani, S.G.; Deuvaert, F.E. Ten-year experience with surgical treatment of adults with congenital cardiac disease. Cardiol. Young 2011, 21, 39–45. [Google Scholar] [CrossRef]
- Giamberti, A.; Chessa, M.; Abella, R.; Butera, G.; Carlucci, C.; Nuri, H.; Frigiola, A.; Ranucci, M. Morbidity and mortality risk factors in adults with congenital heart disease undergoing cardiac reoperations. Ann. Thorac. Surg. 2009, 88, 1284–1290. [Google Scholar] [CrossRef]
- Berdat, P.A.; Immer, F.; Pfammatter, J.P.; Carrel, T. Reoperations in adults with congenital heart disease: Analysis of early outcome. Int. J. Cardiol. 2004, 94, 239–245. [Google Scholar] [CrossRef]
- Padalino, M.A.; Speggiorin, S.; Rizzoli, G.; Crupi, G.; Vida, V.L.; Bernabei, M. Midterm results of surgical intervention for congenital heart disease in adults: An Italian multicenter study. J. Thorac. Cardiovasc. Surg. 2007, 134, 106–113. [Google Scholar] [CrossRef]
- MacDonald, S.T.; Carminati, M.; Chessa, M. Managing adults with congenital heart disease in the catheterization laboratory: State of the art. Expert Rev. Cardiovasc. Ther. 2010, 8, 1741–1752. [Google Scholar] [CrossRef]
- Dore, A.; Glancy, L.; Stone, S.; Menashe, V.D.; Somerville, J. Cardiac surgery for grown-up congenital heart patients: Survey of 307 consecutive operations from 1991 to 1994. Am. J. Cardiol. 1997, 80, 906–913. [Google Scholar] [CrossRef]
- Fuchs, M.; Schibilsky, D.; Zeh, W.; Berchtold-Herz, M.; Beyersdorf, F.; Siepe, M. Does the heart transplant have a future? Eur. J. Cardiothorac. Surg. 2019, 55, i38–i48. [Google Scholar] [CrossRef] [PubMed]
- Mascio, C.E.; Pasquali, S.K.; Jacobs, J.P.; Jacobs, M.L.; Austin, I.I.I.E.H. Outcomes in adult congenital heart surgery: Analysis of the Society of Thoracic Surgeons (STS) Database. J. Thorac. Cardiovasc. Surg. 2011, 142, 1090–1097. [Google Scholar] [CrossRef] [PubMed]
- Hörer, J.; Belli, E.; Roussin, R.; LeBret, E.; Ly, M.; Abdullah, J.; Marzullo, R.; Strbad, M.; Cleuziou, J.; von Ohain, J.P.; et al. Evaluation of the Adult Congenital Heart Surgery mortality score at two European centers. Ann. Thorac. Surg. 2018, 105, 1441–1446. [Google Scholar] [CrossRef]
- Beurtheret, S.; Tutarel, O.; Diller, G.P.; West, C.; Ntalarizou, E.; Resseguier, N.; Papaioannou, V.; Jabbour, R.; Simpkin, V.; Bastin, A.J.; et al. Contemporary cardiac surgery for adults with congenital heart disease. Heart 2017, 103, 1194–1202. [Google Scholar] [CrossRef] [PubMed]
- Lacour-Gayet, F.; Clarke, D.; Jacobs, J.; Comas, J.; Daebritz, S.; Daenen, W.; Gaynor, W.; Hamilton, L.; Jacobs, M.; Maruszsewski, B.; et al. Aristotle Committee. The Aristotle score: A complexity-adjusted method to evaluate surgical results. Eur. J. Cardiothorac. Surg. 2004, 25, 911–924. [Google Scholar] [CrossRef]
- O’Brien, S.M.; Clarke, D.R.; Jacobs, J.P.; Jacobs, M.L.; Lacour-Gayet, F.G.; Pizarro, C.; Welke, K.F.; Maruszewski, B.; Tobota, Z.; Miller, W.J.; et al. An empirically based tool for analysing mortality associated with congenital heart surgery. J. Thorac. Cardiovasc. Surg. 2009, 138, 1139–1153. [Google Scholar] [CrossRef]
- Karamlou, T.; Diggs, S.D.; Ungerleider, R.M.; Welke, K.F. Adults or Big Kids: What Is the Ideal Clinical Environment for Management of Grown-Up Patients with Congenital Heart Disease? Ann. Thorac. Surg. 2010, 90, 573–579. [Google Scholar] [CrossRef]





| Variable | Total * | Males * | Age (years) ** | BSA ** | CC Time ** | CPB Time ** | Reoperation * | Hospital Mortality * |
|---|---|---|---|---|---|---|---|---|
| Total | 20,602 | 10,464 (51) | 33 (23–47) | 1.8 (1.6–1.9) | 64 (38–100) | 92 (56–141) | 5508 (27) | 622 (3) |
| Septal defects repair | 5740 (28) | 2360 (41) | 35 (25–48) | 1.7 (1.6–1.9) | 39 (25–63) | 67 (47–100) | 208 (3.6) | 56 (1) |
| Right-heart lesions repair | 5542 (27) | 2751 (49) | 31 (23–44) | 1.7 (1.5–1.9) | 62 (41–90) | 99 (71–140) | 2113 (38) | 166 (3.0) |
| Left-heart lesions repair | 4566 (22) | 2810 (62) | 34 (23–50) | 1.8 (1.7–2.0) | 91 (65–127) | 128 (94–179) | 1385 (30) | 124 (2.7) |
| Thoracic arteries and veins anomalies repair | 1522 (7.4) | 942 (62) | 37 (25–52) | 1.9 (1.7–2.1) | 101 (62–135) | 128 (52–181) | 390 (26) | 37 (2.4) |
| Electrophysiological procedures | 1321 (6.4) | 694 (52) | 26 (21–36) | 1.8 (1.6–1.9) | – | – | 860 (65) | 47 (3.6) |
| PAPVC repair | 808 (3.9) | 356 (44) | 38 (25–50) | 1.8 (1.6–1.9) | 50 (36–68) | 81 (51–121) | 36 (4.5) | 3 (0.4) |
| Single ventricle-associated procedures | 387 (1.9) | 185 (48) | 25 (20–31) | 1.6 (1.5–1.8) | 75 (47–134) | 175 (123–244) | 254 (31) | 59 (15) |
| Transplants | 108 (0.5) | 63 (58) | 23 (19–33) | 1.7 (1.5–1.9) | 131 (90–239) | 205 (156–295) | 61 (56) | 21 (19) |
| Mechanical support implantation | 97 (0.6) | 32 (33) | 25 (21–41) | 1.7 (1.6–1.9) | 93 (55–131) | 127 (42–181) | 43 (44) | 66 (68) |
| Other procedures | 511 (2.5) | 271 (53) | 30 (22–46) | 1.7 (1.5–1.9) | 25 (0–86) | 90 (0–162) | 159 (31) | 43 (8.4) |
| Procedure | n. of pts | Hospital Mortality (%) |
|---|---|---|
| Total | 20,602 | 622 (3) |
| 1-Septal defects repair | 5740 | 56 (1.0) |
| ASD | 3735 | 30 (0.8) |
| VSD | 1389 | 14 (1.0) |
| AVC (partial/intermediate) | 593 | 8 (1.3) |
| ASD creation | 23 | 4 (1.7) |
| 2-Right heart lesions repair | 5542 | 166 (3.0) |
| TV disease | 2729 | 87 (3.2) |
| - TV plasty | 2156 | 37 (1.7) |
| - TV replacement | 410 | 39 (1.0) |
| - Ebstein’s repair | 163 | 11 (6.7) |
| Conduit operations (RV/LV to PA operation, reop, other) | 1173 | 35 (3.0) |
| PV disease: | 775 | 13 (1.7) |
| - PV replacement | 715 | 11 (1.5) |
| - PV plasty | 60 | 2 (3.3) |
| RVOT procedure: | 530 | 19 (3.6) |
| - PA reconstruction | 252 | 10 (4.0) |
| - RVOT procedure | 159 | 4 (2.5) |
| - DCRV repair | 68 | - |
| - 1 ½ ventricular repair | 51 | 5 (1.0) |
| TOF repair | 335 | 12 (3.6) |
| 3-Left heart lesions repair | 4566 | 124 (2.7) |
| AoV disease: | 3408 | 68 (2.0) |
| - AoV replacement | 1804 | 35 (1.9) |
| - Aortic root replacement | 811 | 23 (2.8) |
| - Aortic stenosis sub-/supra-valvar | 323 | 4 (1.2) |
| - AoV plasty | 239 | 3 (1.3) |
| - Ross/Konno/Ross–Konno procedure | 231 | 3 (1.3) |
| MV disease: | 1158 | 56 (4.8) |
| - MV plasty | 615 | 9 (1.5) |
| - MV replacement | 538 | 47 (8.7) |
| - Supravalvular mitral ring | 5 | - |
| 4-Thoracic arteries and veins anomalies repair | 1522 | 37 (2.4) |
| Aortic aneurysm repair | 609 | 10 (1.9) |
| Coarctation of aorta/aortic arch repair | 384 | 7 (1.8) |
| CABG | 276 | 10 (3.6) |
| Sinus of Valsalva aneurysm | 63 | 2 (3.2) |
| Vascular ring repair | 58 | 4 (6.9) |
| PDA closure | 47 | - |
| ALCAPA repair | 38 | 1 (2.6) |
| Aortic dissection repair | 26 | 3 (12) |
| Anomalous aortic origin of coronary artery repair | 21 | - |
| 5-Electrophysiological procedures (PM/ICD) | 1321 | 47 (3.6) |
| 6-PAPVC repair | 808 | 3 (0.4) |
| PAPVC repair | 767 | 3 (0.4) |
| PAPVC scimitar repair | 41 | - |
| 7-Single ventricle-associated procedures | 387 | 59 (15) |
| 8-Transplants (heart/heart and lungs) | 108 | 21 (19) |
| 9-Mechanical support implantation (ECMO, LVAD, RVAD) | 97 | 66 (68) |
| 10-Other less common surgical procedures | 511 | 43 (8.4) |
| Associated Procedure | n of Procedures |
|---|---|
| ASD repair | 2844 |
| MV plasty | 709 |
| Atrial arrhythmia surgical ablation | 576 |
| VSD closure | 538 |
| PV replacement | 503 |
| Aortic stenosis sub-/supra-valvar | 489 |
| TV plasty | 479 |
| Aortic root replacement | 456 |
| ICD/PM implantation–explantation | 332 |
| Pulmonary artery reconstruction | 287 |
| AoV plasty | 274 |
| AoV replacement | 264 |
| RVOT procedure | 264 |
| Conduit operation-reoperation | 203 |
| Aortic aneurysm repair | 203 |
| DCRV repair | 198 |
| PAPVC repair | 178 |
| Sinus of Valsalva repair | 155 |
| PDA closure | 135 |
| Aortic arch repair | 120 |
| ASD creation | 89 |
| PV plasty | 85 |
| Other annular enlargement procedure | 55 |
| Other coronary artery procedure | 49 |
| TV replacement | 42 |
| Cor triatriatum | 37 |
| Ventricular arrhythmia surgical ablation | 36 |
| ECMO implantation | 33 |
| Ebstein’s repair | 28 |
| MV replacement | 16 |
| Other less common procedures | 1114 |
© 2020 by the authors. Licensee MDPI, Basel, Switzerland. This article is an open access article distributed under the terms and conditions of the Creative Commons Attribution (CC BY) license (http://creativecommons.org/licenses/by/4.0/).
Share and Cite
Vida, V.L.; Zanotto, L.; Torlai Triglia, L.; Zanotto, L.; Maruszewski, B.; Tobota, Z.; Bertelli, F.; Cattapan, C.; Ebels, T.; Bottigliengo, D.; et al. Surgery for Adult Patients with Congenital Heart Disease: Results from the European Database. J. Clin. Med. 2020, 9, 2493. https://doi.org/10.3390/jcm9082493
Vida VL, Zanotto L, Torlai Triglia L, Zanotto L, Maruszewski B, Tobota Z, Bertelli F, Cattapan C, Ebels T, Bottigliengo D, et al. Surgery for Adult Patients with Congenital Heart Disease: Results from the European Database. Journal of Clinical Medicine. 2020; 9(8):2493. https://doi.org/10.3390/jcm9082493
Chicago/Turabian StyleVida, Vladimiro L., Lorenza Zanotto, Laura Torlai Triglia, Lucia Zanotto, Bohdan Maruszewski, Zdzislaw Tobota, Francesco Bertelli, Claudia Cattapan, Tjark Ebels, Daniele Bottigliengo, and et al. 2020. "Surgery for Adult Patients with Congenital Heart Disease: Results from the European Database" Journal of Clinical Medicine 9, no. 8: 2493. https://doi.org/10.3390/jcm9082493
APA StyleVida, V. L., Zanotto, L., Torlai Triglia, L., Zanotto, L., Maruszewski, B., Tobota, Z., Bertelli, F., Cattapan, C., Ebels, T., Bottigliengo, D., Gregori, D., Sarris, G., Horer, J., Stellin, G., Padalino, M. A., Di Salvo, G., & on the behalf of the European Congenital Heart Surgeons Association (ECHSA). (2020). Surgery for Adult Patients with Congenital Heart Disease: Results from the European Database. Journal of Clinical Medicine, 9(8), 2493. https://doi.org/10.3390/jcm9082493

