Impedance Aggregometry Reveals Increased Platelet Aggregation during Liver Transplantation
Abstract
1. Introduction
2. Materials and Methods
2.1. Patients
2.2. Blood Sampling
2.3. Impedance Aggregometry and Coulter Counter Measurements
2.4. Calculations
2.5. Statistics
3. Results
3.1. Platelet Count in Liver Transplantation and Control Patients
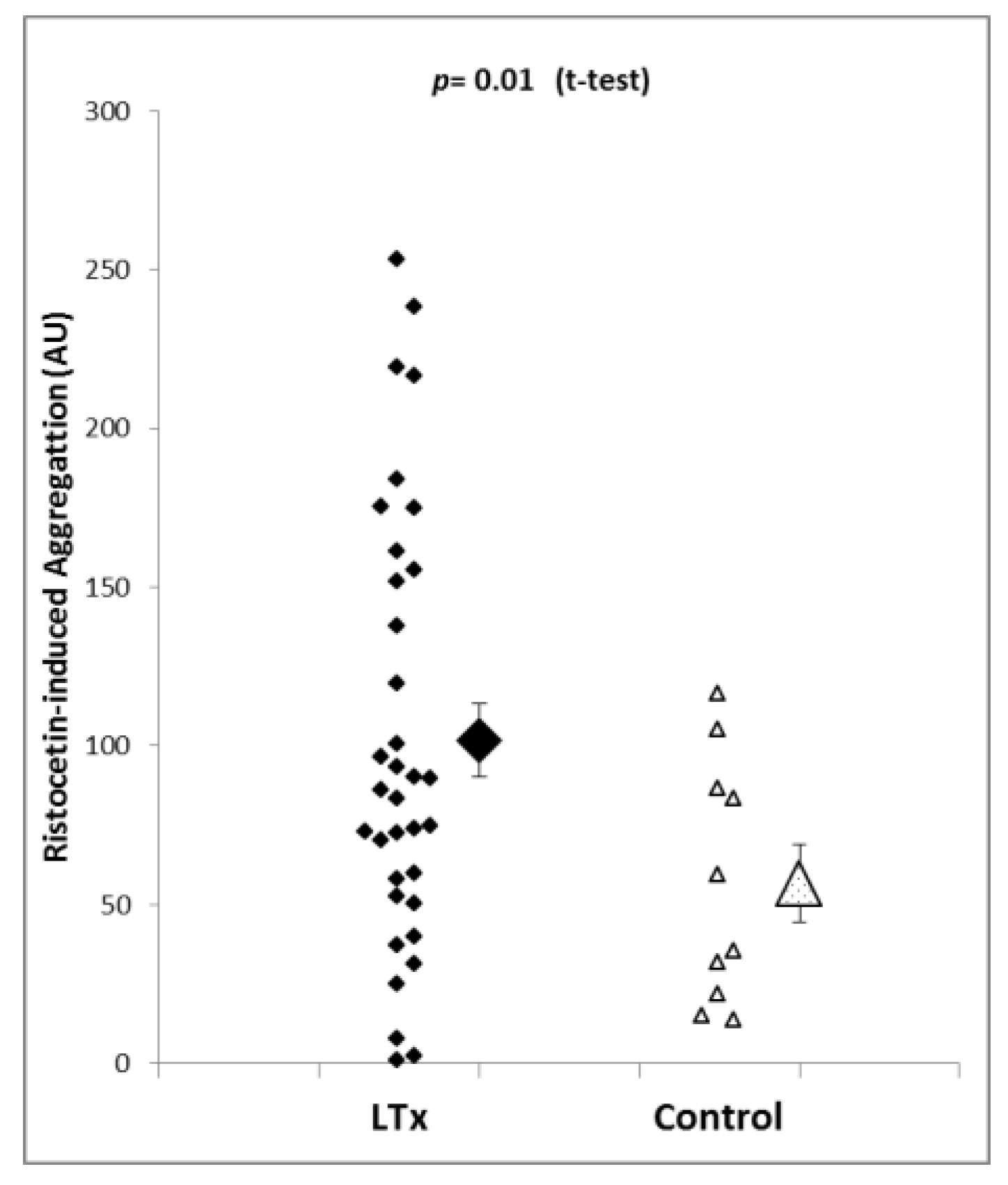
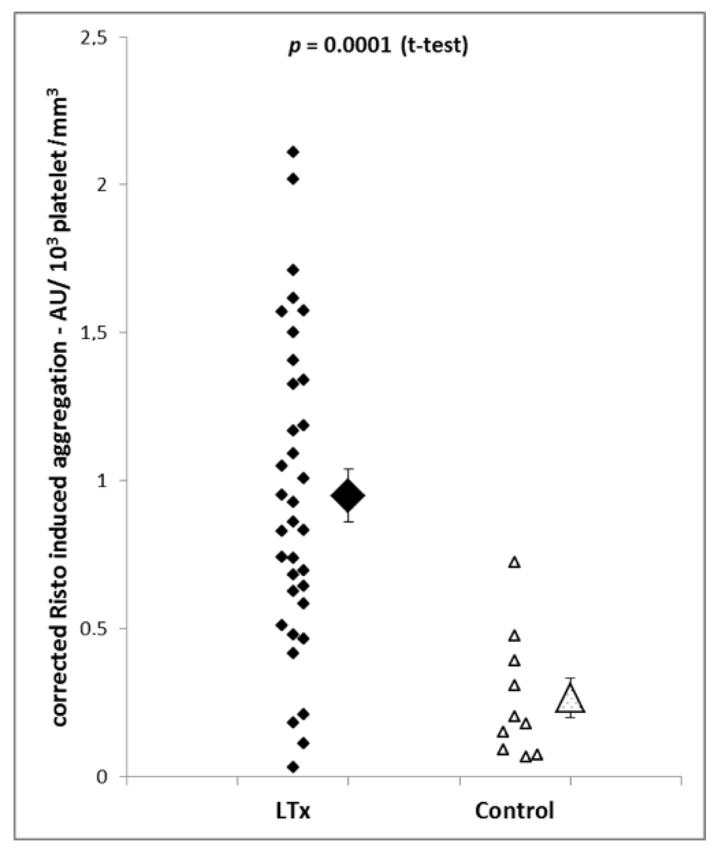
3.2. Ristocetin-Induced Platelet Aggregation in Liver Transplantation and Control Patients
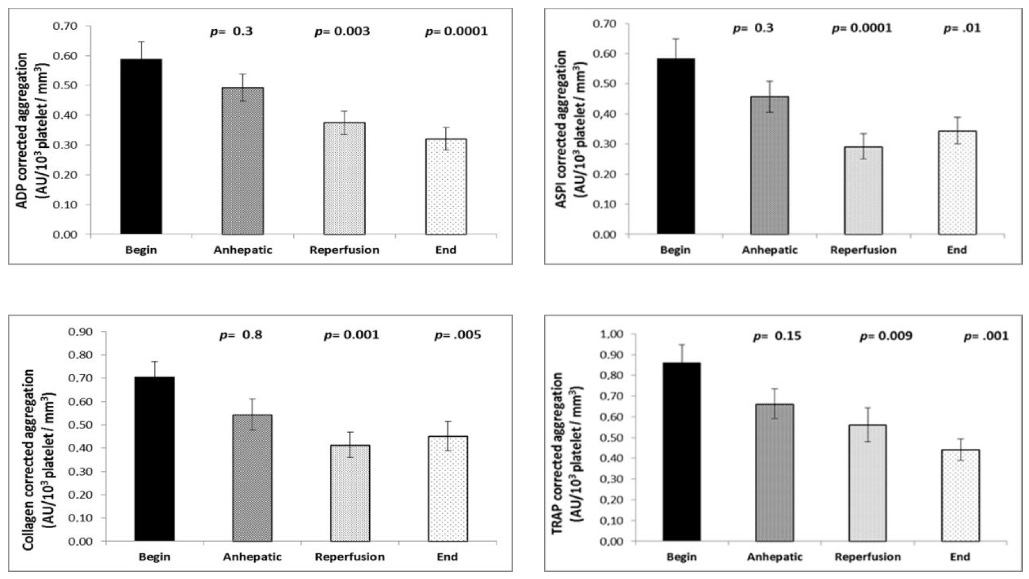
3.3. ADP-, Arachidonic Acid-, Collagen-, and TRAP-Induced Platelet Aggregation in Liver Transplantation and Control Patients
4. Discussion
Author Contributions
Funding
Conflicts of Interest
Abbreviations
| ADP | Adenosine triphosphate |
| AU | Arbitrary units |
| TRAP | Thrombin receptor-binding peptide |
References
- Hartmann, M.; Szalai, C.; Saner, F.H. Hemostasis in liver transplantation: Pathophysiology, monitoring, and treatment. World J. Gastroenterol. 2016, 22, 1541–1550. [Google Scholar] [CrossRef] [PubMed]
- Wada, H.; Usui, M.; Sakuragawa, N. Hemostatic abnormalities and liver diseases. Semin. Thromb. Hemost. 2008, 34, 772–778. [Google Scholar] [CrossRef] [PubMed][Green Version]
- Lisman, T.; Porte, R.J. Rebalanced hemostasis in patients with liver disease: Evidence and clinical consequences. Blood 2010, 116, 878–885. [Google Scholar] [CrossRef] [PubMed]
- Tsai, H.M. von Willebrand factor, shear stress, and ADAMTS13 in hemostasis and thrombosis. ASAIO J. 2012, 58, 163–169. [Google Scholar] [CrossRef] [PubMed]
- Hayashi, H.; Beppu, T.; Shirabe, K.; Maehara, Y.; Baba, H. Management of thrombocytopenia due to liver cirrhosis: A review. World J. Gastroenterol. 2014, 20, 2595–2605. [Google Scholar] [CrossRef] [PubMed]
- Hugenholtz, G.G.C.; Porte, R.J.; Lisman, T. The platelet and platelet function testing in liver disease. Clin. Liver. Dis. 2009, 13, 11–20. [Google Scholar] [CrossRef] [PubMed]
- Lisman, T.; Bongers, T.N.; Adelmeijer, J.; Janssen, H.L.; de Maat, M.P.; de Groot, P.G.; Leebeek, F.W. Elevated levels of von Willebrand Factor in cirrhosis support platelet adhesion despite reduced functional capacity. Hepatology. 2006, 44, 53–61. [Google Scholar] [CrossRef]
- Uemura, M.; Fujimura, Y.; Matsumoto, M.; Ishizashi, H.; Kato, S.; Matsuyama, T.; Isonishi, A.; Ishikawa, M.; Yagita, M.; Morioka, C.; et al. Comprehensive analysis of ADAMTS13 in patients with liver cirrhosis. Thromb. Haemost. 2008, 99, 1019–1029. [Google Scholar]
- Hugenholtz, G.C.; Adelmeijer, J.; Meijers, J.C.; Porte, R.J.; Stravitz, R.T.; Lisman, T. An unbalance between von Willebrand factor and ADAMTS13 in acute liver failure: Implications for hemostasis and clinical outcome. Hepatology 2013, 58, 752–761. [Google Scholar] [CrossRef]
- Aiolfi, R.; Sitia, G. Chronic hepatitis B: Role of anti-platelet therapy in inflammation control. Cell Mol. Immunol. 2015, 12, 264–268. [Google Scholar] [CrossRef]
- Mende, K.; Reifart, J.; Rosentreter, D.; Manukyan, D.; Mayr, D.; Krombach, F.; Rentsch, M.; Khandoga, A. Targeting platelet migration in the postischemic liver by blocking protease-activated receptor 4. Transplantation 2014, 97, 154–160. [Google Scholar] [CrossRef] [PubMed]
- Miyashita, T.; Nakanuma, S.; Ahmed, A.K.; Makino, I.; Hayashi, H.; Oyama, K.; Nakagawara, H.; Tajima, H.; Takamura, H.; Ninomiya, I.; et al. Ischemia reperfusion-facilitated sinusoidal endothelial cell injury in liver transplantation and the resulting impact of extravasated platelet aggregation. Eur. Surg. 2016, 48, 92–98. [Google Scholar] [CrossRef] [PubMed]
- Tóth, O.; Calatzis, A.; Penz, S.; Losonczy, H.; Siess, W. Multiple electrode aggregometry: A new device to measure platelet aggregation in whole blood. Throm. Haemost. 2006, 96, 781–788. [Google Scholar]
- Warnaar, N.; Molenaar, I.Q.; Colquhoun, S.D.; Slooff, M.J.; Sherwani, S.; de Wolf, A.M.; Porte, R.J. Intraoperative pulmonary embolism and intracardiac thrombosis complicating liver transplantation: A systematic review. J. Thromb. Haemost. 2008, 6, 297–302. [Google Scholar] [CrossRef] [PubMed]
- Pereboom, I.T.; Adelmeijer, J.; van Leeuwen, Y.; Hendriks, H.G.; Porte, R.J.; Lisman, T. Development of a severe von Willebrand factor/ADAMTS13 dysbalance during orthotopic liver transplantation. Am. J. Transplant. 2009, 9, 1189–1196. [Google Scholar] [CrossRef] [PubMed]
- Ko, S.; Chisuwa, H.; Matsumoto, M.; Fujimura, Y.; Okano, E.; Nakajima, Y. Relevance of ADAMTS13 to liver transplantation and surgery. World J. Hepatol. 2015, 7, 1772–1781. [Google Scholar] [CrossRef]
- De Boer, M.T.; Christensen, M.C.; Asmussen, M.; van der Hilst, C.S.; Hendriks, H.G.; Slooff, M.J.; Porte, R.J. The impact of intraoperative transfusion of platelets and red blood cells on survival after liver transplantation. Anesth. Analg. 2008, 106, 32–44. [Google Scholar] [CrossRef]
- Chin, J.L.; Hisamuddin, S.H.; O’Sullivan, A.; Chan, G.; McCormick, P.A. Thrombocytopenia, platelet transfusion, and outcome following liver transplantation. Clin. Appl. Thromb. Hemost. 2016, 22, 351–360. [Google Scholar] [CrossRef]
- Hartmann, M.; Walde, C.; Dirkmann, D.; Saner, F.H. Safety of coagulation factor concentrates guided by ROTEM™-analyses in liver transplantation: results from 372 procedures. BMC Anesthesiol. 2019, 19, 97. [Google Scholar] [CrossRef]
- Biancofiore, G.; Blasi, A.; De Boer, M.T.; Franchini, M.; Hartmann, M.; Lisman, T.; Liumbruno, G.M.; Porte, R.J.; Saner, F.; Senzolo, M.; et al. Perioperative hemostatic management in the cirrhotic patient: a position paper on behalf of the liver intensive care group of Europe (LICAGE). Minerva Anestesiol. 2019, 85, 782. [Google Scholar] [CrossRef]
- Bezinover, D.; Dirkmann, D.; Findlay, J.; Guta, C.; Hartmann, M.; Nicolau-Raducu, R.; Mukhtar, A.M.; Moguilevitch, M.; Pivalizza, E.; Rosenfeld, D.; et al. Perioperative coagulation management in liver transplant recipients. Transplantation 2018, 102, 578. [Google Scholar] [CrossRef] [PubMed]






© 2019 by the authors. Licensee MDPI, Basel, Switzerland. This article is an open access article distributed under the terms and conditions of the Creative Commons Attribution (CC BY) license (http://creativecommons.org/licenses/by/4.0/).
Share and Cite
Soliman, M.; Hartmann, M. Impedance Aggregometry Reveals Increased Platelet Aggregation during Liver Transplantation. J. Clin. Med. 2019, 8, 1803. https://doi.org/10.3390/jcm8111803
Soliman M, Hartmann M. Impedance Aggregometry Reveals Increased Platelet Aggregation during Liver Transplantation. Journal of Clinical Medicine. 2019; 8(11):1803. https://doi.org/10.3390/jcm8111803
Chicago/Turabian StyleSoliman, Mohamed, and Matthias Hartmann. 2019. "Impedance Aggregometry Reveals Increased Platelet Aggregation during Liver Transplantation" Journal of Clinical Medicine 8, no. 11: 1803. https://doi.org/10.3390/jcm8111803
APA StyleSoliman, M., & Hartmann, M. (2019). Impedance Aggregometry Reveals Increased Platelet Aggregation during Liver Transplantation. Journal of Clinical Medicine, 8(11), 1803. https://doi.org/10.3390/jcm8111803

