The Vascular Side of Chronic Bed Rest: When a Therapeutic Approach Becomes Deleterious
Abstract
1. Introduction
2. Methods
2.1. Participants
2.2. Study Overview
2.3. Blood Sample Collection
2.4. NO Bioavailability via Plasma Nitrates Assessments
2.5. NO-Bioavailability via sPLM
2.6. Immunoassay Protein Analysis
2.7. Total Hemoglobin in Microcirculation Via Near-infrared Spectroscopy During sPLM Test
2.8. Statistical Analysis
3. Results
3.1. Subjects Characteristics
3.2. NO-bioavailability
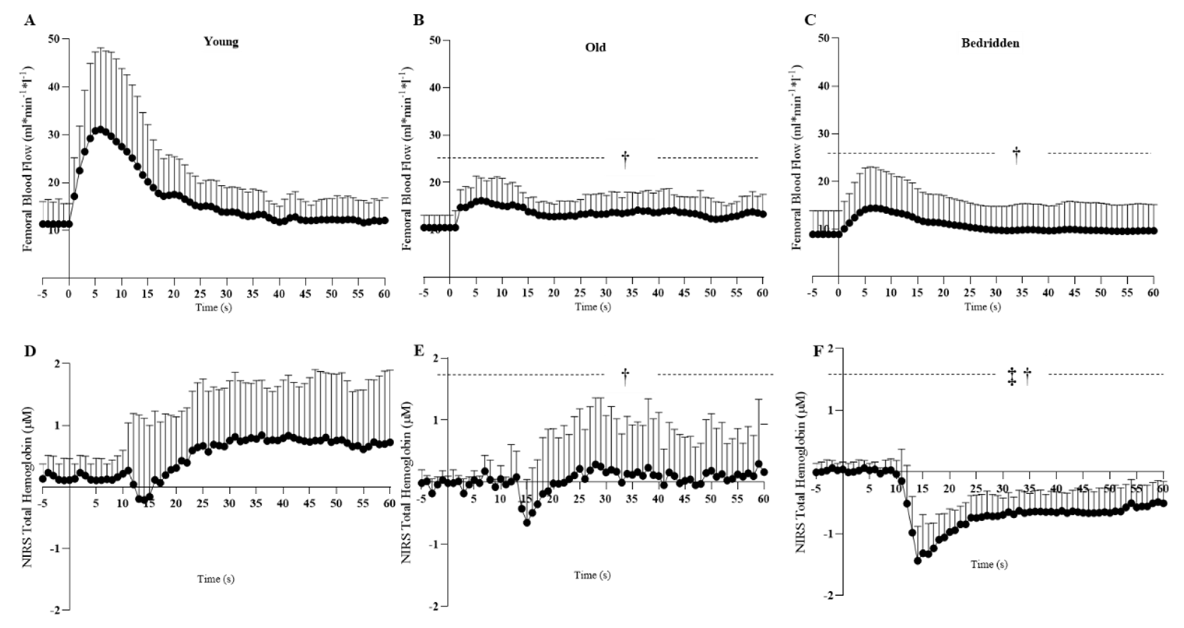
3.3. Circulation and Microcirculation
3.4. Serum Inflammatory Profiles
4. Discussion
4.1. Evidence That Physical Constraint Affects NO-Bioavailability
4.2. Evidence That Chronic Physical Constraint Affects Circulation and Microcirculation
4.3. Evidence That Physical Constraint Affects Vascular-Related Inflammatory Profile
4.4. Physiological Considerations on Aging and Physical Constraint
4.5. The Importance of Shear-Rate during Aging and Physical Constraint
5. Conclusions
Author Contributions
Funding
Acknowledgments
Conflicts of Interest
References
- Puca, A.A.; Carrizzo, A.; Villa, F.; Ferrario, A.; Casaburo, M.; Maciag, A.; Vecchione, C. Vascular ageing: The role of oxidative stress. Int. J. Biochem. Cell Boil. 2013, 45, 556–559. [Google Scholar] [CrossRef]
- Yu, H.; Huang, G.P.; Yang, Z.; Liang, F.; Ludwig, B. The Influence of Normal and Early Vascular Aging on Hemodynamic Characteristics in Cardio- and Cerebrovascular Systems. J. Biomech. Eng. 2016, 138, 061002. [Google Scholar] [CrossRef] [PubMed]
- Harvey, A.P.; Montezano, A.C.; Touyz, R.M. Vascular biology of ageing-Implications in hypertension. J. Mol. Cell. Cardiol. 2015, 83, 112–121. [Google Scholar] [CrossRef] [PubMed]
- Ungvari, Z.; Kaley, G.; De Cabo, R.; Sonntag, W.E.; Csiszar, A. Mechanisms of vascular aging: New perspectives. J. Gerontol. Ser. A Boil. Sci. Med. Sci. 2010, 65, 1028–1041. [Google Scholar] [CrossRef] [PubMed]
- Walsh, K.; Roberts, J.; Bennett, G. Mobility in old age. Gerodontology 1999, 16, 69–74. [Google Scholar] [CrossRef]
- Booth, F.W.; Chakravarthy, M.V.; Gordon, S.E.; Spangenburg, E.E. Waging was on physical inactivity: Using modern molecular ammunition against an acient enemy. J Appl. Physiol. 2002, 93, 3–30. [Google Scholar] [CrossRef]
- Toda, N. Age-related changes in endothelial function and blood flow regulation. Pharmacol. Ther. 2012, 133, 159–176. [Google Scholar] [CrossRef]
- Tinken, T.M.; Thijssen, D.H.J.; Hopkins, N.; Dawson, E.A.; Cable, N.; Green, D.J. Shear Stress Mediates Endothelial Adaptations to Exercise Training in Humans. Hypertension 2010, 55, 312–318. [Google Scholar] [CrossRef]
- Winkelman, C. Bed rest in health and critical illness: A body systems approach. AACN Adv. Crit. Care 2009, 20, 254–266. [Google Scholar] [CrossRef]
- Ferrando, A.A.; Paddon-Jones, D.; Wolfe, R.R. Bed rest and myopathies. Curr. Opin. Clin. Nutr. Metab. Care 2006, 9, 410–415. [Google Scholar] [CrossRef]
- Bloomfield, S.A. Changes in musculosleletal structure and function with prolonged bed rest. Med. Sci. Sport. Exerc. Med. Sci. Sports Exerc. 1997, 29, 197–206. [Google Scholar] [CrossRef] [PubMed]
- Sonne, M.P.; Højbjerre, L.; Alibegovic, A.C.; Nielsen, L.B.; Stallknecht, B.M.; Vaag, A.A.; Dela, F. Endothelial function after 10 days of bed rest in individuals at risk for type 2 diabetes and cardiovascular disease. Exp. Physiol. 2011, 96, 1000–1009. [Google Scholar] [CrossRef] [PubMed]
- Demiot, C.; Dignat-George, F.; Fortrat, J.-O.; Sabatier, F.; Gharib, C.; Larina, I.; Gauquelin-Koch, G.; Hughson, R.L.; Custaud, M.-A. WISE 2005: Chronic bed rest impairs microcirculatory endothelium in women. Am. J. Physiol. Circ. Physiol. 2007, 293, H3159–H3164. [Google Scholar] [CrossRef] [PubMed]
- Layec, G.; Venturelli, M.; Jeong, E.-K.; Richardson, R.S. The validity of anthropometric leg muscle volume estimation across a wide spectrum: From able-bodied adults to individuals with a spinal cord injury. J. Appl. Physiol. 2014, 116, 1142–1147. [Google Scholar] [CrossRef]
- Broxterman, R.M.; Trinity, J.D.; Gifford, J.R.; Kwon, O.S.; Kithas, A.C.; Hydren, J.R.; Nelson, A.D.; Morgan, D.E.; Jessop, J.E.; Bledsoe, A.D.; et al. Single passive leg movement assessment of vascular function: Contribution of nitric oxide. J. Appl. Physiol. 2017, 123, 1468–1476. [Google Scholar] [CrossRef]
- Trinity, J.D.; Richardson, R.S. Physiological Impact and Clinical Relevance of Passive Exercise/Movement. Sports Med. 2019, 49, 1365–1381. [Google Scholar] [CrossRef]
- Venturelli, M.; Pedrinolla, A.; Boscolo Galazzo, I.; Fonte, C.; Smania, N.; Tamburin, S.; Muti, E.; Crispoltoni, L.; Magliozzi, R.; Howell, O.W.; et al. Inflammatory intrathecal profiles and cortical damage in multiple sclerosis. Ann. Neurol. 2018, 83, 739–755. [Google Scholar]
- De Roia, G.; Pogliaghi, S.; Adami, A.; Papadopoulou, C.; Capelli, C. Effects of priming exercise on the speed of adjustment of muscle oxidative metabolism at the onset of moderate-intensity step transitions in older adults. Am. J. Physiol. Integr. Comp. Physiol. 2012, 302, R1158–R1166. [Google Scholar] [CrossRef]
- Massimo, V.; Anna, P.; Ilaria, B.G.; Cristina, F.; Nicola, S.; Stefano, T.; Ettore, M.; Lucia, C.; Annamaria, S.; Alessandra, P.; et al. Impact of nitric oxide bioavailability on the progressive cerebral and peripheral circulatory impairments during aging and Alzheimer’s disease. Front. Physiol. 2018, 9, 169. [Google Scholar]
- Pedrinolla, A.; Schena, F.; Venturelli, M. Resilience to Alzheimer’s Disease: The Role of Physical Activity. Curr. Alzheimer Res. 2017, 546–553. [Google Scholar] [CrossRef]
- Katusic, Z.S.; Austin, S.A. Endothelial nitric oxide: Protector of a healthy mind. Eur. Hear. J. 2013, 35, 888–894. [Google Scholar] [CrossRef] [PubMed]
- Nyberg, M.; Blackwell, J.R.; Damsgaard, R.; Jones, A.M.; Hellsten, Y.; Mortensen, S. Lifelong physical activity prevents an age-related reduction in arterial and skeletal muscle nitric oxide bioavailability in humans. J. Physiol. 2012, 590, 5361–5370. [Google Scholar] [CrossRef] [PubMed]
- Nosova, E.V.; Yen, P.; Chong, K.C.; Alley, H.F.; Stock, E.O.; Quinn, A.; Hellmann, J.; Conte, M.S.; Owens, C.D.; Spite, M.; et al. Short-term physical inactivity impairs vascular function. J. Surg. Res. 2014, 190, 672–682. [Google Scholar] [CrossRef] [PubMed]
- Thijssen, D.H.J.; Green, D.J.; Hopman, M.T.E. Blood vessel remodeling and physical inactivity in humans. J. Appl. Physiol. 2011, 111, 1836–1845. [Google Scholar] [CrossRef] [PubMed]
- Nicotra, A.; Asahina, M.; Mathias, C.J. Skin vasodilator response to local heating in human chronic spinal cord injury. Eur. J. Neurol. 2004, 11, 835–837. [Google Scholar] [CrossRef] [PubMed]
- Kawashima, N.; Nakazawa, K.; Akai, M. Muscle Oxygenation of the Paralyzed Lower Limb in Spinal Cord-Injured Persons. Med. Sci. Sports Exerc. 2005, 37, 915–921. [Google Scholar] [CrossRef]
- Bleeker, M.W.P.; De Groot, P.C.E.; Rongen, G.A.; Rittweger, J.; Felsenberg, D.; Smits, P.; Hopman, M.T.E.; Rittweger, J. Vascular adaptation to deconditioning and the effect of an exercise countermeasure: Results of the Berlin Bed Rest study. J. Appl. Physiol. 2005, 99, 1293–1300. [Google Scholar] [CrossRef]
- Zafeiridis, A.; Vasiliadis, A.V.; Doumas, A.; Galanis, N.; Christoforidis, T.; Kyparos, A.; Nikolaidis, M.G.; Dipla, K.; Vrabas, I.S. Muscle perfusion of posterior trunk and lower-limb muscles at rest and during upper-limb exercise in spinal cord-injured and able-bodied individuals. Spinal Cord 2012, 50, 822–826. [Google Scholar] [CrossRef][Green Version]
- Biolo, G.; Di Girolamo, F.G.; McDonnell, A.C.; Fiotti, N.; Mearelli, F.; Situlin, R.; Gonelli, A.; Dapas, B.; Giordano, M.; Lainscak, M.; et al. Effects of Hypoxia and Bed Rest on Markers of Cardiometabolic Risk: Compensatory Changes in Circulating TRAIL and Glutathione Redox Capacity. Front. Physiol. 2018, 9, 1000. [Google Scholar] [CrossRef]
- Flynn, M.G.; Markofski, M.M.; Carrillo, A.E. Elevated Inflammatory Status and Increased Risk of Chronic Disease in Chronological Aging: Inflamm-aging or Inflamm-inactivity? Aging Dis. 2019, 10, 147–156. [Google Scholar] [CrossRef]
- Jonveaux, T.R.; Batt, M.; Fescharek, R.; Benetos, A.; Trognon, A.; Bah Chuzeville, S.; Pop, A.; Jacob, C.; Yzoard, M.; Demarche, L.; et al. Healing Gardens and Cognitive Behavioral Units in the Management of Alzheimer’s Disease Patients: The Nancy Experience. J. Alzheimers Dis. 2013, 34, 325–338. [Google Scholar] [CrossRef] [PubMed]
- Kehler, D.S.; Theou, O.; Rockwood, K. Bed rest and accelerated aging in relation to the musculoskeletal and cardiovascular systems and frailty biomarkers: A review. Exp. Gerontol. 2019, 124, 110643. [Google Scholar] [CrossRef] [PubMed]



| Characteristic | Young (n = 28) | Old (n = 36) | Bedridden (n = 34) |
|---|---|---|---|
| Age - years | 23 ± 3 | 85 ± 7 2 | 88 ± 6 2 |
| Female - n (%) | 28 (100) | 25 (70) 2 | 22 (55) 2 |
| Bedridden - years | 0 | 0 | 3.8 ± 2.3 2,3 |
| Weight - kg | 60 ± 10 | 65 ± 12 | 61 ± 15 |
| Height - m | 1.6 ± 0.3 | 1.6 ± 0.4 | 1.6 ± 0.6 |
| BMI - kg·m−2 | 22.8 ± 1.8 | 24.3 ± 4.3 | 25.2 ± 6.0 2 |
| Tight volume - L | 8.4 ±1.5 | 8.1 ± 1.7 | 6.7 ± 1.3 2,3 |
| Comorbidities | |||
| Number of comorbidities per individual | 0 | 3 ± 1 2 | 4.0 ± 1 2,3 |
| Cardiovascular Disease - n (%) | 0 | 2 (6) 2 | 4 (12) 2,3 |
| Diabetes - n (%) | 0 | 4 (12) 2 | 3 (9) 2 |
| Arthrosis- n (%) | 0 | 3 (9) 2 | 4 (12) 2 |
| Pharmacological Treatment | |||
| Number of medications per individual | 0 | 1 ± 0.5 2 | 4.2 ± 2.22,3 |
| Antihypertensive - n (%) | 0 | 4 (12) | 8 (24) 2,3 |
| Cardiological medication – n (%) | 0 | 2 (6) | 3 (9) 3 |
| Antipsychotics - n (%) | 0 | 0 | 6 (18) 2,3 |
| Antidepressant - n (%) | 0 | 0 | 11 (32) 2,3 |
| Benzodiazepines – n (%) | 0 | 2 (6) 2 | 7 (20) 2,3 |
| Variable | Young (n = 28) | Old (n = 36) | Bedridden (n = 34) |
|---|---|---|---|
| Nitrates - µM | 49.5 (38.1–62.4) | 44.8 (34.7–56.8) | 34.1 (23.8–40.9) 2,3 |
| Values at rest | |||
| Femoral artery diameter - cm | 0.79 (0.73–0.83) | 0.78 (0.73–0.83) | 0.58 (0.50–0.70) 2,3 |
| Femoral Blood Flow - mL·min−1·L−1 | 43.5 (29.5–51.4) | 37.2 (24.1–49.1) | 29.7 (20.7–36.1) 2,3 |
| Femoral artery shear-rate – s−1 | 709 (539–876) | 609 (394–701) | 452(264–505) 2,3 |
| Total Hemoglobin - µM 4 | 41.2 (35.9–62.4) | 26.4 (14.2–51.8) | 22.7 (11.4–25.7) 2 |
| sPLM-induced hyperemia | |||
| Blood Flow ∆Peak - mL·min−1·L−1 | 65.2 (28.7–114.9) | 39.7 (10.5–56.4) 2 | 10.9 (5.8–16.8) 2,3 |
| Blood Flow AUC - AU | 105.8 (57.3–265.5) | 17.5 (-2.3–67.7) 2 | 2.3 (−11.5–13.3) 2 |
| Total Hemoglobin ∆Peak -µM 4 | 1.5 (1.3–2.5) | 0.2 (−0.2–0.9) | −0.5 (−0.6–0.02) 2 |
| Total Hemoglobin AUC- AU 4 | 39.0 (25.9–89.1) | −9.4 (−29.6–30.1) | −48.9 (−51.9–−26.5) 2 |
| Inflammatory profile | |||
| TNF-α - pg·mL−1 | 33.2 (22.8–39.4) | 35.6 (23.5–42.8) | 19.7 (18.2–28.1) 2,3 |
| IL-1β - pg·mL−1 | 0.79 (0.5–0.9) | 0.57 (0.4–1.1) | 1.17 (1.1–1.4) 2,3 |
| IL-6 - pg·mL−1 | 2.7 (1.0–4.9) | 1.9 (1.9–3.9) | 2.7 (2.5–3.1) |
| IL-8 - pg·mL−1 | 10.1 (6.8–14.5) | 13.1 (8.9–15.3) | 6.4 (5.7–9.2) 3 |
| IFN-γ - pg·mL−1 | 0.82 (0.2–2.7) | 3.15 (1.1–9.8) | 7.79 (7.2–7.9) 3 |
| GM-CSF - pg·mL−1 | 0.92 (0.36–2.36) | 1.51 (1.2–2.1) | 3.20 (2.9–3.3) 2,3 |
| PDGF - pg·mL−1 | 160.9 (52.7–331.1) | 267.7 (125.1–312.3) | 9.7 (7.4–70.2) 2,3 |
| RANTES - pg·mL−1 | 16,159 (10,162–22,262) | 21,612 (16,470–23,046) | 33.9 (28.1–35.5) 2,3 |
© 2020 by the authors. Licensee MDPI, Basel, Switzerland. This article is an open access article distributed under the terms and conditions of the Creative Commons Attribution (CC BY) license (http://creativecommons.org/licenses/by/4.0/).
Share and Cite
Pedrinolla, A.; Colosio, A.L.; Magliozzi, R.; Danese, E.; Kirmizi, E.; Rossi, S.; Pogliaghi, S.; Calabrese, M.; Gelati, M.; Muti, E.; et al. The Vascular Side of Chronic Bed Rest: When a Therapeutic Approach Becomes Deleterious. J. Clin. Med. 2020, 9, 918. https://doi.org/10.3390/jcm9040918
Pedrinolla A, Colosio AL, Magliozzi R, Danese E, Kirmizi E, Rossi S, Pogliaghi S, Calabrese M, Gelati M, Muti E, et al. The Vascular Side of Chronic Bed Rest: When a Therapeutic Approach Becomes Deleterious. Journal of Clinical Medicine. 2020; 9(4):918. https://doi.org/10.3390/jcm9040918
Chicago/Turabian StylePedrinolla, Anna, Alessandro L. Colosio, Roberta Magliozzi, Elisa Danese, Emine Kirmizi, Stefania Rossi, Silvia Pogliaghi, Massimiliano Calabrese, Matteo Gelati, Ettore Muti, and et al. 2020. "The Vascular Side of Chronic Bed Rest: When a Therapeutic Approach Becomes Deleterious" Journal of Clinical Medicine 9, no. 4: 918. https://doi.org/10.3390/jcm9040918
APA StylePedrinolla, A., Colosio, A. L., Magliozzi, R., Danese, E., Kirmizi, E., Rossi, S., Pogliaghi, S., Calabrese, M., Gelati, M., Muti, E., Cè, E., Longo, S., Esposito, F., Lippi, G., Schena, F., & Venturelli, M. (2020). The Vascular Side of Chronic Bed Rest: When a Therapeutic Approach Becomes Deleterious. Journal of Clinical Medicine, 9(4), 918. https://doi.org/10.3390/jcm9040918

