Machine Learning-Based Model for Grip Strength Prediction in Healthy Adults: A Nationwide Dataset-Based Study
Abstract
1. Introduction
2. Materials and Methods
2.1. Participants
2.2. Experimental Protocol
2.3. Data Analysis
3. Results
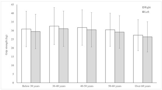
3.1. Baseline Characteristics of the 21,147 Participants
3.2. Performance Comparisons of the Three Machine Learning Models
4. Discussion
5. Conclusions
Author Contributions
Funding
Institutional Review Board Statement
Informed Consent Statement
Data Availability Statement
Acknowledgments
Conflicts of Interest
References
- Innes, E. Handgrip strength testing: A review of the literature. Aust. Occup. Ther. J. 1999, 46, 120–140. [Google Scholar] [CrossRef]
- Norman, K.; Stobäus, N.; Gonzalez, M.C.; Schulzke, J.D.; Pirlich, M. Hand grip strength: Outcome predictor and marker of nutritional status. Clin. Nutr. 2011, 30, 135–142. [Google Scholar] [CrossRef] [PubMed]
- Bohannon, R.W. Grip strength: An indispensable biomarker for older adults. Clin. Interv. Aging 2019, 14, 1681–1691. [Google Scholar] [CrossRef]
- Ling, C.H.Y.; Taekema, D.; de Craen, A.J.M.; Gussekloo, J.; Westendorp, R.G.; Maier, A.B. Handgrip strength and mortality in the oldest old population: The Leiden 85-plus study. CMAJ 2010, 182, 429–435. [Google Scholar] [CrossRef]
- Hwang, I.C.; Ahn, H.Y.; Choi, S.J. Association between handgrip strength and mental health in Korean adolescents. Fam. Pract. 2021, 38, 826–829. [Google Scholar] [CrossRef]
- Jang, J.Y.; Kim, J. Association between handgrip strength and cognitive impairment in elderly Koreans: A population-based cross-sectional study. J. Phys. Ther. Sci. 2015, 27, 3911–3915. [Google Scholar] [CrossRef] [PubMed]
- Lee, S.H.; Gong, H.S. Measurement and interpretation of handgrip strength for research on sarcopenia and osteoporosis. J. Bone Metab. 2020, 27, 85–92. [Google Scholar] [CrossRef] [PubMed]
- Cruz-Jentoft, A.J.; Bahat, G.; Bauer, J.; Boirie, Y.; Bruyère, O.; Cederholm, T.; Cooper, C.; Landi, F.; Rolland, Y.; Sayer, A.A.; et al. Sarcopenia: Revised European consensus on definition and diagnosis. Age Ageing 2019, 48, 16–31. [Google Scholar] [CrossRef]
- Hershkovitz, A.; Yichayaou, B.; Ronen, A.; Maydan, G.; Kornyukov, N.; Burstin, A.; Brill, S. The association between hand grip strength and rehabilitation outcome in post-acute hip fractured patients. Aging Clin. Exp. Res. 2019, 31, 1509–1516. [Google Scholar] [CrossRef] [PubMed]
- Günther, C.M.; Bürger, A.; Rickert, M.; Crispin, A.; Schulz, C.U. Grip strength in healthy Caucasian adults: Reference values. J. Hand Surg. 2008, 33, 558–565. [Google Scholar] [CrossRef] [PubMed]
- Angst, F.; Drerup, S.; Werle, S.; Herren, D.B.; Simmen, B.R.; Goldhahn, J. Prediction of grip and key pinch strength in 978 healthy subjects. BMC Musculoskelet. Disord. 2010, 11, 94. [Google Scholar] [CrossRef] [PubMed]
- Taha, Z. Grip strength prediction for Malaysian industrial workers using artificial neural networks. Int. J. Ind. Ergon. 2005, 35, 807–816. [Google Scholar] [CrossRef]
- Ostertagová, E. Modelling using polynomial regression. Procedia Eng. 2012, 48, 500–506. [Google Scholar] [CrossRef]
- Fan, J. Local Polynomial Modelling and Its Applications: Monographs on Statistics and Applied Probability 66; Routledge: London, UK, 2018. [Google Scholar] [CrossRef]
- Chen, T.; Guestrin, C. XGBoost: A scalable tree boosting system. In Proceedings of the 22nd ACM SIGKDD International Conference on Knowledge Discovery and Data Mining, San Francisco, CA, USA, 13–17 August 2016; pp. 785–794. [Google Scholar] [CrossRef]
- XGBoost Developers. XGBoost Documentation. Available online: https://xgboost.readthedocs.io/ (accessed on 20 February 2024).
- Hwang, J.; Lee, J.; Lee, K.-S. A Deep Learning-Based Method for Grip Strength Prediction: Comparison of Multilayer Perceptron and Polynomial Regression Approaches. PLoS ONE 2021, 16, e0246870. [Google Scholar] [CrossRef]
- Leong, D.P.; Teo, K.K.; Rangarajan, S.; Lopez-Jaramillo, P.; Avezum, A.; Orlandini, A.; Yusuf, S. Prognostic value of grip strength: Findings from the Prospective Urban Rural Epidemiology (PURE) study. Lancet 2015, 386, 266–273. [Google Scholar] [CrossRef] [PubMed]
- Wang, Y.C.; Bohannon, R.W.; Li, X.; Sindhu, B.; Kapellusch, J. Hand-grip strength: Normative reference values and equations for individuals 18 to 85 years of age residing in the United States. J. Orthop. Sports Phys. Ther. 2018, 48, 685–693. [Google Scholar] [CrossRef] [PubMed]
- Chao, S.M.; Chiu, Y.C.; Lo, E.W. The prediction models of the maximum power grip strength and pinch strength in Taiwan manufacturing workers. In Proceedings of the AHFE 2019 International Conference on Social and Occupational Ergonomics, Washington, DC, USA, 24–28 July 2019; Springer: Cham, Switzerland, 2020; pp. 10–20. [Google Scholar] [CrossRef]
- Wiens, J.; Shenoy, E.S. Machine learning for healthcare: On the verge of a major shift in healthcare epidemiology. Clin. Infect. Dis. 2018, 66, 149–153. [Google Scholar] [CrossRef] [PubMed]
- Hou, N.; Li, M.; He, L.; Xie, B.; Wang, L.; Zhang, R.; Yu, Y.; Sun, X.; Pan, Z.; Wang, K. Predicting 30-days mortality for MIMIC-III patients with sepsis-3: A machine learning approach using XGBoost. J. Transl. Med. 2020, 18, 462. [Google Scholar] [CrossRef] [PubMed]
- Wu, X.; Park, S. An inverse relation between hyperglycemia and skeletal muscle mass predicted by using a machine learning approach in middle-aged and older adults in large cohorts. J. Clin. Med. 2021, 10, 2133. [Google Scholar] [CrossRef]
- Gómez-Campos, R.; Vidal Espinoza, R.; De Arruda, M.; Ronque, E.R.V.; Urra-Albornoz, C.; Minango, J.C.; Alvear-Vasquez, F.; de la Torre Choque, C.; de Campos, L.F.C.C.; Torres, J.S. Relationship between age and handgrip strength: Proposal of reference values from infancy to senescence. Front. Public Health 2023, 10, 1072684. [Google Scholar] [CrossRef]
- Bae, J.H.; Li, X.; Kim, T.; Bang, H.S.; Lee, S.; Seo, D.Y. Prediction models of grip strength in adults above 65 years using Korean National Physical Fitness Award Data from 2009 to 2019. Eur. Geriatr. Med. 2023, 14, 1059–1064. [Google Scholar] [CrossRef]
- Lim, S.H.; Kim, Y.H.; Lee, J.S. Normative data on grip strength in a population-based study with adjusting confounding factors: Sixth Korea National Health and Nutrition Examination Survey (2014–2015). Int. J. Environ. Res. Public Health 2019, 16, 2235. [Google Scholar] [CrossRef]


| Male (n = 10,171) | Female (n = 10,976) | |
|---|---|---|
| Age (mean ± std) | 49 ± 16 | 47 ± 15 |
| 19–29 years | 1505 | 1580 |
| 30–39 years | 1829 | 2059 |
| 40–49 years | 2038 | 2479 |
| 50–59 years | 1915 | 2293 |
| Over 60 years | 2884 | 2565 |
| Preferred hand (right/left, n) | 9104/487 | 9964/433 |
| Height (cm) | 171.08 ± 6.58 | 158.31 ± 6.15 |
| Weight (kg) | 71.78 ± 11.50 | 57.99 ± 9.22 |
| Waist circumference (cm, mean ± std) | 86.28 ± 8.86 | 78.07 ± 9.49 |
| Body mass index (kg/m2, mean ± std) | 24.47 ± 3.28 | 23.15 ± 3.50 |
| Grip strength, right/left (kg) | 38.48 ± 7.69/37.04 ± 7.28 | 22.97 ± 4.90/21.83 ± 4.60 |
| Total physical activity (MET/week) | 1218.05 ± 2058.86 | 867.79 ± 1375.57 |
| Vigorous work activity (MET/week) | 103.11 ± 1083.08 | 16.02 ± 316.45 |
| Moderate work activity (MET/week) | 161.39 ± 807.60 | 113.58 ± 780.04 |
| Travel activity (MET/week) | 483.88 ± 827.28 | 484.38 ± 708.66 |
| Vigorous recreation activity (MET/week) | 242.75 ± 780.82 | 105.80 ± 468.35 |
| Moderate recreation activity (MET/week) | 230.92 ± 499.50 | 152.01 ± 383.11 |
| Models including only anthropometric variables without five physical activities levels | |||||||
| 1st PR | 2nd PR | 3rd PR | 4th PR | DL | XGBoost | ||
| RMSE | Train dataset | 5.645 | 5.364 | 5.292 | 5.256 | 5.399 | 5.230 |
| Test dataset | 5.660 | 5.380 | 5.355 | 5.390 | 5.399 | 5.388 | |
| R2 | Train dataset | 0.537 | 0.600 | 0.616 | 0.622 | 0.720 | 0.728 |
| Test dataset | 0.531 | 0.595 | 0.602 | 0.599 | 0.713 | 0.714 | |
| Models including both anthropometric variables and five physical activities levels | |||||||
| 1st PR | 2nd PR | 3rd PR | 4th PR | DL | XGBoost | ||
| RMSE | Train dataset | 5.610 | 5.321 | 5.181 | 4.989 | 5.399 | 5.186 |
| Test dataset | 5.631 | 5.364 | 5.421 | 16.624 | 5.417 | 5.360 | |
| R2 | Train dataset | 0.546 | 0.609 | 0.636 | 0.672 | 0.723 | 0.733 |
| Test dataset | 0.541 | 0.601 | 0.601 | 0.119 | 0.711 | 0.717 | |
Disclaimer/Publisher’s Note: The statements, opinions and data contained in all publications are solely those of the individual author(s) and contributor(s) and not of MDPI and/or the editor(s). MDPI and/or the editor(s) disclaim responsibility for any injury to people or property resulting from any ideas, methods, instructions or products referred to in the content. |
© 2025 by the authors. Licensee MDPI, Basel, Switzerland. This article is an open access article distributed under the terms and conditions of the Creative Commons Attribution (CC BY) license (https://creativecommons.org/licenses/by/4.0/).
Share and Cite
Park, M.; Kim, Y.H.; Lee, J.S. Machine Learning-Based Model for Grip Strength Prediction in Healthy Adults: A Nationwide Dataset-Based Study. J. Clin. Med. 2025, 14, 1542. https://doi.org/10.3390/jcm14051542
Park M, Kim YH, Lee JS. Machine Learning-Based Model for Grip Strength Prediction in Healthy Adults: A Nationwide Dataset-Based Study. Journal of Clinical Medicine. 2025; 14(5):1542. https://doi.org/10.3390/jcm14051542
Chicago/Turabian StylePark, Mina, Yeo Hyung Kim, and Jung Soo Lee. 2025. "Machine Learning-Based Model for Grip Strength Prediction in Healthy Adults: A Nationwide Dataset-Based Study" Journal of Clinical Medicine 14, no. 5: 1542. https://doi.org/10.3390/jcm14051542
APA StylePark, M., Kim, Y. H., & Lee, J. S. (2025). Machine Learning-Based Model for Grip Strength Prediction in Healthy Adults: A Nationwide Dataset-Based Study. Journal of Clinical Medicine, 14(5), 1542. https://doi.org/10.3390/jcm14051542

