Correlation of the Subjective Hip Value with Validated Patient-Reported Outcome Measurements for the Hip
Abstract
1. Introduction
2. Materials and Methods
2.1. Inclusion Criteria
2.2. Exclusion Criteria
2.3. The Patients were Divided into Five Different Groups Depending on the Diagnosis
2.4. Statistics
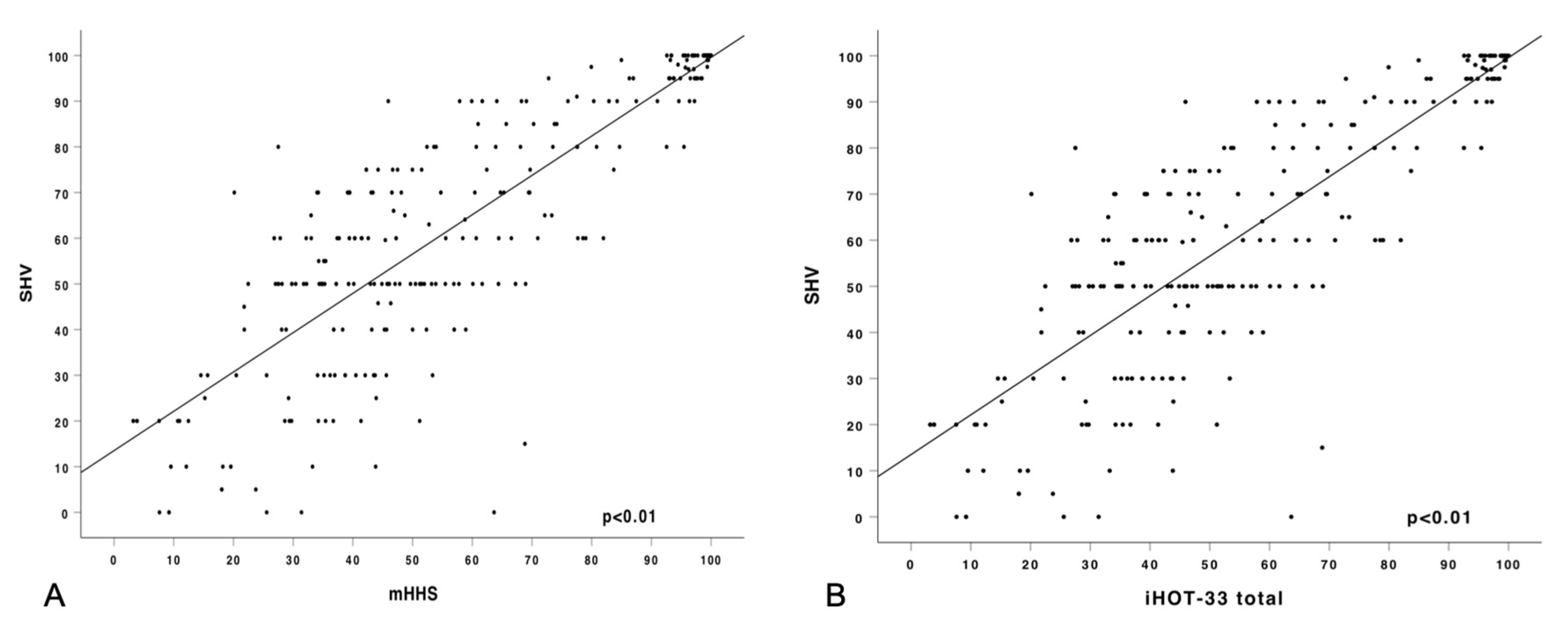
3. Results
4. Discussion
Limitations
5. Conclusions
Author Contributions
Funding
Acknowledgments
Conflicts of Interest
References
- Bryant, M.J.; Kernohan, W.G.; Nixon, J.R.; Mollan, R.A. A statistical analysis of hip scores. J. Bone Jt. Surg. Br. Vol. 1993, 75, 705–709. [Google Scholar] [CrossRef]
- Mohtadi, N.G.; Griffin, D.R.; Pedersen, M.E.; Chan, D.; Safran, M.R.; Parsons, N.; Sekiya, J.K.; Kelly, B.T.; Werle, J.R.; Leunig, M.; et al. The development and validation of a self-administered quality-of-life outcome measure for young, active patients with symptomatic hip disease: The International Hip Outcome Tool (iHOT-33). Arthroscopy 2012, 28, 595–605, quiz 606–610.e1. [Google Scholar] [CrossRef] [PubMed]
- Callaghan, J.J.; Dysart, S.H.; Savory, C.F.; Hopkinson, W.J. Assessing the results of hip replacement. A comparison of five different rating systems. J. Bone Jt. Surg. Br. Vol. 1990, 72, 1008–1009. [Google Scholar] [CrossRef]
- Harris, W.H. Traumatic arthritis of the hip after dislocation and acetabular fractures: Treatment by mold arthroplasty. An end-result study using a new method of result evaluation. J. Bone Jt. Surg. Am. 1969, 51, 737–755. [Google Scholar] [CrossRef]
- Kavanagh, B.F.; Fitzgerald, R.H., Jr. Clinical and roentgenographic assessment of total hip arthroplasty. A new hip score. Clin. Orthop. Relat. Res. 1985, 193, 133–140. [Google Scholar]
- Letournel, E.; Judet, R. Fractures of the Acetabulum; Springer: New York, NY, USA, 1993. [Google Scholar]
- Lazansky, M.G. A method for grading hips. J. Bone Jt. Surg. Br. Vol. 1967, 49, 644–651. [Google Scholar] [CrossRef]
- Mohtadi, N.; Pedersen, M.E.; Chan, D.S. Assessing outcomes after hip surgery. In Techniques in Hip Arthroscopy and Joint Pres–Ervation Surgery; Sekiya, J.K., Safran, M., Ranawat, A.S., Leunig, M., Eds.; Elsevier Saunders: Philadelphia, PA, USA, 2011; pp. 74–85. [Google Scholar]
- Bellamy, N.; Wells, G.; Campbell, J. Relationship between severity and clinical importance of symptoms in osteoarthritis. Clin. Rheumatol. 1991, 10, 138–143. [Google Scholar] [CrossRef]
- Hoeksma, H.L.; Van Den Ende, C.H.; Ronday, H.K.; Heering, A.; Breedveld, F.C. Comparison of the responsiveness of the Harris Hip Score with generic measures for hip function in osteoarthritis of the hip. Ann. Rheum. Dis. 2003, 62, 935–938. [Google Scholar] [CrossRef]
- Aprato, A.; Jayasekera, N.; Villar, R.N. Does the modified Harris hip score reflect patient satisfaction after hip arthroscopy? Am. J. Sports Med. 2012, 40, 2557–2560. [Google Scholar] [CrossRef]
- Wamper, K.E.; Sierevelt, I.N.; Poolman, R.W.; Bhandari, M.; Haverkamp, D. The Harris hip score: Do ceiling effects limit its usefulness in orthopedics? Acta Orthop. 2010, 81, 703–707. [Google Scholar] [CrossRef]
- Dawson, J.; Doll, H.; Fitzpatrick, R.; Jenkinson, C.; Carr, A.J. The routine use of patient reported outcome measures in healthcare settings. BMJ 2010, 340, c186. [Google Scholar] [CrossRef] [PubMed]
- Klassbo, M.; Larsson, E.; Mannevik, E. Hip disability and osteoarthritis outcome score. An extension of the Western Ontario and McMaster Universities Osteoarthritis Index. Scand. J. Rheumatol. 2003, 32, 46–51. [Google Scholar] [CrossRef]
- Martin, R.L.; Kelly, B.T.; Philippon, M.J. Evidence of validity for the hip outcome score. Arthroscopy 2006, 22, 1304–1311. [Google Scholar] [CrossRef] [PubMed]
- Byrd, J.W.; Jones, K.S. Hip arthroscopy in the presence of dysplasia. Arthroscopy 2003, 19, 1055–1060. [Google Scholar] [CrossRef]
- Thorborg, K.; Holmich, P.; Christensen, R.; Petersen, J.; Roos, E.M. The Copenhagen Hip and Groin Outcome Score (HAGOS): Development and validation according to the COSMIN checklist. Br. J. Sports Med. 2011, 45, 478–491. [Google Scholar] [CrossRef] [PubMed]
- Christensen, C.P.; Althausen, P.L.; Mittleman, M.A.; Lee, J.A.; McCarthy, J.C. The nonarthritic hip score: Reliable and validated. Clin. Orthop. Relat. Res. 2003, 75–83. [Google Scholar] [CrossRef]
- Katz, J.N.; Phillips, C.B.; Poss, R.; Harrast, J.J.; Fossel, A.H.; Liang, M.H.; Sledge, C.B. The validity and reliability of a Total Hip Arthroplasty Outcome Evaluation Questionnaire. J. Bone Jt. Surg. Am. 1995, 77, 1528–1534. [Google Scholar] [CrossRef]
- Koran, L.M. The reliability of clinical methods, data and judgments (first of two parts). N. Engl. J. Med. 1975, 293, 642–646. [Google Scholar] [CrossRef]
- Ramisetty, N.; Kwon, Y.; Mohtadi, N. Patient-reported outcome measures for hip preservation surgery-a systematic review of the literature. J. Hip Preserv. Surg. 2015, 2, 15–27. [Google Scholar] [CrossRef]
- Kemp, J.L.; Collins, N.J.; Makdissi, M.; Schache, A.G.; Machotka, Z.; Crossley, K. Hip arthroscopy for intra-articular pathology: A systematic review of outcomes with and without femoral osteoplasty. Br. J. Sports Med. 2012, 46, 632–643. [Google Scholar] [CrossRef]
- Nepple, J.J.; Zebala, L.P.; Clohisy, J.C. Labral disease associated with femoroacetabular impingement: Do we need to correct the structural deformity? J. Arthroplast. 2009, 24, 114–119. [Google Scholar] [CrossRef] [PubMed]
- Haviv, B.; Singh, P.J.; Takla, A.; O’Donnell, J. Arthroscopic femoral osteochondroplasty for cam lesions with isolated acetabular chondral damage. J. Bone Jt. Surg. Br. Vol. 2010, 92, 629–633. [Google Scholar] [CrossRef] [PubMed]
- Singh, P.J.; O’Donnell, J.M. The outcome of hip arthroscopy in Australian football league players: A review of 27 hips. Arthroscopy 2010, 26, 743–749. [Google Scholar] [CrossRef] [PubMed]
- Prather, H.; Hunt, D.; Fournie, A.; Clohisy, J.C. Early intra-articular hip disease presenting with posterior pelvic and groin pain. PM&R 2009, 1, 809–815. [Google Scholar] [CrossRef]
- Philippon, M.J.; Briggs, K.K.; Yen, Y.M.; Kuppersmith, D.A. Outcomes following hip arthroscopy for femoroacetabular impingement with associated chondrolabral dysfunction: Minimum two-year follow-up. J. Bone Jt. Surg. Br. Vol. 2009, 91, 16–23. [Google Scholar] [CrossRef]
- Larson, C.M.; Giveans, M.R. Arthroscopic management of femoroacetabular impingement: Early outcomes measures. Arthroscopy 2008, 24, 540–546. [Google Scholar] [CrossRef]
- Freedman, B.A.; Potter, B.K.; Dinauer, P.A.; Giuliani, J.R.; Kuklo, T.R.; Murphy, K.P. Prognostic value of magnetic resonance arthrography for Czerny stage II and III acetabular labral tears. Arthroscopy 2006, 22, 742–747. [Google Scholar] [CrossRef]
- Philippon, M.J.; Wolff, A.B.; Briggs, K.K.; Zehms, C.T.; Kuppersmith, D.A. Acetabular rim reduction for the treatment of femoroacetabular impingement correlates with preoperative and postoperative center-edge angle. Arthroscopy 2010, 26, 757–761. [Google Scholar] [CrossRef]
- Streich, N.A.; Gotterbarm, T.; Barie, A.; Schmitt, H. Prognostic value of chondral defects on the outcome after arthroscopic treatment of acetabular labral tears. Knee Surg. Sports Traumatol. Arthrosc. 2009, 17, 1257–1263. [Google Scholar] [CrossRef]
- Tzaveas, A.P.; Villar, R.N. Arthroscopic repair of acetabular chondral delamination with fibrin adhesive. Hip Int. 2010, 20, 115–119. [Google Scholar] [CrossRef]
- Kamath, A.F.; Componovo, R.; Baldwin, K.; Israelite, C.L.; Nelson, C.L. Hip arthroscopy for labral tears: Review of clinical outcomes with 4.8-year mean follow-up. Am. J. Sports Med. 2009, 37, 1721–1727. [Google Scholar] [CrossRef] [PubMed]
- Byrd, J.W.; Jones, K.S. Prospective analysis of hip arthroscopy with 2-year follow-up. Arthroscopy 2000, 16, 578–587. [Google Scholar] [CrossRef] [PubMed]
- Domb, B.G.; Martin, T.J.; Gui, C.; Chandrasekaran, S.; Suarez-Ahedo, C.; Lodhia, P. Predictors of clinical outcomes after hip arthroscopy: A prospective analysis of 1038 patients with 2-year follow-up. Am. J. Sports Med. 2018, 46, 1324–1330. [Google Scholar] [CrossRef]
- Byrd, J.W.; Jones, K.S. Traumatic rupture of the ligamentum teres as a source of hip pain. Arthroscopy 2004, 20, 385–391. [Google Scholar] [CrossRef]
- Byrd, J.W.; Jones, K.S. Hip arthroscopy in athletes: 10-year follow-up. Am. J. Sports Med. 2009, 37, 2140–2143. [Google Scholar] [CrossRef] [PubMed]
- Byrd, J.W.; Jones, K.S. Hip arthroscopy for labral pathology: Prospective analysis with 10-year follow-up. Arthroscopy 2009, 25, 365–368. [Google Scholar] [CrossRef]
- Kayani, B.; Konan, S.; Chandramohan, R.; Haddad, F.S. The direct superior approach in total hip arthroplasty. Br. J. Hosp. Med. (Lond.) 2019, 80, 320–324. [Google Scholar] [CrossRef]
- Valier, A.R.; Jennings, A.L.; Parsons, J.T.; Vela, L.I. Benefits of and barriers to using patient-rated outcome measures in athletic training. J. Athl. Train. 2014, 49, 674–683. [Google Scholar] [CrossRef]
- Gilbart, M.K.; Gerber, C. Comparison of the subjective shoulder value and the Constant score. J. Shoulder Elb. Surg. 2007, 16, 717–721. [Google Scholar] [CrossRef]
- Zingg, P.O.; Ulbrich, E.J.; Buehler, T.C.; Kalberer, F.; Poutawera, V.R.; Dora, C. Surgical hip dislocation versus hip arthroscopy for femoroacetabular impingement: Clinical and morphological short-term results. Arch. Orthop. Trauma Surg. 2013, 133, 69–79. [Google Scholar] [CrossRef]
- Schroeder, J.H.; Hufeland, M.; Schutz, M.; Haas, N.P.; Perka, C.; Krueger, D.R. Injectable autologous chondrocyte transplantation for full thickness acetabular cartilage defects: Early clinical results. Arch. Orthop. Trauma Surg. 2016, 136, 1445–1451. [Google Scholar] [CrossRef] [PubMed]
- Krueger, D.R.; Gesslein, M.; Schuetz, M.; Perka, C.; Schroeder, J.H. Injectable autologous chondrocyte implantation (ACI) in acetabular cartilage defects-three-year results. J. Hip Preserv. Surg. 2018, 5, 386–392. [Google Scholar] [CrossRef] [PubMed]
- Kirschbaum, S.M.; Sitterlee, F.; Perka, C.; Muller, M. Mini-open approach shows good results in treatment of Femoroacetabular impingement. Z Orthop. Unfall. 2017, 155, 209–219. [Google Scholar] [CrossRef] [PubMed]
- Rahm, S.; Tondelli, T.; Steinmetz, S.; Schenk, P.; Dora, C.; Zingg, P.O. Uncemented total hip arthroplasty through the direct anterior approach: Analysis of a consecutive series of 275 hips with a minimum follow-up of 10 years. J. Arthroplast. 2019, 34, 1132–1138. [Google Scholar] [CrossRef]
- Schroder, J.H.; Gesslein, M.; Schutz, M.; Perka, C.; Kruger, D. Open repair of gluteus medius and minimus tendons tears with double-row technique: Clinical and radiological results. Orthopade 2018, 47, 238–245. [Google Scholar] [CrossRef]
- Schroder, J.H.; Gesslein, M.; Schutz, M.; Perka, C.; Kruger, D.R. Minimally invasive proximal hamstring insertion repair. Oper. Orthop. Traumatol. 2018, 30, 419–434. [Google Scholar] [CrossRef]
- Niehaus, R.; Zingg, P.O.; Luttenberger, M.; Dora, C. Hip arthroscopy versus total hip arthroplasty in patients above 40 differences: Outcome and residual complain. Eur. J. Orthop. Surg. Traumatol. 2020. [Google Scholar] [CrossRef]
- Hufeland, M.; Kruger, D.; Haas, N.P.; Perka, C.; Schroder, J.H. Arthroscopic treatment of femoroacetabular impingement shows persistent clinical improvement in the mid-term. Arch. Orthop. Trauma Surg. 2016, 136, 687–691. [Google Scholar] [CrossRef]
- Kellgren, J.H.; Lawrence, J.S. Radiological assessment of osteo-arthrosis. Ann. Rheum. Dis. 1957, 16, 494–502. [Google Scholar] [CrossRef]
- Tannast, M.; Hanke, M.S.; Zheng, G.; Steppacher, S.D.; Siebenrock, K.A. What are the radiographic reference values for acetabular under- and overcoverage? Clin. Orthop. Relat. Res. 2015, 473, 1234–1246. [Google Scholar] [CrossRef]
- Gardeniers, J. A new international classification of osteonecrosis of the “ARCO committee on terminology and classification”. ARCO Newslet. 1992, 4, 41–46. [Google Scholar]
- Ochsner, P.E.; Borens, O.; Bodler, P.-M. Infections of the Musculoskeletal System: Basic Principles, Prevention, Diagnosis and Treatment; Swiss Orthopaedics in-House-Publisher: Grandvaux, Switzerland, 2014. [Google Scholar]
- Portillo, M.E.; Salvado, M.; Trampuz, A.; Plasencia, V.; Rodriguez-Villasante, M.; Sorli, L.; Puig, L.; Horcajada, J.P. Sonication versus vortexing of implants for diagnosis of prosthetic joint infection. J. Clin. Microbiol. 2013, 51, 591–594. [Google Scholar] [CrossRef] [PubMed]
- Krenn, V.; Morawietz, L.; Perino, G.; Kienapfel, H.; Ascherl, R.; Hassenpflug, G.J.; Thomsen, M.; Thomas, P.; Huber, M.; Kendoff, D.; et al. Revised histopathological consensus classification of joint implant related pathology. Pathol. Res. Pract. 2014, 210, 779–786. [Google Scholar] [CrossRef] [PubMed]
- Hipfl, C.; Winkler, T.; Janz, V.; Perka, C.; Muller, M. Management of chronically infected total knee Arthroplasty with severe bone loss using static spacers with intramedullary rods. J. Arthroplast. 2019, 34, 1462–1469. [Google Scholar] [CrossRef]
- Startzman, A.; Collins, D.; Carreira, D. A systematic literature review of synovial chondromatosis and pigmented villonodular synovitis of the hip. Physician Sportsmed. 2016, 44, 425–431. [Google Scholar] [CrossRef]
- Ottaviani, S.; Ayral, X.; Dougados, M.; Gossec, L. Pigmented villonodular synovitis: A retrospective single-center study of 122 cases and review of the literature. Semin. Arthritis Rheum. 2011, 40, 539–546. [Google Scholar] [CrossRef]
- Baumann, F.; Weber, J.; Zeman, F.; Muller, M.; Lahner, M.; Nerlich, M.; Fickert, S. Validation of a German version of the International Hip Outcome Tool (G-iHOT33) according to the COSMIN checklist: How much improvement is clinically relevant? Arch. Orthop. Trauma Surg. 2016, 136, 83–91. [Google Scholar] [CrossRef]
- Stone, A.V.; Jacobs, C.A.; Luo, T.D.; Meadows, M.C.; Nho, S.J.; Stubbs, A.J.; Makhni, E.C. High degree of variability in reporting of clinical and patient-reported outcomes after hip arthroscopy. Am. J. Sports Med. 2018, 46, 3040–3046. [Google Scholar] [CrossRef]
- McHorney, C.A.; Tarlov, A.R. Individual-patient monitoring in clinical practice: Are available health status surveys adequate? Qual. Life Res. 1995, 4, 293–307. [Google Scholar] [CrossRef]
- Blonna, D.; Bellato, E.; Caranzano, F.; Bonasia, D.E.; Marmotti, A.; Rossi, R.; Castoldi, F. Validity and reliability of the SPORTS score for shoulder instability. Joints 2014, 2, 59–65. [Google Scholar] [CrossRef]


| N = | Age (Range) Years | Gender f/m | |
|---|---|---|---|
| Osteoarthritis | 58 | 66 (35–87) | 27/31 |
| Femoroacetabular impingement (FAI) | 65 | 41 (18–65) | 27/38 |
| Dysplasia | 56 | 28 (18–44) | 38/18 |
| Others | 53 | 59 (24–92) | 33/20 |
| Control | 70 | 30 (20–77) | 39/31 |
| Total | 302 | 44 (18–92) | 164/138 |
| mHHS | iHOT-33 Total | |||||
|---|---|---|---|---|---|---|
| Group | r = | r2 = | p = | r = | r2 = | p = |
| Osteoarthritis | 0.711 | 0.506 | 0.001 | 0.653 | 0.426 | 0.001 |
| FAI | 0.716 | 0.513 | 0.001 | 0.746 | 0.557 | 0.001 |
| Dysplasia | 0.669 | 0.448 | 0.001 | 0.753 | 0.567 | 0.001 |
| Others | 0.758 | 0.575 | 0.001 | 0.755 | 0.570 | 0.001 |
| Healthy | 0.539 | 0.291 | 0.001 | 0.777 | 0.604 | 0.001 |
| Total | 0.832 | 0.692 | 0.001 | 0.847 | 0.717 | 0.001 |
| iHOT-33 SFL | iHOT-33 SRA | iHOT-33 JRC | iHOT-33 ELC | |||||||||
|---|---|---|---|---|---|---|---|---|---|---|---|---|
| Group | r = | r2 = | p = | r = | r2 = | p = | r = | r2 = | p = | r = | r2 = | p = |
| Osteoarthritis | 0.633 | 0.401 | 0.001 | 0.318 | 0.101 | 0.015 | 0.356 | 0.127 | 0.006 | 0.438 | 0.192 | 0.001 |
| FAI | 0.691 | 0.477 | 0.001 | 0.570 | 0.325 | 0.001 | 0.325 | 0.106 | 0.009 | 0.620 | 0.384 | 0.001 |
| Dysplasia | 0.734 | 0.539 | 0.001 | 0.590 | 0.348 | 0.001 | 0.344 | 0.118 | 0.010 | 0.537 | 0.288 | 0.001 |
| Others | 0.696 | 0.484 | 0.001 | 0.723 | 0.523 | 0.001 | 0.471 | 0.222 | 0.001 | 0.587 | 0.345 | 0.001 |
| Healthy | 0.380 | 0.144 | 0.001 | 0.506 | 0.256 | 0.001 | 0.160 | 0.026 | 0.188 | 0.552 | 0.305 | 0.001 |
| Total | 0.821 | 0.674 | 0.001 | 0.720 | 0.518 | 0.001 | 0.590 | 0.348 | 0.001 | 0.707 | 0.500 | 0.001 |
© 2020 by the authors. Licensee MDPI, Basel, Switzerland. This article is an open access article distributed under the terms and conditions of the Creative Commons Attribution (CC BY) license (http://creativecommons.org/licenses/by/4.0/).
Share and Cite
Krueger, D.R.; Leopold, V.J.; Schroeder, J.H.; Perka, C.; Hardt, S. Correlation of the Subjective Hip Value with Validated Patient-Reported Outcome Measurements for the Hip. J. Clin. Med. 2020, 9, 2179. https://doi.org/10.3390/jcm9072179
Krueger DR, Leopold VJ, Schroeder JH, Perka C, Hardt S. Correlation of the Subjective Hip Value with Validated Patient-Reported Outcome Measurements for the Hip. Journal of Clinical Medicine. 2020; 9(7):2179. https://doi.org/10.3390/jcm9072179
Chicago/Turabian StyleKrueger, David R., Vincent J. Leopold, Joerg H. Schroeder, Carsten Perka, and Sebastian Hardt. 2020. "Correlation of the Subjective Hip Value with Validated Patient-Reported Outcome Measurements for the Hip" Journal of Clinical Medicine 9, no. 7: 2179. https://doi.org/10.3390/jcm9072179
APA StyleKrueger, D. R., Leopold, V. J., Schroeder, J. H., Perka, C., & Hardt, S. (2020). Correlation of the Subjective Hip Value with Validated Patient-Reported Outcome Measurements for the Hip. Journal of Clinical Medicine, 9(7), 2179. https://doi.org/10.3390/jcm9072179

