Loop Diuretic Administration in Patients with Acute Heart Failure and Reduced Systolic Function: Effects of Different Intravenous Diuretic Doses and Diuretic Response Measurements
Abstract
1. Introduction
2. Methods
2.1. Study Design
2.2. Definitions
2.3. Follow-Up
2.4. Laboratory Analysis
2.5. Statistical Analysis
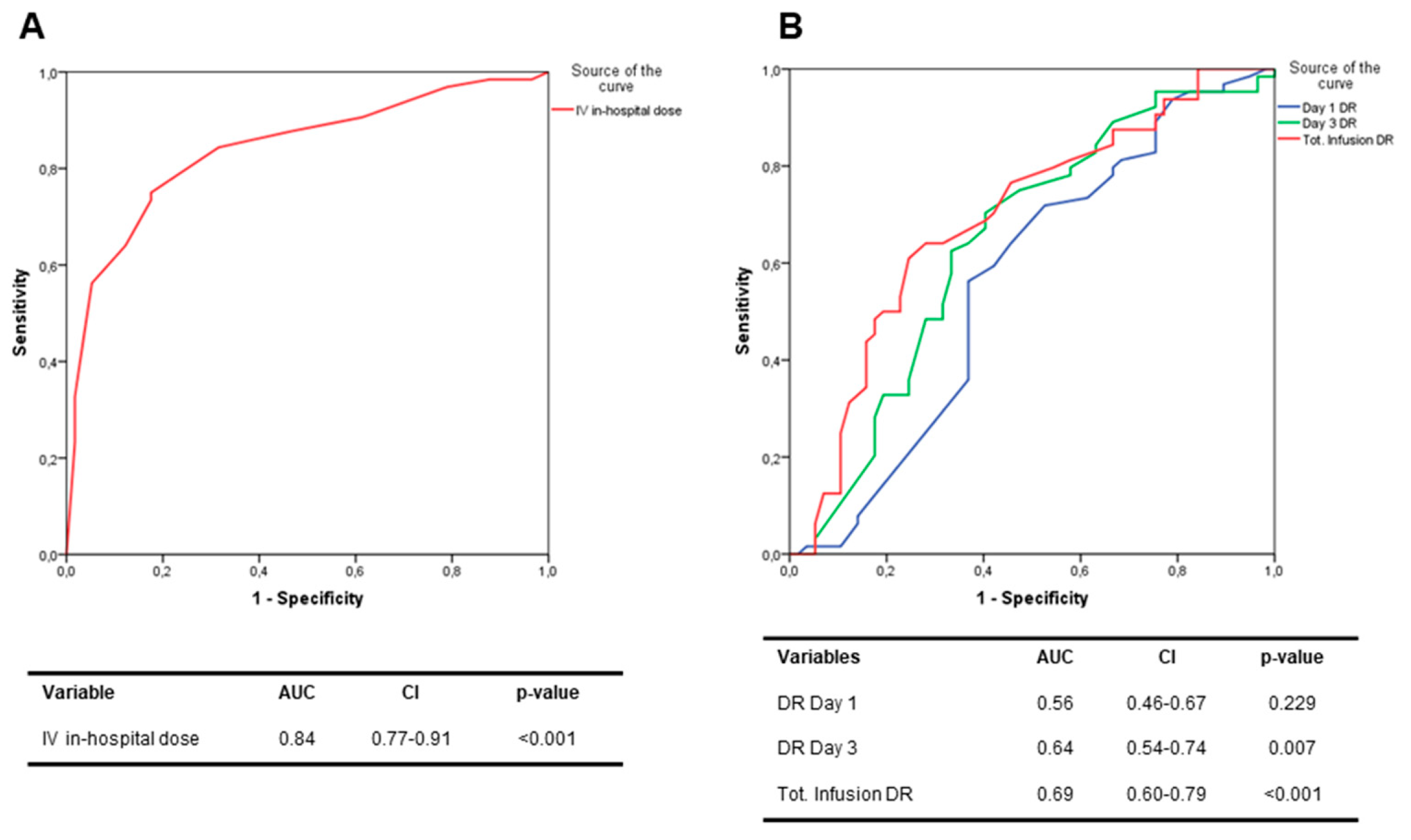
3. Results
4. Discussion
Limitations
5. Conclusions
Author Contributions
Acknowledgments
Conflicts of Interest
Ethical Statement
Abbreviations
| ADHERE | Acute Decompensated Heart Failure National Registry |
| AHF | Acute heart failure |
| ALARM-HF | Acute Heart Failure Global Registry of Standard Treatment |
| BNP | B-type natriuretic peptide |
| cIV | Continuous intravenous infusion |
| CKD | Chronic kidney disease |
| DOSE | Diuretic strategies in acute decompensated heart failure |
| DR | Diuretic response |
| eGFR | Estimated glomerular filtration rate; |
| ESCAPE | Evaluation Study of Congestive Heart Failure and Pulmonary Artery Catheterization Effectiveness |
| HD | High dose |
| HF | Heart failure |
| iIV | Intermittent intravenous infusion |
| IQR | Interquartile range |
| IV | Intravenous |
| LD | Low dose |
| MDRD | Modification of diet in renal disease |
| PROTECT | Placebo-controlled randomized study of the selective A(1) adenosine receptor antagonist rolofylline |
| RELAX-AHF | Relaxin in acute heart failure |
| ROC | Receiving operating characteristics |
| WRF | Worsening renal function |
References
- Felker, G.M.; O’Connor, C.M.; Braunwald, E. Loop diuretics in acute decompensated heart failure: Necessary? Evil? A necessary evil? Circ. Heart Fail. 2009, 2, 56–62. [Google Scholar] [CrossRef] [PubMed]
- Gupta, S.; Neyses, L. Diuretic usage in heart failure: A continuing conundrum in 2005. Eur. Heart J. 2005, 26, 644–649. [Google Scholar] [CrossRef] [PubMed]
- Ponikowski, P.; Voors, A.A.; Anker, S.D.; Bueno, H.; Cleland, J.G.; Coats, A.J.; Falk, V.; González-Juanatey, J.R. 2016 ESC Guidelines for the diagnosis and treatment of acute and chronic heart failure: The Task Force for the diagnosis and treatment of acute and chronic heart failure of the European Society of Cardiology (ESC). Developed with the special contribution of the Heart Failure Association (HFA) of the ESC. Eur. J. Heart Fail. 2016, 18, 891–975. [Google Scholar] [PubMed]
- Felker, G.M.; Lee, K.L.; Bull, D.A.; Redfield, M.M.; Stevenson, L.W.; Goldsmith, S.R. Diuretic strategies in acute decompensated heart failure. N. Engl. J. Med. 2011, 364, 797–805. [Google Scholar] [CrossRef] [PubMed]
- Testani, J.M.; Brisco, M.A.; Turner, J.M.; Spatz, E.S.; Bellumkonda, L.; Parikh, C.R.; Tang, W.H. Loop diuretic efficiency: A metric of diuretic responsiveness with prognostic importance in acute decompensated heart failure. Circ. Heart Fail. 2014, 7, 261–270. [Google Scholar] [CrossRef]
- Peacock, W.F.; Costanzo, M.R.; De Marco, T.; Lopatin, M.; Wynne, J.; Mills, R.M.; Emerman, C.L. ADHERE Scientific Advisory Committee and Investigators. Impact of intravenous loop diuretics on outcomes of patients hospitalized with acute decompensated heart failure: Insights from the ADHERE registry. Cardiology 2009, 113, 12–19. [Google Scholar] [CrossRef]
- Ter Maaten, J.M.; Dunning, A.M.; Valente, M.A.; Damman, K.; Ezekowitz, J.A.; Califf, R.M.; Starling, R.C.; van der Meer, P.; O’Connor, C.M.; Schulte, P.J.; et al. Diuretic response in acute heart failure-an analysis from ASCEND-HF. Am. Heart J. 2015, 170, 313–321. [Google Scholar] [CrossRef]
- Ter Maaten, J.M.; Rao, V.S.; Hanberg, J.S.; Perry Wilson, F.; Bellumkonda, L.; Assefa, M.; Sam Broughton, J.; D’Ambrosi, J.; Wilson Tang, W.H.; Damman, K.; et al. Renal tubular resistance is the primary driver for loop diuretic resistance in acute heart failure. Eur. J. Heart Fail. 2017, 19, 1014–1022. [Google Scholar] [CrossRef]
- Makadia, S.; Simmons, T.; Augustine, S.; Kovell, L.; Harris, C.; Chibungu, A.; Parakh, K. The diuresis clinic: A new paradigm for the treatment of mild decompensated heart failure. Am. J. Med. 2015, 128, 527–531. [Google Scholar] [CrossRef]
- Valente, M.A.; Voors, A.A.; Damman, K.; Van Veldhuisen, D.J.; Massie, B.M.; O’Connor, C.M.; Metra, M.; Ponikowski, P.; Teerlink, J.R.; Cotter, G.; et al. Diuretic response in acute heart failure: Clinical characteristics and prognostic significance. Eur. Heart J. 2014, 35, 1284–1293. [Google Scholar] [CrossRef]
- Voors, A.A.; Davison, B.A.; Teerlink, J.R.; Felker, G.M.; Cotter, G.; Filippatos, G.; Greenberg, B.H.; Pang, P.S.; Levin, B.; Hua, T.A.; et al. Diuretic response in patients with acute decompensated heart failure: Characteristics and clinical outcome—An analysis from RELAX-AHF. Eur. J. Heart Fail. 2014, 16, 1230–1240. [Google Scholar] [CrossRef] [PubMed]
- Palazzuoli, A.; Testani, J.M.; Ruocco, G.; Pellegrini, M.; Ronco, C.; Nuti, R. Different diuretic dose and response in acute decompensated heart failure: Clinical characteristics and prognostic significance. Int. J. Cardiol. 2016, 224, 213–219. [Google Scholar] [CrossRef] [PubMed]
- Damman, K.; Testani, J.M. The kidney in heart failure: An update. Eur. Heart J. 2015, 36, 1437–1444. [Google Scholar] [CrossRef] [PubMed]
- Levey, A.S.; Coresh, J.; Greene, T.; Stevens, L.A.; Zhang, Y.L.; Hendriksen, S.; Kusek, J.W.; Van Lente, F. Chronic Kidney Disease Epidemiology Collaboration. Using standardized serum creatinine values in the modification of diet in renal disease study equation for estimating glomerular filtration rate. Ann. Intern. Med. 2006, 145, 247–254. [Google Scholar] [CrossRef] [PubMed]
- Gheorghiade, M.; Follath, F.; Ponikowski, P.; Barsuk, J.H.; Blair, J.E.; Cleland, J.G.; Dickstein, K.; Drazner, M.H.; Fonarow, G.C.; Jaarsma, T.; et al. Assessing and grading congestion in acute heart failure: A scientific statement from the acute heart failure committee of the heart failure association of the European Society of Cardiology and endorsed by the European Society of Intensive Care Medicine. Eur. J. Heart Fail. 2010, 12, 423–433. [Google Scholar] [CrossRef] [PubMed]
- Campbell, P.T.; Ryan, J. Diuretic dosing in acute decompensated heart failure: Lessons from DOSE. Curr. Heart Fail. Rep. 2012, 9, 260–265. [Google Scholar] [CrossRef]
- Hanberg, J.S.; Tang, W.H.W.; Wilson, F.P.; Coca, S.G.; Ahmad, T.; Brisco, M.A.; Testani, J.M. An exploratory analysis of the competing effects of aggressive decongestion and high-dose loop diuretic therapy in the DOSE trial. Int. J. Cardiol. 2017, 241, 277–282. [Google Scholar] [CrossRef]
- Abdel-Qadir, H.M.; Tu, J.V.; Yun, L.; Austin, P.C.; Newton, G.E.; Lee, D.S. Diuretic dose and long-term outcomes in elderly patients with heart failure after hospitalization. Am. Heart J. 2010, 160, 264–271. [Google Scholar] [CrossRef]
- Shah, R.V.; McNulty, S.; O’Connor, C.M.; Felker, G.M.; Braunwald, E.; Givertz, M.M. Effect of admission oral diuretic dose on response to continuous versus bolus intravenous diuretics in acute heart failure: An analysis from diuretic optimization strategies in acute heart failure. Am. Heart J. 2012, 164, 862–868. [Google Scholar] [CrossRef]
- House, A.A.; Haapio, M.; Lassus, J.; Bellomo, R.; Ronco, C. Therapeutic strategies for heart failure in cardiorenal syndromes. Am. J. Kidney Dis. 2010, 56, 759–773. [Google Scholar] [CrossRef]
- Francis, G.S.; Siegel RMGoldsmith, S.R.; Olivari, M.T.; Levine, T.B.; Cohn, J.N. Acute vasoconstriction response to intravenous furosemide in patients with chronic congestive heart failure. Activation of neurohormonal axis. Ann. Intern. Med. 1985, 103, 1–6. [Google Scholar] [CrossRef] [PubMed]
- Hasselblad, V.; Stough, W.G.; Shah, M.R.; Lokhnygina, Y.; O’Connor, C.M.; Califf, R.M.; Adams, K.F., Jr. Relation between dose of loop diuretics and outcomes in heart failure population: Results of the ESCAPE trial. Eur. J. Heart Fail. 2007, 9, 1064–1069. [Google Scholar] [CrossRef] [PubMed]
- Pellicori, P.; Cleland, J.G.; Zhang, J.; Kallvikbacka-Bennett, A.; Urbinati, A.; Shah, P.; Kazmi, S.; Clark, A.L. Cardiac Dysfunction, Congestion and Loop Diuretics: Their Relationship to Prognosis in Heart Failure. Cardiovasc. Drugs Ther. 2016, 30, 599–609. [Google Scholar] [CrossRef] [PubMed]
- Yilmaz, M.B.; Gayat, E.; Salem, R.; Lassus, J.; Nikolaou, M.; Laribi, S.; Parissis, J.; Follath, F.; Peacock, W.F.; Mebazaa, A. Impact of diuretic dosing on mortality in acute heart failure using a propensity matched study. Eur. J. Heart Fail. 2011, 13, 1244–1252. [Google Scholar] [CrossRef]
- Fedele, F.; Severino, P.; Calcagno, S.; Mancone, M. Heart failure: TNM-like classification. J. Am. Coll. Cardiol. 2014, 63, 1959–1960. [Google Scholar] [CrossRef]
- Aronson, D.; Burger, A.J. Diuretic Response: Clinical and Hemodynamic Predictors and Relation to Clinical Outcome. J. Card. Fail. 2016, 22, 193–200. [Google Scholar] [CrossRef]
- Rao, V.S.; Planavsky, N.; Hanberg, J.S.; Ahmad, T.; Brisco-Bacik, M.A.; Wilson, F.P.; Jacoby, D.; Chen, M.; Tang, W.H.W.; Cherney, D.Z.I.; et al. Compensatory Distal Reabsorption Drives Diuretic Resistance in Human Heart Failure. J. Am. Soc. Nephrol. 2017, 28, 3414–3424. [Google Scholar] [CrossRef]
- Palazzuoli, A.; Ruocco, G.; Ronco, C.; McCullough, P.A. Loop diuretics in acute heart failure: Beyond the decongestive relief for the kidney. Crit. Care 2015, 19, 296. [Google Scholar] [CrossRef]
- Aoki, S.; Okumura, T.; Sawamura, A.; Kitagawa, K.; Morimoto, R.; Sakakibara, M.; Murohara, T. Usefunless of the combination of in-hospital poor diuretic response and systemic congestion to predict future cardiac events in patients with acute decompensated heart failure. Am. J. Cardiol. 2017, 119, 2010–2016. [Google Scholar] [CrossRef]
- Mullens, W.; Damman, K.; Harjola, V.P.; Mebazaa, A.; Brunner-La Rocca, H.P.; Martens, P.; Testani, J.M.; Tang, W.H.W.; Orso, F.; Rossignol, P.; et al. The use of diuretics in heart failure with congestion—A position statement from the Heart Failure Association of the European Society of Cardiology. Eur. J. Heart Fail. 2019, 21, 137–155. [Google Scholar] [CrossRef]
- Palazzuoli, A.; Ruocco, G.; Vescovo, G.; Valle, R.; Di Somma, S.; Nuti, R. Rationale and study design of intravenous loop diuretic administration in acute heart failure: DIUR-AHF. ESC Heart Fail. 2017, 4, 479–486. [Google Scholar] [CrossRef] [PubMed]


| HD (n = 71) | LD (n = 50) | p-Value | |
|---|---|---|---|
| Age (years) | 82 (77–87) | 79 (76–85) | 0.13 |
| Gender (n) | |||
| Male | 30 | 21 | 0.98 |
| Female | 41 | 29 | (Ref) |
| Laboratory data at admission | |||
| Creatinine (mg/dL) | 1.70 (1.20–2.10) | 1.35 [1.17–1.59) | 0.005 |
| eGFR (ml/min/1.73 m2) | 41 (32–51) | 46 [38–58) | 0.04 |
| BUN (mg/dL) | 85 (59–112) | 66 [42–106) | 0.04 |
| Serum sodium (mEq/L) | 138 (130–142) | 140 [138–143) | 0.007 |
| Serum potassium (mEq/L) | 4.2 (4.0–4.5) | 4.0 (3.7–4.5) | 0.02 |
| BNP (pg/mL) | 887 (563–1350) | 837 (530–1275) | 0.68 |
| LVEF (%) | 30 (25–35) | 40 (35–40) | <0.001 |
| Admission congestion score >2 (%) | 63 | 36 | 0.003 |
| Risk Factors (%) | |||
| Diabetes | 51 | 22 | 0.001 |
| Dyslipidemia | 49 | 44 | 0.57 |
| Hypertension | 48 | 44 | 0.67 |
| CAD | 69 | 54 | 0.09 |
| CKD | 61 | 28 | <0.001 |
| AF | 39 | 30 | 0.29 |
| Background therapy (%) | |||
| Loop diuretics | 100 | 96 | 0.33 |
| ACE/ARBs | 59 | 64 | 0.73 |
| Beta blockers | 72 | 76 | 0.76 |
| Aldosterone antagonists | 24 | 22 | 0.98 |
| HD (n = 71) | LD (n = 50) | p-Value | |
|---|---|---|---|
| Laboratory data after treatment | |||
| Creatinine (mg/dL) | 1.60 (1.30–2.20) | 1.40 (1.16–1.50) | 0.006 |
| eGFR (ml/min/1.73 m2) | 40 (33–51) | 47 (42–56) | 0.008 |
| Serum sodium (mEq/L) | 138 (135–142) | 138 (136–140) | 0.81 |
| Serum potassium (mEq/L) | 4.0 (3.8–4.4) | 3.8 (3.6–4.3) | 0.28 |
| BNP (pg/mL) | 620 (381–824) | 610 (378–928) | 0.79 |
| Urine output (ml/die) | 2200 (1700–2700) | 2000 (1800–2500) | 0.57 |
| Additional hypertonic saline solution (%) | 41 | 20 | 0.02 |
| Inotropes agents administration (%) | 34 | 14 | 0.01 |
| WRF (%) | 29 | 28 | 0.98 |
| Persistence of congestion after treatment (%) | 25 | 34 | 0.30 |
| 180 days outcome events occurrence (%) | 75 | 22 | <0.001 |
| DR day 1 | 0.20 (0.00–0.32) | 0.33 (0.00–0.64) | 0.17 |
| DR day 2 | 0.106 (0.053–0.213) | 0.222 (0.127–0.407) | <0.001 |
| DR entire infusion period | 0.106 (0.064–0.240) | 0.266 (0.200–0.400) | <0.001 |
| Q1 (n = 31) | Q2 (n = 26) | Q3 (n = 35) | Q4 (n = 29) | p-Value | |
|---|---|---|---|---|---|
| Age (years) | 81 (76–87) | 83 (76–88) | 81 (78–85) | 79 (77–85) | 0.76 |
| Gender male (%) | 32 | 42 | 40 | 55 | 0.34 |
| Renal function biomarkers at admission | |||||
| Creatinine (mg/dL) | 1.70 (1.10–1.80) | 1.70 (1.27–2.12) | 1.40 (1.20–1.80) | 1.50 (1.10–1.70) | 0.33 |
| eGFR (ml/min/1.73 m2) | 39 (32–58) | 41 (24–50) | 45 (38–52) | 49 (38–60) | 0.15 |
| BUN (mg/dL) | 79 (56–104) | 87 (59–105) | 67 (42–106) | 73 (48–117) | 0.68 |
| Renal function biomarkers after treatment | |||||
| Creatinine (mg/dL) | 1.50 (1.40–1.90) | 1.55 (1.27–2.30) | 1.40 (1.20–1.60) | 1.50 (1.20–1.80) | 0.17 |
| eGFR (ml/min/1.73 m2) | 36 (30–51) | 43 (27–50) | 49 (44–51) | 47 (38–54) | 0.01 |
| Admission BNP (pg/mL) | 753 (536–1214) | 861 (563–1436) | 875 (585–1270) | 887 (452–1401) | 0.97 |
| Mean daily urine output (ml) | 1900 (1500–2250) | 2550 (1850–3100) | 2100 (1700–2500) | 2400 (1850–2800) | 0.01 |
| Diuretic in-hospital IV dosage (mg/die) | 200 (175–225) | 200 (125–250) | 120 (80–125) | 100 (71–125) | <0.001 |
| LVEF (%) | 30 (25–35) | 30 (25–35) | 35 (30–40) | 40 (35–40) | <0.001 |
| Additional hypertonic saline solution (%) | 26 | 54 | 23 | 31 | 0.06 |
| Inotropes agents administration (%) | 16 | 42 | 20 | 28 | 0.12 |
| Risk factors (%) | |||||
| Diabetes Mellitus | 71 | 27 | 23 | 34 | <0.001 |
| Hypertension | 48 | 65 | 31 | 45 | 0.07 |
| Dyslipidemia | 48 | 77 | 40 | 28 | 0.002 |
| CAD | 87 | 58 | 43 | 66 | 0.003 |
| Atrial fibrillation (%) | 65 | 35 | 11 | 34 | <0.001 |
| CKD (%) | 58 | 58 | 34 | 41 | 0.15 |
| BNP decrease ≥ 30% after treatment (%) | 48 | 54 | 49 | 48 | 0.97 |
| WRF (%) | 26 | 19 | 23 | 45 | 0.13 |
| Persistence of congestion after treatment (%) | 26 | 23 | 40 | 24 | 0.39 |
| 180 days CV death/HF rehospitalization (%) | 71 | 73 | 37 | 34 | 0.001 |
| DEATH or RE-HOSPITALIZATION (180 Days) | ||||
|---|---|---|---|---|
| Univariate | Multivariable | |||
| Parameters | HR (95% CI of HR) | p-Value | HR 1 (95% CI of HR) | p-Value |
| low DR | 3.25 (1.92–5.50) | <0.001 | 3.01 (1.36–6.65) | 0.006 |
| HD IV dosage furosemide | 5.43 (2.82–10.45) | <0.001 | 2.83 (1.24–6.42) | 0.01 |
| WRF | 1.17 (0.68–1.99) | 0.573 | 2.21 (1.14–4.28) | 0.01 |
| Persistence of congestion * | 0.81 (0.47–1.42) | 0.466 | 0.55 (0.27–1.13) | 0.10 |
© 2019 by the authors. Licensee MDPI, Basel, Switzerland. This article is an open access article distributed under the terms and conditions of the Creative Commons Attribution (CC BY) license (http://creativecommons.org/licenses/by/4.0/).
Share and Cite
Ruocco, G.; Feola, M.; Nuti, R.; Luschi, L.; Evangelista, I.; Palazzuoli, A. Loop Diuretic Administration in Patients with Acute Heart Failure and Reduced Systolic Function: Effects of Different Intravenous Diuretic Doses and Diuretic Response Measurements. J. Clin. Med. 2019, 8, 1854. https://doi.org/10.3390/jcm8111854
Ruocco G, Feola M, Nuti R, Luschi L, Evangelista I, Palazzuoli A. Loop Diuretic Administration in Patients with Acute Heart Failure and Reduced Systolic Function: Effects of Different Intravenous Diuretic Doses and Diuretic Response Measurements. Journal of Clinical Medicine. 2019; 8(11):1854. https://doi.org/10.3390/jcm8111854
Chicago/Turabian StyleRuocco, Gaetano, Mauro Feola, Ranuccio Nuti, Lorenzo Luschi, Isabella Evangelista, and Alberto Palazzuoli. 2019. "Loop Diuretic Administration in Patients with Acute Heart Failure and Reduced Systolic Function: Effects of Different Intravenous Diuretic Doses and Diuretic Response Measurements" Journal of Clinical Medicine 8, no. 11: 1854. https://doi.org/10.3390/jcm8111854
APA StyleRuocco, G., Feola, M., Nuti, R., Luschi, L., Evangelista, I., & Palazzuoli, A. (2019). Loop Diuretic Administration in Patients with Acute Heart Failure and Reduced Systolic Function: Effects of Different Intravenous Diuretic Doses and Diuretic Response Measurements. Journal of Clinical Medicine, 8(11), 1854. https://doi.org/10.3390/jcm8111854

