Predicting Shunt-Dependency After Aneurysmal Subarachnoid Hemorrhage: A Multicenter Validation Study
Abstract
1. Introduction
2. Materials and Methods
2.1. Patient Population
2.2. aSAH Management
2.3. Score Calculation
2.4. Data Management
2.5. Study Endpoints and Statistical Analyses
3. Results
3.1. Discrimination of Prediction Scores
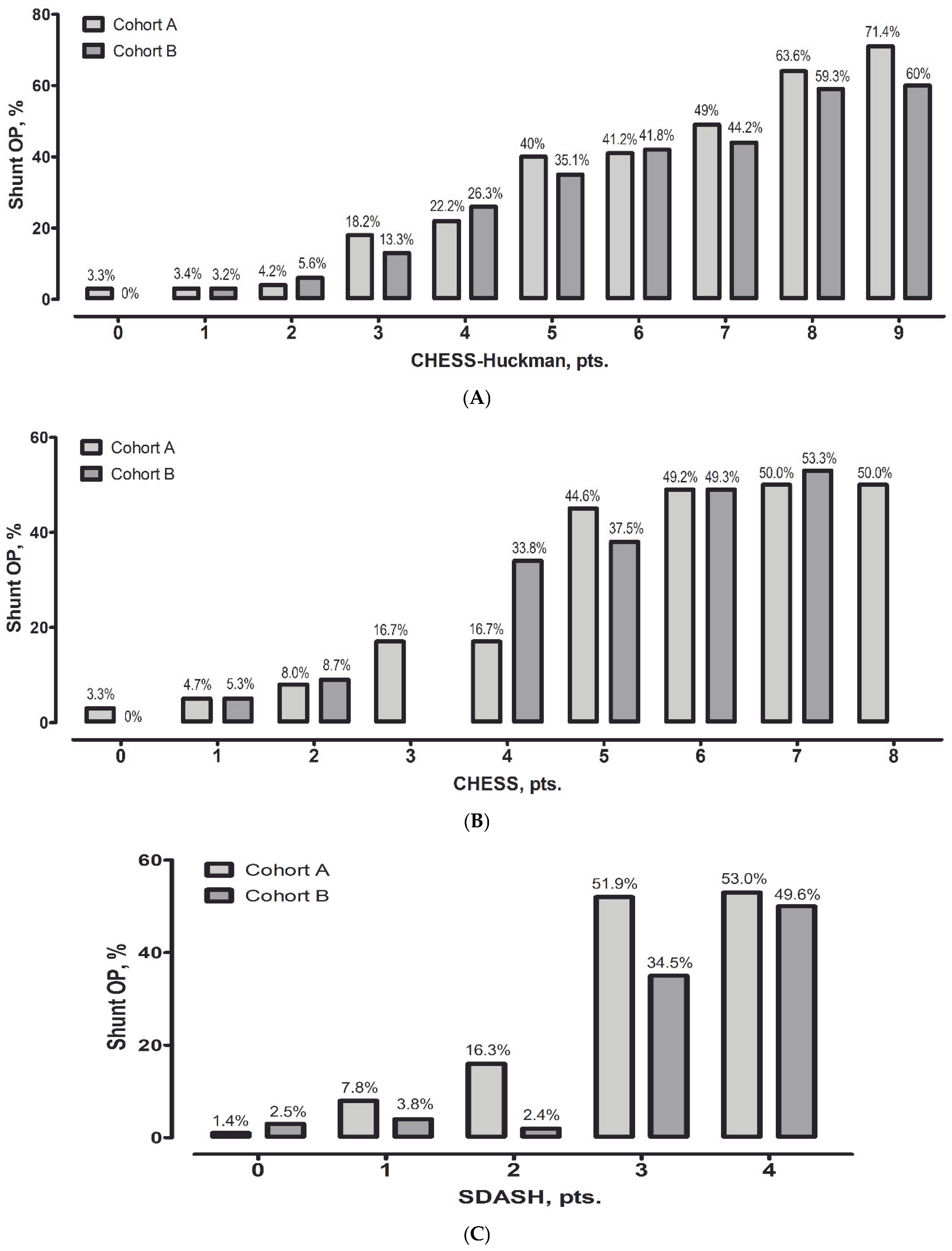
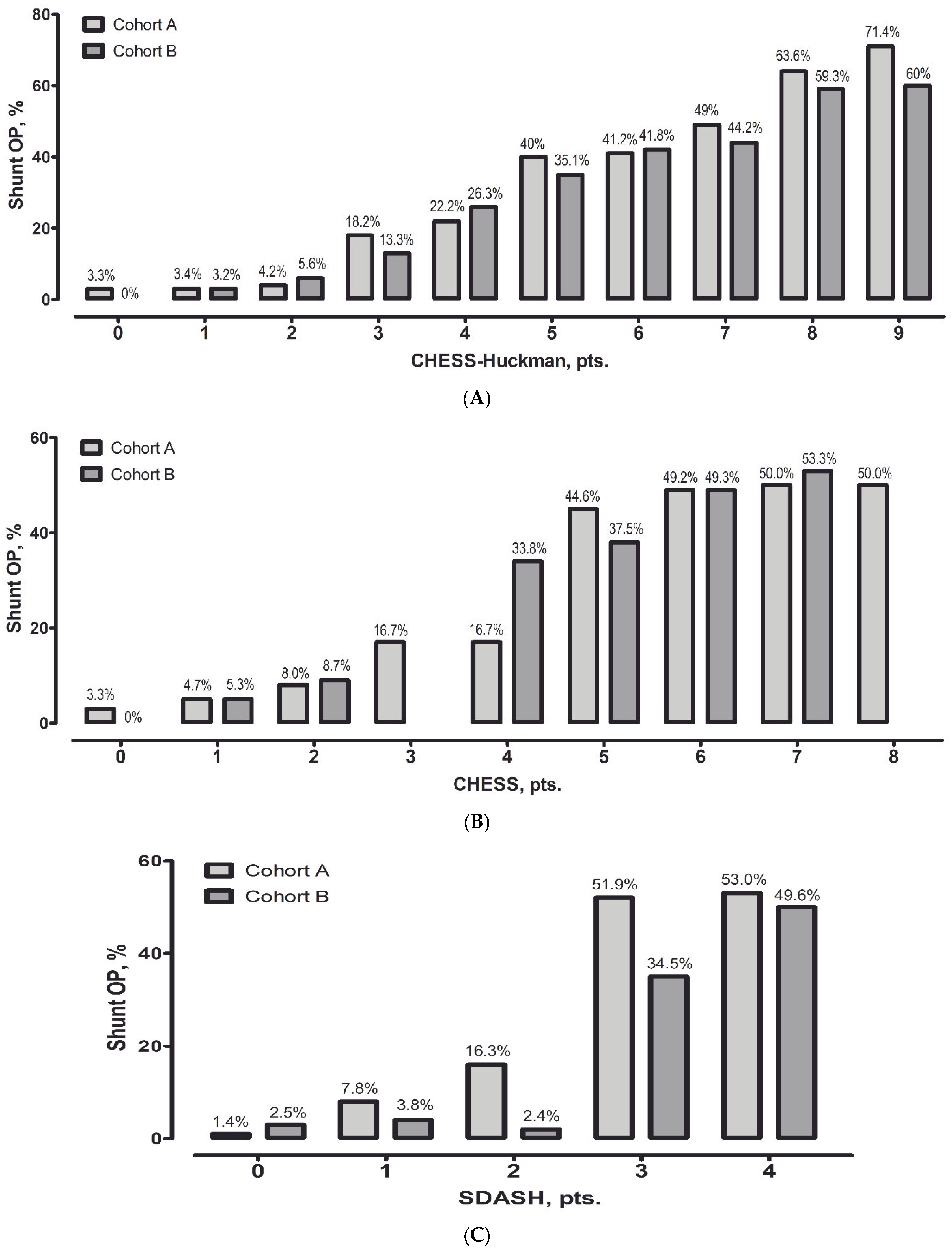
3.2. Calibration of Prediction Scores
3.3. Prediction of Shunt Timing
4. Discussion
5. Conclusions
Supplementary Materials
Author Contributions
Funding
Institutional Review Board Statement
Informed Consent Statement
Data Availability Statement
Conflicts of Interest
Abbreviations
| aSAH | Aneurysmal subarachnoid hemorrhage |
| SD | Standard deviation |
| CHESS | Chronic Hydrocephalus Ensuing from SAH Score |
| SDASH | Shunt Dependency in SAH |
| ROC | Receiver operation curve |
| AUC | Area under the curve |
| CI | Confidence interval |
| EVD | External ventricular drainage |
| VP-Shunt | Ventriculoperitoneal shunt |
| CT-scan | Computed tomography scan |
| CSF | Cerebrospinal fluid |
| ICP | Intracranial pressure |
References
- Erixon, H.O.; Sorteberg, A.; Sorteberg, W.; Eide, P.K. Predictors of shunt dependency after aneurysmal subarachnoid hemorrhage: Results of a single-center clinical trial. Acta Neurochir. 2014, 156, 2059–2069. [Google Scholar] [CrossRef]
- Jabbarli, R.; Bohrer, A.M.; Pierscianek, D.; Muller, D.; Wrede, K.H.; Dammann, P.; El Hindy, N.; Ozkan, N.; Sure, U.; Muller, O. The CHESS score: A simple tool for early prediction of shunt dependency after aneurysmal subarachnoid hemorrhage. Eur. J. Neurol. 2016, 23, 912–918. [Google Scholar] [CrossRef]
- Chen, S.; Luo, J.; Reis, C.; Manaenko, A.; Zhang, J. Hydrocephalus after Subarachnoid Hemorrhage: Pathophysiology, Diagnosis, and Treatment. BioMed Res. Int. 2017, 2017, 8584753. [Google Scholar] [CrossRef]
- Chen, S.; Yang, Q.; Chen, G.; Zhang, J.H. An update on inflammation in the acute phase of intracerebral hemorrhage. Transl. Stroke Res. 2015, 6, 4–8. [Google Scholar] [CrossRef]
- Li, H.; Pan, R.; Wang, H.; Rong, X.; Yin, Z.; Milgrom, D.P.; Shi, X.; Tang, Y.; Peng, Y. Clipping versus coiling for ruptured intracranial aneurysms: A systematic review and meta-analysis. Stroke 2013, 44, 29–37. [Google Scholar] [CrossRef]
- Diesing, D.; Wolf, S.; Sommerfeld, J.; Sarrafzadeh, A.; Vajkoczy, P.; Dengler, N.F. A novel score to predict shunt dependency after aneurysmal subarachnoid hemorrhage. J. Neurosurg. 2018, 128, 1273–1279. [Google Scholar] [CrossRef]
- Said, M.; Gumus, M.; Rodemerk, J.; Chihi, M.; Rauschenbach, L.; Dinger, T.F.; Darkwah Oppong, M.; Dammann, P.; Wrede, K.H.; Sure, U.; et al. The value of ventricular measurements in the prediction of shunt dependency after aneurysmal subarachnoid hemorrhage. Acta Neurochir. 2023, 165, 1545–1555. [Google Scholar] [CrossRef] [PubMed]
- Huckman, M.S.; Fox, J.; Topel, J. The validity of criteria for the evaluation of cerebral atrophy by computed tomography. Radiology 1975, 116, 85–92. [Google Scholar] [CrossRef] [PubMed]
- Wilson, D.A.; Nakaji, P.; Abla, A.A.; Uschold, T.D.; Fusco, D.J.; Oppenlander, M.E.; Albuquerque, F.C.; McDougall, C.G.; Zabramski, J.M.; Spetzler, R.F. A simple and quantitative method to predict symptomatic vasospasm after subarachnoid hemorrhage based on computed tomography: Beyond the Fisher scale. Neurosurgery 2012, 71, 869–875. [Google Scholar] [CrossRef] [PubMed]
- Darkwah Oppong, M.; Gumus, M.; Pierscianek, D.; Herten, A.; Kneist, A.; Wrede, K.; Barthel, L.; Forsting, M.; Sure, U.; Jabbarli, R. Aneurysm rebleeding before therapy: A predictable disaster? J. Neurosurg. 2019, 131, 1473–1480. [Google Scholar] [CrossRef]
- Lenkeit, A.; Oppong, M.D.; Dinger, T.F.; Gumus, M.; Rauschenbach, L.; Chihi, M.; Ahmadipour, Y.; Uerschels, A.K.; Dammann, P.; Deuschl, C.; et al. Risk factors for poor outcome after aneurysmal subarachnoid hemorrhage in patients with initial favorable neurological status. Acta Neurochir. 2024, 166, 93. [Google Scholar] [CrossRef]
- Said, M.; Gumus, M.; Rodemerk, J.; Chihi, M.; Rauschenbach, L.; Dinger, T.F.; Darkwah Oppong, M.; Ahmadipour, Y.; Dammann, P.; Wrede, K.H.; et al. Morphometric Study of the Initial Ventricular Indices to Predict the Complications and Outcome of Aneurysmal Subarachnoid Hemorrhage. J. Clin. Med. 2023, 12, 2585. [Google Scholar] [CrossRef]
- Kanat, A.; Turkmenoglu, O.; Aydin, M.D.; Yolas, C.; Aydin, N.; Gursan, N.; Tumkaya, L.; Demir, R. Toward changing of the pathophysiologic basis of acute hydrocephalus after subarachnoid hemorrhage: A preliminary experimental study. World Neurosurg. 2013, 80, 390–395. [Google Scholar] [CrossRef]
- Rincon, F.; Gordon, E.; Starke, R.M.; Buitrago, M.M.; Fernandez, A.; Schmidt, J.M.; Claassen, J.; Wartenberg, K.E.; Frontera, J.; Seder, D.B.; et al. Predictors of long-term shunt-dependent hydrocephalus after aneurysmal subarachnoid hemorrhage. J. Neurosurg. 2010, 113, 774–780. [Google Scholar] [CrossRef] [PubMed]
- Yu, H.; Zhan, R.; Wen, L.; Shen, J.; Fan, Z. The relationship between risk factors and prognostic factors in patients with shunt-dependent hydrocephalus after aneurysmal subarachnoid hemorrhage. J. Craniofac. Surg. 2014, 25, 902–906. [Google Scholar] [CrossRef] [PubMed]
- Shigematsu, H.; Sorimachi, T.; Osada, T.; Aoki, R.; Srivatanakul, K.; Oda, S.; Matsumae, M. Predictors of early vs. late permanent shunt insertion after aneurysmal subarachnoid hemorrhage. Neurol. Res. 2016, 38, 600–605. [Google Scholar] [CrossRef] [PubMed]
- Pietila, T.A.; Heimberger, K.C.; Palleske, H.; Brock, M. Influence of aneurysm location on the development of chronic hydrocephalus following SAH. Acta Neurochir. 1995, 137, 70–73. [Google Scholar] [CrossRef]
- Gottsche, J.; Piffko, A.; Pantel, T.F.; Westphal, M.; Duhrsen, L.; Czorlich, P.; Sauvigny, T. Aneurysm Location Affects Clinical Course and Mortality in Patients With Subarachnoid Hemorrhage. Front. Neurol. 2022, 13, 846066. [Google Scholar] [CrossRef]
- Bhattacharjee, S.; Rakesh, D.; Ramnadha, R.; Manas, P. Subarachnoid Hemorrhage and Hydrocephalus. Neurol. India 2021, 69 (Suppl. S2), S429–S433. [Google Scholar] [CrossRef]
- Luque-Paz, D.; Revest, M.; Eugene, F.; Boukthir, S.; Dejoies, L.; Tattevin, P.; Le Reste, P.J. Ventriculitis: A Severe Complication of Central Nervous System Infections. Open Forum Infect. Dis. 2021, 8, ofab216. [Google Scholar] [CrossRef]
- Unda, S.R.; Labagnara, K.; Birnbaum, J.; Wong, M.; de Silva, N.; Terala, H.; de la Garza Ramos, R.; Haranhalli, N.; Altschul, D.J. Impact of hospital-acquired complications in long-term clinical outcomes after subarachnoid hemorrhage. Clin. Neurol. Neurosurg. 2020, 194, 105945. [Google Scholar] [CrossRef]
- Scheithauer, S.; Burgel, U.; Ryang, Y.M.; Haase, G.; Schiefer, J.; Koch, S.; Hafner, H.; Lemmen, S. Prospective surveillance of drain associated meningitis/ventriculitis in a neurosurgery and neurological intensive care unit. J. Neurol. Neurosurg. Psychiatry 2009, 80, 1381–1385. [Google Scholar] [CrossRef] [PubMed]
- Hussein, K.; Rabino, G.; Feder, O.; Eghbaryeh, H.; Zayyad, H.; Sviri, G.; Benenson, R.; Paul, M. Risk factors for meningitis in neurosurgical patients with cerebrospinal fluid drains: Prospective observational cohort study. Acta Neurochir. 2019, 161, 517–524. [Google Scholar] [CrossRef] [PubMed]
- Dombovy, M.L.; Drew-Cates, J.; Serdans, R. Recovery and rehabilitation following subarachnoid haemorrhage. Part I: Outcome after inpatient rehabilitation. Brain Inj. 1998, 12, 443–454. [Google Scholar] [CrossRef] [PubMed]
- Adil, S.M.; Liu, B.; Charalambous, L.T.; Kiyani, M.; Gramer, R.; Swisher, C.B.; Verbick, L.Z.; McCabe, A.; Parente, B.A.; Pagadala, P.; et al. Healthcare Economics of Hydrocephalus After Aneurysmal Subarachnoid Hemorrhage in the United States. Transl. Stroke Res. 2019, 10, 650–663. [Google Scholar] [CrossRef]
- Kang, D.H.; Park, J.; Park, S.H.; Kim, Y.S.; Hwang, S.K.; Hamm, I.S. Early ventriculoperitoneal shunt placement after severe aneurysmal subarachnoid hemorrhage: Role of intraventricular hemorrhage and shunt function. Neurosurgery 2010, 66, 904–908, discussion 908–909. [Google Scholar] [CrossRef]
- Gupta, R.; Ascanio, L.C.; Enriquez-Marulanda, A.; Griessenauer, C.J.; Chinnadurai, A.; Jhun, R.; Alturki, A.; Ogilvy, C.S.; Thomas, A.J.; Moore, J.M. Validation of a Predictive Scoring System for Ventriculoperitoneal Shunt Insertion After Aneurysmal Subarachnoid Hemorrhage. World Neurosurg. 2018, 109, e210–e216. [Google Scholar] [CrossRef]
- Kim, J.H.; Kim, J.H.; Kang, H.I.; Kim, D.R.; Moon, B.G.; Kim, J.S. Risk Factors and Preoperative Risk Scoring System for Shunt-Dependent Hydrocephalus Following Aneurysmal Subarachnoid Hemorrhage. J. Korean Neurosurg. Soc. 2019, 62, 643–648. [Google Scholar] [CrossRef]
- Liang, H.; Gui, B.; Gao, A.; Meng, X.; Li, C.; Ma, L.; Rong, Y.; Zhang, H.; Zhang, J.; Luo, X.; et al. The MAI score: A novel score to early predict shunt-dependent hydrocephalus in patients with aneurysmal subarachnoid hemorrhage after surgery. Clin. Neurol. Neurosurg. 2022, 219, 107317. [Google Scholar] [CrossRef]
- Hao, G.; Shi, Z.; Huan, Y.; Han, Y.; Yang, X.; Dong, Y.; Liang, G. Construction and verification of risk predicting models to evaluate the possibility of hydrocephalus following aneurysmal subarachnoid hemorrhage. J. Stroke Cerebrovasc. Dis. 2024, 33, 107535. [Google Scholar] [CrossRef]
- Panni, P.; Fugate, J.E.; Rabinstein, A.A.; Lanzino, G. Lumbar drainage and delayed cerebral ischemia in aneurysmal subarachnoid hemorrhage: A systematic review. J. Neurosurg. Sci. 2017, 61, 665–672. [Google Scholar] [CrossRef]
- Lee, K.S.; Chari, A.; Motiwala, M.; Khan, N.R.; Arthur, A.S.; Lawton, M.T. Effectiveness of Cerebrospinal Fluid Lumbar Drainage Among Patients with Aneurysmal Subarachnoid Hemorrhage: An Updated Systematic Review and Meta-Analysis. World Neurosurg. 2024, 183, 246–253.e12. [Google Scholar] [CrossRef]
- Wolf, S.; Mielke, D.; Barner, C.; Malinova, V.; Kerz, T.; Wostrack, M.; Czorlich, P.; Salih, F.; Engel, D.C.; Ehlert, A.; et al. Effectiveness of Lumbar Cerebrospinal Fluid Drain Among Patients with Aneurysmal Subarachnoid Hemorrhage: A Randomized Clinical Trial. JAMA Neurol. 2023, 80, 833–842. [Google Scholar] [CrossRef]
- Klimo, P., Jr.; Kestle, J.R.; MacDonald, J.D.; Schmidt, R.H. Marked reduction of cerebral vasospasm with lumbar drainage of cerebrospinal fluid after subarachnoid hemorrhage. J. Neurosurg. 2004, 100, 215–224. [Google Scholar] [CrossRef]




| Cohort A | Cohort B | |||
|---|---|---|---|---|
| Parameter | Count/Mean | %/SD | Count/Mean | %/SD |
| Age (years) | 56 | 13 | 55 | 12 |
| Sex | ||||
| Male | 124 | 36.8% | 155 | 32.6% |
| Female | 213 | 63.2% | 321 | 67.4% |
| Initial neurological condition: | ||||
| Hunt&Hess Grade I–III | 236 | 70.0% | 301 | 63.2% |
| Hunt&Hess Grade IV–V | 101 | 30.0% | 175 | 36.8% |
| Acute hydrocephalus: | ||||
| No | 157 | 46.6% | 180 | 37.2% |
| Yes | 180 | 53.4% | 296 | 62.2% |
| Aneurysm location: | ||||
| Anterior circulation | 261 | 77.7% | 349 | 73.3% |
| Posterior circulation | 75 | 22.3% | 127 | 26.7% |
| Treatment modality | ||||
| Endovascular | 198 | 59.5% | 317 | 66.7% |
| Clipping | 135 | 40.5% | 158 | 33.3% |
| CHESS | ||||
| 0 | 61 | 18.2% | 80 | 16.8% |
| 1 | 64 | 19.1% | 76 | 16.0% |
| 2 | 25 | 7.5% | 23 | 4.8% |
| 3 | 6 | 1.8% | 1 | 0.2% |
| 4 | 12 | 3.6% | 77 | 16.2% |
| 5 | 56 | 16.7% | 136 | 28.6% |
| 6 | 65 | 19.4% | 68 | 14.3% |
| 7 | 42 | 12.5% | 15 | 3.2% |
| 8 | 4 | 1.2% | 0 | 0.0% |
| CHESS–Huckman score | ||||
| 0 | 60 | 17.9% | 67 | 14.1% |
| 1 | 59 | 17.6% | 62 | 13.0% |
| 2 | 24 | 7.2% | 36 | 7.6% |
| 3 | 11 | 3.3% | 15 | 3.2% |
| 4 | 9 | 2.7% | 38 | 8.0% |
| 5 | 40 | 11.9% | 94 | 19.7% |
| 6 | 51 | 15.2% | 80 | 16.8% |
| 7 | 51 | 15.2% | 52 | 10.9% |
| 8 | 22 | 6.6% | 27 | 5.7% |
| 9 | 7 | 2.1% | 5 | 1.1% |
| 10 | 1 | 0.3% | 0 | 0.0% |
| SDASH score | ||||
| 0 | 73 | 21.9% | 40 | 8.4% |
| 1 | 64 | 19.2% | 105 | 22.1% |
| 2 | 49 | 14.7% | 41 | 8.6% |
| 3 | 81 | 24.3% | 168 | 35.3% |
| 4 | 66 | 19.8% | 122 | 25.6% |
| Shunt placement | ||||
| No shunt | 247 | 73.1% | 351 | 73.9% |
| Shunt within 30 days | 51 | 15.1% | 73 | 15.4% |
| Shunt > 30 days | 40 | 11.8% | 51 | 10.7% |
| Odds Ratio (95% CI) | p-Value | |
|---|---|---|
| Risk Scores (Per-Score-Increase) | ||
| CHESS | 1.76 (1.58–1.94) | <0.0001 |
| CHESS–Huckman | 1.66 (1.52–1.81) | <0.0001 |
| SDASH | 2.80 (2.33–3.36) | <0.0001 |
Disclaimer/Publisher’s Note: The statements, opinions and data contained in all publications are solely those of the individual author(s) and contributor(s) and not of MDPI and/or the editor(s). MDPI and/or the editor(s) disclaim responsibility for any injury to people or property resulting from any ideas, methods, instructions or products referred to in the content. |
© 2025 by the authors. Licensee MDPI, Basel, Switzerland. This article is an open access article distributed under the terms and conditions of the Creative Commons Attribution (CC BY) license (https://creativecommons.org/licenses/by/4.0/).
Share and Cite
Said, M.; Wipplinger, C.; Cattaneo, A.; Wipplinger, T.M.; Kunze, E.; Dömer, P.; Helgers, S.; Jabbarli, R.; Woitzik, J. Predicting Shunt-Dependency After Aneurysmal Subarachnoid Hemorrhage: A Multicenter Validation Study. J. Clin. Med. 2025, 14, 8585. https://doi.org/10.3390/jcm14238585
Said M, Wipplinger C, Cattaneo A, Wipplinger TM, Kunze E, Dömer P, Helgers S, Jabbarli R, Woitzik J. Predicting Shunt-Dependency After Aneurysmal Subarachnoid Hemorrhage: A Multicenter Validation Study. Journal of Clinical Medicine. 2025; 14(23):8585. https://doi.org/10.3390/jcm14238585
Chicago/Turabian StyleSaid, Maryam, Christoph Wipplinger, Andrea Cattaneo, Tamara M. Wipplinger, Ekkehard Kunze, Patrick Dömer, Simeon Helgers, Ramazan Jabbarli, and Johannes Woitzik. 2025. "Predicting Shunt-Dependency After Aneurysmal Subarachnoid Hemorrhage: A Multicenter Validation Study" Journal of Clinical Medicine 14, no. 23: 8585. https://doi.org/10.3390/jcm14238585
APA StyleSaid, M., Wipplinger, C., Cattaneo, A., Wipplinger, T. M., Kunze, E., Dömer, P., Helgers, S., Jabbarli, R., & Woitzik, J. (2025). Predicting Shunt-Dependency After Aneurysmal Subarachnoid Hemorrhage: A Multicenter Validation Study. Journal of Clinical Medicine, 14(23), 8585. https://doi.org/10.3390/jcm14238585

