Prognostic Value of Single Nodal Zone Metastasis in Non-Small-Cell Lung Cancer—A Multi-Institutional Study
Abstract
1. Introduction
2. Materials and Methods
- Surgery time ranging from January 2015 to December 2022;
- NSCLC (adenocarcinoma and squamous cell carcinoma);
- Operable case with anatomical resection (lobectomy, bilobectomy, pneumonectomy);
- N2 single zone pathologically confirmed post-surgery.
- N2-multizone;
- Mixed histotype;
- Presence of metastases at diagnosis;
- Non-anatomical resection;
- Salvage surgery.
3. Results
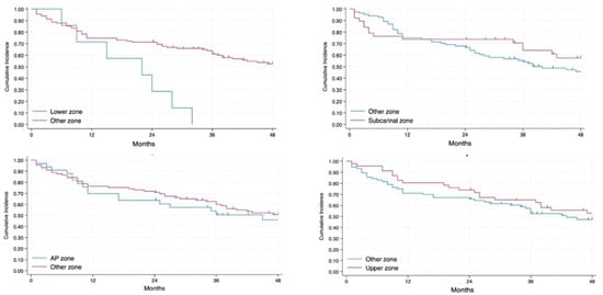
3.1. Overall Survival Analysis
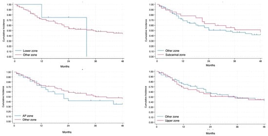
3.2. Relapse-Free Survival Analysis
4. Discussion
5. Conclusions
Author Contributions
Funding
Institutional Review Board Statement
Informed Consent Statement
Data Availability Statement
Conflicts of Interest
Abbreviations
| IASLC | International Association for the Study of Lung Cancer |
| OS | Overall survival |
| RFS | Relapse-free survival |
| AP zone | Aortopulmonary zone |
References
- Zhou, J.; Xu, Y.; Liu, J.; Feng, L.; Yu, J.; Chen, D. Global burden of lung cancer in 2022 and projections to 2050: Incidence and mortality estimates from GLOBOCAN. Cancer Epidemiol. 2024, 93, 102693. [Google Scholar] [CrossRef] [PubMed]
- Sung, H.; Ferlay, J.; Siegel, R.L.; Laversanne, M.; Soerjomataram, I.; Jemal, A.; Bray, F. Global cancer statistics 2020: GLOBOCAN estimates of incidence and mortality worldwide for 36 cancers in 185 countries. CA A Cancer J. Clin. 2021, 71, 209–249. [Google Scholar] [CrossRef] [PubMed]
- Padinharayil, H.; Varghese, J.; John, M.C.; Rajanikant, G.K.; Wilson, C.M.; Al-Yozbaki, M.; Renu, K.; Dewanjee, S.; Sanyal, R.; Dey, A.; et al. non-small cell lung carcinoma (NSCLC): Implications on molecular pathology and advances in early diagnostics and therapeutics. Genes Dis. 2023, 10, 960–989. [Google Scholar] [CrossRef] [PubMed]
- Petrella, F.; Rizzo, S.; Attili, I.; Passaro, A.; Zilli, T.; Martucci, F.; Bonomo, L.; Del Grande, F.; Casiraghi, M.; De Marinis, F.; et al. Stage III non-small-cell lung cancer: An overview of treatment options. Curr. Oncol. 2023, 30, 3160–3175. [Google Scholar] [CrossRef] [PubMed]
- Goldstraw, P.; Chansky, K.; Crowley, J.; Rami-Porta, R.; Asamura, H.; Eberhardt, W.E.; Nicholson, A.G.; Groome, P.; Mitchell, A.; Bolejack, V.; et al. The IASLC lung cancer staging project: Proposals for revision of the TNM stage groupings in the forthcoming (eighth) edition of the TNM classification for lung cancer. J. Thorac. Oncol. 2016, 11, 39–51. [Google Scholar] [CrossRef] [PubMed]
- Cascone, T.; Awad, M.M.; Spicer, J.D.; He, J.; Lu, S.; Sepesi, B.; Tanaka, F.; Taube, J.M.; Cornelissen, R.; Havel, L.; et al. Perioperative nivolumab in resectable lung cancer. N. Engl. J. Med. 2024, 390, 1756–1769. [Google Scholar] [CrossRef] [PubMed]
- Provencio, M.; Nadal, E.; González-Larriba, J.L.; Martínez-Martí, A.; Bernabé, R.; Bosch-Barrera, J.; Casal-Rubio, J.; Calvo, V.; Insa, A.; Ponce, S.; et al. Perioperative nivolumab and chemotherapy in stage III non–non-small-cell lung cancer. N. Engl. J. Med. 2023, 389, 504–513. [Google Scholar] [CrossRef] [PubMed]
- Lardinois, D.; De Leyn, P.; Van Schil, P.; Porta, R.R.; Waller, D.; Passlick, B.; Zielinski, M.; Lerut, Y.; Weder, W. ESTS guidelines for intraoperative lymph node staging in non-small cell lung cancer. Eur. J. Cardio-Thorac. Surg. 2006, 30, 787–792. [Google Scholar] [CrossRef] [PubMed]
- Gabryel, P.; Skrzypczak, P.; Roszak, M.; Campisi, A.; Zielińska, D.; Bryl, M.; Stencel, K.; Piwkowski, C. Influencing factors on the quality of lymph node dissection for stage IA non-small cell lung cancer: A retrospective nationwide cohort study. Cancers 2024, 16, 346. [Google Scholar] [CrossRef] [PubMed]
- Rusch, V.W.; Asamura, H.; Watanabe, H.; Giroux, D.J.; Rami-Porta, R.; Goldstraw, P. The IASLC lung cancer staging project: A proposal for a new international lymph node map in the forthcoming seventh edition of the TNM classification for lung cancer. J. Thorac. Oncol. 2009, 4, 568–577. [Google Scholar] [CrossRef] [PubMed]
- Rusch, V.W.; Crowley, J.; Giroux, D.J.; Goldstraw, P.; Im, J.G.; Tsuboi, M.; Tsuchiya, R.; Vansteenkiste, J.; International Staging Committee. The IASLC Lung Cancer Staging Project: Proposals for the revision of the N descriptors in the forthcoming seventh edition of the TNM classification for lung cancer. J. Thorac. Oncol. 2007, 2, 603–612. [Google Scholar] [CrossRef] [PubMed]
- Kim, M.S.; Lee, H.S.; Lee, J.M.; Zo, J.I.; Lee, G.K.; Nam, B.H. Prognostic value of single nodal zone metastasis in non-small-cell lung cancer. Eur. J. Cardio-Thorac. Surg. 2010, 38, 491–497. [Google Scholar] [CrossRef] [PubMed]
- Rami-Porta, R.; Nishimura, K.K.; Giroux, D.J.; Detterbeck, F.; Cardillo, G.; Edwards, J.G.; Fong, K.M.; Giuliani, M.; Huang, J.; Kernstine, K.H.; et al. The International Association for the Study of Lung Cancer Lung Cancer Staging Project: Proposals for revision of the TNM stage groups in the forthcoming (Ninth) edition of the TNM classification for lung cancer. J. Thorac. Oncol. 2024, 19, 1007–1027. [Google Scholar] [CrossRef] [PubMed]
- Huang, J.; Osarogiagbon, R.U.; Giroux, D.J.; Nishimura, K.K.; Bille, A.; Cardillo, G.; Detterbeck, F.; Kernstine, K.; Kim, H.K.; Lievens, Y.; et al. The International Association for the Study of Lung Cancer Staging Project for Lung Cancer: Proposals for the revision of the N descriptors in the forthcoming ninth edition of the TNM classification for lung cancer. J. Thorac. Oncol. 2024, 19, 766–785. [Google Scholar] [CrossRef] [PubMed]
- Citak, N.; Sayar, A.; Metin, M.; Büyükkale, S.; Kök, A.; Solak, O.; Yurt, S.; Gürses, A.; Citak, N. The prognostic significance of metastasis to lymph nodes in aortopulmonary zone (stations 5 and 6) in completely resected left upper lobe tumors. Thorac. Cardiovasc. Surg. 2015, 63, 568–576. [Google Scholar] [PubMed]







| All | |
|---|---|
| Patients—n (%) | 135 |
| Age—mean (SD) | 68 (9) |
| Gender—n (%) | |
| Male | 82 (61) |
| Female | 53 (39) |
| Smoker—n (%) | |
| Yes | 115 (85) |
| No | 20 (15) |
| Charlson Comorbidity Index (CCI)—mean (SD) | 5 (2) |
| cN2—n (%) | 28 (21) |
| Occult N2—n (%) | 107 (79) |
| TNM 8 ED.—n (%) | |
| IIIA | 88 (65) |
| IIIB | 47 (35) |
| TNM 9. ED.—n (%) | |
| IIIA | 71 (52) |
| IIIB | 32 (24) |
| II B | 32 (24) |
| Neoadjuvant—n (%) | 12 (<1) |
| Adjuvant—n (%) | 74 (60) |
| Characteristics | Upper Zone | Ap Zone | Subcarinal Zone | Lower Zone | p |
|---|---|---|---|---|---|
| Patients—n (%) | 50 (37) | 36 (27) | 41 (30) | 8 (6) | |
| Age—mean (SD) | 67 (9.4) | 68.6 (8.4) | 66.6 (8.9) | 67.6 (6.7) | 0.778 |
| Gender—n (%) | 0.165 | ||||
| Male | 30 (60) | 20 (55) | 29 (71) | 5 (62) | |
| Female | 20 (40) | 16 (44) | 12 (29) | 3 (38) | |
| Smoker—n (%) | 0.293 | ||||
| Yes | 42 (84) | 28 (77) | 38 (93) | 7 (88) | |
| No | 8 (16) | 8 (23) | 3 (7) | 1 (12) | |
| CCI—mean (SD) | 5 (2) | 6 (2) | 6 (1) | 5 (1) | 0.618 |
| cN2—n (%) | 15 (30) | 8 (23) | 4 (10) | 1 (12) | 0.111 |
| Occult N2—n (%) | 35 (70) | 28 (77) | 37 (90) | 7 (88) | 0.112 |
| TNM 8 ED.—n (%) | 0.722 | ||||
| IIIA | 31 (62) | 21 (58) | 29 (71) | 5 (62) | |
| IIIB | 19 (38) | 15 (4)2 | 12 (29) | 3 (38) | |
| TNM 9. ED.—n (%) | 0.841 | ||||
| IIIA | 23 (46) | 20 (55) | 23 (56) | 4 (50) | |
| IIIB | 12 (24) | 10 (28) | 8 (20) | 3 (38) | |
| II B | 15 (30) | 6 (17) | 10 (24) | 1 (12) | |
| Neoadjuvant—n (%) | 7 (14) | 3 (8) | 1 (2) | 1 (12) | 0.176 |
| Adjuvant—n (%) | 24 (48) | 23 (64) | 25 (61) | 2 (25) | 0.496 |
| RUL n (%) | ML n (%) | RLL n (%) | LUL n (%) | LLL n (%) | Right Pneumo n (%) | Left Pneumo n (%) | Bilobectomy n (%) | TOT n (%) | |
|---|---|---|---|---|---|---|---|---|---|
| Upper zone | 40 (30) | 0 | 5 (4) | 0 | 1 (<1) | 3 (2) | 0 | 1 (<1) | 50 (37) |
| AP zone | 0 | 0 | 0 | 25 (19) | 3 (2) | 0 | 8 (6) | 0 | 36 (27) |
| Subcarinal zone | 3(2) | 2 (1) | 23 (17) | 1 (<1) | 2 (1) | 2 (1) | 4 (3 | 4 (3) | 41 (30) |
| Lower zone | 2 (1) | 0 | 2 (1) | 0 | 3 (2) | 0 | 0 | 1 (<1) | 8 (6) |
| TOT | 45 (33) | 2 (1) | 30 (22) | 26 (19) | 9 (7) | 5 (4) | 12 (9) | 6 (4) | 135 |
| Variable * | HR | p Value | 95% Conf. Interval | |
|---|---|---|---|---|
| Lower | Upper | |||
| Univariate | ||||
| Subcarinal zone | 0.2367979 | 0.002 | 0.095 | 0.588 |
| AP zone | 0.3366773 | 0.016 | 0.138 | 0.818 |
| Upper zone | 0.2956162 | 0.006 | 0.124 | 0.7011 |
| Multivariate | ||||
| Subcarinal Zone | 0.1174965 | <0.001 | 0.040 | 0.339 |
| AP zone | 0.3263782 | 0.021 | 0.125 | 0.845 |
| Upper zone | 0.1968624 | 0.001 | 0.075 | 0.512 |
Disclaimer/Publisher’s Note: The statements, opinions and data contained in all publications are solely those of the individual author(s) and contributor(s) and not of MDPI and/or the editor(s). MDPI and/or the editor(s) disclaim responsibility for any injury to people or property resulting from any ideas, methods, instructions or products referred to in the content. |
© 2025 by the authors. Licensee MDPI, Basel, Switzerland. This article is an open access article distributed under the terms and conditions of the Creative Commons Attribution (CC BY) license (https://creativecommons.org/licenses/by/4.0/).
Share and Cite
Nicosia, S.; Lyberis, P.; Rudella, S.; Lausi, P.O.; Sobrero, S.; Cristofori, R.C.; Roffinella, M.; Fontana, E.C.; Leo, F.; Ruffini, E.; et al. Prognostic Value of Single Nodal Zone Metastasis in Non-Small-Cell Lung Cancer—A Multi-Institutional Study. J. Clin. Med. 2025, 14, 2938. https://doi.org/10.3390/jcm14092938
Nicosia S, Lyberis P, Rudella S, Lausi PO, Sobrero S, Cristofori RC, Roffinella M, Fontana EC, Leo F, Ruffini E, et al. Prognostic Value of Single Nodal Zone Metastasis in Non-Small-Cell Lung Cancer—A Multi-Institutional Study. Journal of Clinical Medicine. 2025; 14(9):2938. https://doi.org/10.3390/jcm14092938
Chicago/Turabian StyleNicosia, Samanta, Paraskevas Lyberis, Stefano Rudella, Paolo Olivo Lausi, Simona Sobrero, Riccardo Carlo Cristofori, Matteo Roffinella, Elisa Carla Fontana, Francesco Leo, Enrico Ruffini, and et al. 2025. "Prognostic Value of Single Nodal Zone Metastasis in Non-Small-Cell Lung Cancer—A Multi-Institutional Study" Journal of Clinical Medicine 14, no. 9: 2938. https://doi.org/10.3390/jcm14092938
APA StyleNicosia, S., Lyberis, P., Rudella, S., Lausi, P. O., Sobrero, S., Cristofori, R. C., Roffinella, M., Fontana, E. C., Leo, F., Ruffini, E., & Guerrera, F. (2025). Prognostic Value of Single Nodal Zone Metastasis in Non-Small-Cell Lung Cancer—A Multi-Institutional Study. Journal of Clinical Medicine, 14(9), 2938. https://doi.org/10.3390/jcm14092938

