Intraoperative Extracorporeal Life Support for Bilateral Sequential Lung Transplantation
Abstract
1. Introduction
2. Materials and Methods
2.1. Study Population
2.2. Organ Procurement
2.3. Lung Transplantation
2.4. Outcome Measures
2.5. Statistics
3. Results
3.1. Baseline Characteristics of the Cohort
3.2. Donor Characteristics
3.3. Early Outcomes and Primary Graft Dysfunction
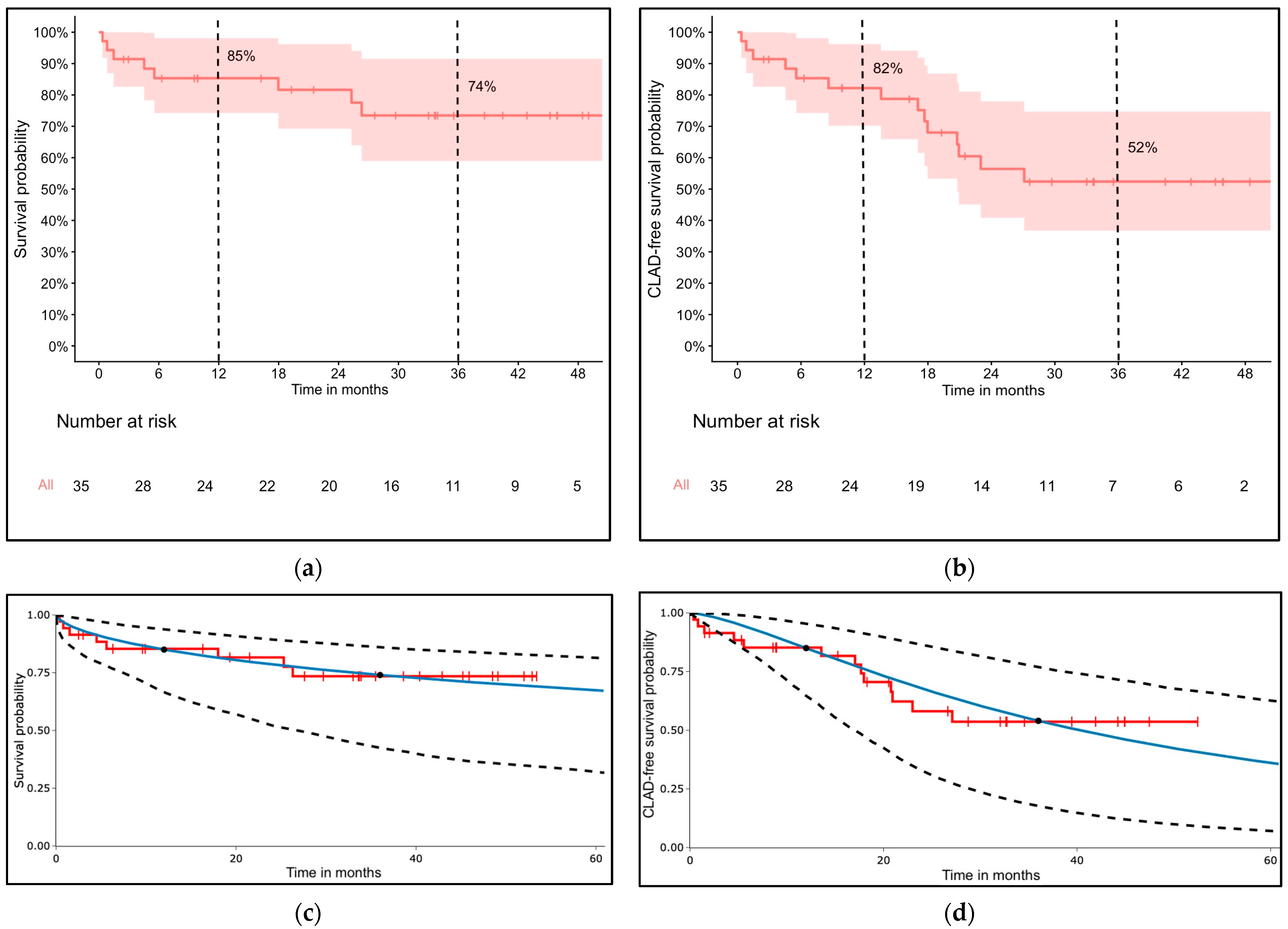
3.4. Long-Term Survival
4. Discussion
Author Contributions
Funding
Institutional Review Board Statement
Informed Consent Statement
Data Availability Statement
Conflicts of Interest
Abbreviations
| CI | Confidence interval |
| CLAD | Chronic lung allograft dysfunction |
| ECLS | Extracorporeal life support |
| ICU | Intensive care unit |
| ISHLT | International Society for Heart and Lung Transplantation |
| PGD | Primary graft dysfunction |
| VA | Venoarterial |
References
- Diamond, J.M.; Lee, J.C.; Kawut, S.M.; Shah, R.J.; Localio, A.R.; Bellamy, S.L.; Lederer, D.J.; Cantu, E.; Kohl, B.A.; Lama, V.N.; et al. Clinical Risk Factors for Primary Graft Dysfunction after Lung Transplantation. Am. J. Respir. Crit. Care Med. 2013, 187, 527–534. [Google Scholar] [CrossRef] [PubMed]
- Chambers, D.C.; Perch, M.; Zuckermann, A.; Cherikh, W.S.; Harhay, M.O.; HayesJr, D.; Hsich, E.; Khush, K.K.; Potena, L.; Sadavarte, A.; et al. The International Thoracic Organ Transplant Registry of the International Society for Heart and Lung Transplantation: Thirty-Eighth Adult Lung Transplantation Report—2021; Focus on Recipient Characteristics. J. Heart Lung Transplant. 2021, 40, 1060. [Google Scholar] [CrossRef]
- Reck dos Santos, P.; D’Cunha, J. Intraoperative Support during Lung Transplantation. J. Thorac. Dis. 2021, 13, 6576–6586. [Google Scholar] [CrossRef]
- Elgharably, H.; Javorski, M.J.; McCurry, K.R. Bilateral Sequential Lung Transplantation: Technical Aspects. J. Thorac. Dis. 2021, 13, 6564–6575. [Google Scholar] [CrossRef]
- Hoetzenecker, K.; Schwarz, S.; Muckenhuber, M.; Benazzo, A.; Frommlet, F.; Schweiger, T.; Bata, O.; Jaksch, P.; Ahmadi, N.; Muraközy, G.; et al. Intraoperative Extracorporeal Membrane Oxygenation and the Possibility of Postoperative Prolongation Improve Survival in Bilateral Lung Transplantation. J. Thorac. Cardiovasc. Surg. 2018, 155, 2193–2206.e3. [Google Scholar] [CrossRef]
- Kopjar, T.; Dzubur, F.; Hirsl, D.; Madzarac, G.; Janevski, Z.; Spicek Macan, J.; Konosic, S.; Gasparovic, H.; Samarzija, M. Lung Transplantation at the University Hospital Center Zagreb in Croatia. Acta Medica Croat. Čas. Akad. Med. Znan. Hrvat. 2022, 76, 221–230. [Google Scholar]
- Snell, G.I.; Yusen, R.D.; Weill, D.; Strueber, M.; Garrity, E.; Reed, A.; Pelaez, A.; Whelan, T.P.; Perch, M.; Bag, R.; et al. Report of the ISHLT Working Group on Primary Lung Graft Dysfunction, Part I: Definition and Grading—A 2016 Consensus Group Statement of the International Society for Heart and Lung Transplantation. J. Heart Lung Transplant. 2017, 36, 1097–1103. [Google Scholar] [CrossRef]
- Glanville, A.R.; Verleden, G.M.; Todd, J.L.; Benden, C.; Calabrese, F.; Gottlieb, J.; Hachem, R.R.; Levine, D.; Meloni, F.; Palmer, S.M.; et al. Chronic Lung Allograft Dysfunction: Definition and Update of Restrictive Allograft Syndrome-A Consensus Report from the Pulmonary Council of the ISHLT. J. Heart Lung Transplant. 2019, 38, 483–492. [Google Scholar] [CrossRef]
- Gallacher, D. SurvInt: A Simple Tool to Obtain Precise Parametric Survival Extrapolations. BMC Med. Inform. Decis. Mak. 2024, 24, 76. [Google Scholar] [CrossRef] [PubMed]
- Chambers, D.C.; Cherikh, W.S.; Harhay, M.O.; Hayes, D.; Hsich, E.; Khush, K.K.; Meiser, B.; Potena, L.; Rossano, J.W.; Toll, A.E.; et al. The International Thoracic Organ Transplant Registry of the International Society for Heart and Lung Transplantation: Thirty-Sixth Adult Lung and Heart-Lung Transplantation Report-2019; Focus Theme: Donor and Recipient Size Match. J. Heart Lung Transplant. 2019, 38, 1042–1055. [Google Scholar] [CrossRef] [PubMed]
- Bos, S.; Vos, R.; Van Raemdonck, D.E.; Verleden, G.M. Survival in Adult Lung Transplantation: Where Are We in 2020? Curr. Opin. Organ Transplant. 2020, 25, 268–273. [Google Scholar] [CrossRef] [PubMed]
- Aburahma, K.; de Manna, N.D.; Kuehn, C.; Salman, J.; Greer, M.; Ius, F. Pushing the Survival Bar Higher: Two Decades of Innovation in Lung Transplantation. J. Clin. Med. 2024, 13, 5516. [Google Scholar] [CrossRef] [PubMed]
- Singer, J.P.; Soong, A.; Chen, J.; Shrestha, P.; Zhuo, H.; Gao, Y.; Greenland, J.R.; Hays, S.R.; Kukreja, J.; Golden, J.; et al. Development and Preliminary Validation of the Lung Transplant Quality of Life (LT-QOL) Survey. Am. J. Respir. Crit. Care Med. 2019, 199, 1008–1019. [Google Scholar] [CrossRef] [PubMed]
- Moreno Garijo, J.; Cypel, M.; McRae, K.; Machuca, T.; Cunningham, V.; Slinger, P. The Evolving Role of Extracorporeal Membrane Oxygenation in Lung Transplantation: Implications for Anesthetic Management. J. Cardiothorac. Vasc. Anesth. 2019, 33, 1995–2006. [Google Scholar] [CrossRef]
- Rando, H.J.; Fanning, J.P.; Cho, S.M.; Kim, B.S.; Whitman, G.; Bush, E.L.; Keller, S.P. Extracorporeal Membrane Oxygenation as a Bridge to Lung Transplantation: Practice Patterns and Patient Outcomes. J. Heart Lung Transplant. 2023, 43, 77. [Google Scholar] [CrossRef]
- Hoetzenecker, K.; Benazzo, A.; Stork, T.; Sinn, K.; Schwarz, S.; Schweiger, T.; Klepetko, W.; Kifjak, D.; Baron, D.M.; Hager, H.; et al. Bilateral Lung Transplantation on Intraoperative Extracorporeal Membrane Oxygenator: An Observational Study. J. Thorac. Cardiovasc. Surg. 2020, 160, 320–327.e1. [Google Scholar] [CrossRef]
- Li, D.; Weinkauf, J.; Kapasi, A.; Hirji, A.; Varughese, R.; Lien, D.; Nagendran, J.; Halloran, K. Baseline Lung Allograft Dysfunction in Primary Graft Dysfunction Survivors after Lung Transplantation. Respir. Med. 2021, 188, 106617. [Google Scholar] [CrossRef]
- Hunt, M.L.; Cantu, E. Primary Graft Dysfunction After Lung Transplantation. Curr. Opin. Organ. Transplant. 2023, 28, 180. [Google Scholar] [CrossRef]
- Marshall, M.B.; Kohman, L.J. Gender and Lung Transplantation: Size Matters, Does Sex? J. Thorac. Cardiovasc. Surg. 2004, 128, 352–353. [Google Scholar] [CrossRef][Green Version]
- Hertz, M.I.; Taylor, D.O.; Trulock, E.P.; Boucek, M.M.; Mohacsi, P.J.; Edwards, L.B.; Keck, B.M. The Registry of the International Society for Heart And Lung Transplantation: Nineteenth Official Report—2002. J. Heart Lung Transplant. 2002, 21, 950–970. [Google Scholar] [CrossRef]
- Trulock, E.P.; Edwards, L.B.; Taylor, D.O.; Boucek, M.M.; Mohacsi, P.J.; Keck, B.M.; Hertz, M.I. The Registry of the International Society for Heart and Lung Transplantation: Twentieth Official Adult Lung and Heart-Lung Transplant Report—2003. J. Heart Lung Transplant. 2003, 22, 625–635. [Google Scholar] [CrossRef]
- Tian, D.; Wang, Y.; Shiiya, H.; Sun, C.B.; Uemura, Y.; Sato, M.; Nakajima, J. Outcomes of Marginal Donors for Lung Transplantation after Ex Vivo Lung Perfusion: A Systematic Review and Meta-Analysis. J. Thorac. Cardiovasc. Surg. 2020, 159, 720–730.e6. [Google Scholar] [CrossRef]
- Loor, G.; Warnecke, G.; Villavicencio, M.A.; Smith, M.A.; Zhou, X.; Kukreja, J.; Ardehali, A.; Hartwig, M.G.; Daneshmand, M.A.; Hertz, M.I.; et al. Long-Term Outcomes of the International EXPAND Trial of Organ Care System (OCS) Lung Preservation for Lung Transplantation. eClinicalMedicine 2025, 85, 103334. [Google Scholar] [CrossRef]
- Pergolizzi, C.; Lazzeri, C.; Marianello, D.; Biuzzi, C.; Irene, C.; Puddu, A.; Bargagli, E.; Bennett, D.; Catelli, C.; Luzzi, L.; et al. Strategies for Maximising Lung Utilisation in Donors After Brain and Cardiac Death: A Narrative Review. J. Clin. Med. 2025, 14, 5380. [Google Scholar] [CrossRef]


| All Subjects (n = 35) | |
|---|---|
| Age (years) | 55 (50–59) |
| <40 | 3 (8.6%) |
| 40–60 | 26 (74.3%) |
| >60 | 6 (17.1%) |
| Female | 7 (20%) |
| Height (cm) | 1.72 ± 0.1 |
| Body mass index (kg/m2) | 23.8 ± 3 |
| <18.5 | 1 (2.9%) |
| 18.5–24.9 | 20 (57.1%) |
| 25.0–29.9 | 13 (37.1%) |
| 30.0–40 | 1 (2.9%) |
| Arterial hypertension | 7 (20%) |
| Pulmonary hypertension | 15 (42.9%) |
| Diabetes | 4 (11.4%) |
| Dyslipidemia | 2 (5.7%) |
| Long-term oxygen therapy (L/min) | 2 (1–3.5) |
| Non-invasive positive pressure ventilation | 6 (17) |
| 6 min walk (m) | 194 ± 107 |
| <150 | 11 (31.4%) |
| 150–300 | 18 (51.4%) |
| >300 | 6 (17.1%) |
| Underlying disease | |
| Chronic obstructive pulmonary disease | 16 (45.7%) |
| Idiopathic pulmonary fibrosis | 13 (37.1%) |
| Pulmonary hypertension | 2 (5.7%) |
| Cystic fibrosis | 1 (2.9%) |
| Others | 3 (8.6%) |
| All Subjects (n = 35) | |
|---|---|
| Age (years) | 41 ± 13 |
| <40 | 13 (37.1%) |
| 40–60 | 19 (54.3%) |
| >60 | 3 (8.6%) |
| Female | 17 (49%) |
| Height (cm) | 1.73 ± 0.09 |
| Body mass index (kg/m2) | 25.3 ± 3.5 |
| <18.5 | 1 (2.9%) |
| 18.5–24.9 | 15 (42.9%) |
| 25.0–29.9 | 17 (48.6%) |
| 30.0–40 | 3 (8.6%) |
| Arterial hypertension | 9 (25.7%) |
| Diabetes | 3 (8.6%) |
| Intravenous drug abuse | 1 (2.9%) |
| Alcohol abuse | 9 (25.7%) |
| Cytomegalovirus | 31 (88.6%) |
| All Subjects (n = 35) | |
|---|---|
| Length of mechanical ventilation (days) | 3.5 (2.5–5.6) |
| Length of ICU stay (days) | 6 (4–8) |
| Length of hospital stay (days) | 30 (25–43) |
| 30-day mortality | 2 (5.7%) |
| No PGD (n = 22) | PGD (n = 13) | p Value | |
|---|---|---|---|
| Recipient characteristics | |||
| Age (years) | 56 (51–58) | 52 (44–62) | 0.933 |
| Female | 4 (18.2%) | 3 (23.1%) | 1.000 |
| Height (cm) | 1.73 ± 0.11 | 1.71 ± 0.07 | 0.584 |
| Body mass index (kg/m2) | 23.5 ± 2.9 | 24.5 ± 3.1 | 0.363 |
| Arterial hypertension | 5 (22.7%) | 2 (15.4%) | 0.689 |
| Pulmonary hypertension | 9 (40.9%) | 6 (46.2%) | 1.000 |
| Diabetes | 3 (13.6%) | 1 (7.7%) | 1.000 |
| Dyslipidemia | 0 (0%) | 2 (15.4%) | 0.131 |
| Long-term oxygen (L/min) | 2 (1–2) | 2 (2–4) | 0.091 |
| Non-invasive positive pressure ventilation | 2 (9.1%) | 4 (30.8%) | 0.166 |
| 6 min walk (m) | 234 ± 100 | 126 ± 82 | 0.002 |
| Chronic obstructive pulmonary disease | 12 (54.5%) | 4 (40.8%) | 0.293 |
| Idiopathic pulmonary fibrosis | 8 (36.4%) | 5 (38.5%) | 1.000 |
| Pulmonary hypertension | 0 (0%) | 2 (15.4%) | 0.131 |
| Cystic fibrosis | 0 (0%) | 1 (7.7%) | 0.371 |
| Other | 2 (9.1%) | 1 (7.7%) | 1.000 |
| Donor characteristics | |||
| Age (years) | 39 ± 14 | 45 ± 11 | 0.198 |
| Female | 9 (40.9%) | 8 (61.5%) | 0.305 |
| Height (cm) | 1.74 ± 0.1 | 1.72 ± 0.05 | 0.425 |
| Body mass index (kg/m2) | 25.8 ± 4.1 | 24.6 ± 2.2 | 0.288 |
| Arterial hypertension | 7 (31.8%) | 2 (15.4%) | 0.431 |
| Diabetes | 2 (9.1%) | 1 (7.7%) | 1.000 |
| Intravenous drug abuse | 1 (4.5%) | 0 (0%) | 1.000 |
| Alcohol abuse | 5 (22.7%) | 4 (30.8%) | 0.698 |
| Cytomegalovirus | 19 (86.4%) | 12 (92.3%) | 1.000 |
| Outcomes | |||
| Length of mechanical ventilation (days) | 2.7 (2.1–3.6) | 5.8 (5.2–9.6) | <0.001 |
| Length of ICU stay (days) | 5 (4–6) | 8 (6–10) | 0.004 |
| Length of hospital stay (days) | 27 (24–35) | 41 (29–61) | 0.057 |
| 30-day mortality | 0 (0%) | 2 (15.4%) | 0.131 |
Disclaimer/Publisher’s Note: The statements, opinions and data contained in all publications are solely those of the individual author(s) and contributor(s) and not of MDPI and/or the editor(s). MDPI and/or the editor(s) disclaim responsibility for any injury to people or property resulting from any ideas, methods, instructions or products referred to in the content. |
© 2025 by the authors. Licensee MDPI, Basel, Switzerland. This article is an open access article distributed under the terms and conditions of the Creative Commons Attribution (CC BY) license (https://creativecommons.org/licenses/by/4.0/).
Share and Cite
Kopjar, T.; Dzubur, F.; Hirsl, D.; Glodic, G.; Madzarac, G.; Planinc, M.; Spicek Macan, J.; Colak, Z.; Gasparovic, H.; Samarzija, M. Intraoperative Extracorporeal Life Support for Bilateral Sequential Lung Transplantation. J. Clin. Med. 2025, 14, 8315. https://doi.org/10.3390/jcm14238315
Kopjar T, Dzubur F, Hirsl D, Glodic G, Madzarac G, Planinc M, Spicek Macan J, Colak Z, Gasparovic H, Samarzija M. Intraoperative Extracorporeal Life Support for Bilateral Sequential Lung Transplantation. Journal of Clinical Medicine. 2025; 14(23):8315. https://doi.org/10.3390/jcm14238315
Chicago/Turabian StyleKopjar, Tomislav, Feda Dzubur, Dorian Hirsl, Goran Glodic, Goran Madzarac, Mislav Planinc, Jasna Spicek Macan, Zeljko Colak, Hrvoje Gasparovic, and Miroslav Samarzija. 2025. "Intraoperative Extracorporeal Life Support for Bilateral Sequential Lung Transplantation" Journal of Clinical Medicine 14, no. 23: 8315. https://doi.org/10.3390/jcm14238315
APA StyleKopjar, T., Dzubur, F., Hirsl, D., Glodic, G., Madzarac, G., Planinc, M., Spicek Macan, J., Colak, Z., Gasparovic, H., & Samarzija, M. (2025). Intraoperative Extracorporeal Life Support for Bilateral Sequential Lung Transplantation. Journal of Clinical Medicine, 14(23), 8315. https://doi.org/10.3390/jcm14238315

