The Role of Oxytocin and Sex in Analgesic Placebo-Response: Exploratory Analysis from a Sham Randomized Clinical Trial in Chronic Back-Pain Patients †
Abstract
1. Introduction
2. Materials and Methods
2.1. Participants
2.2. Study Design
2.3. Placebo Manipulation
2.4. Pain Assessment and Calculation of Placebo Response
2.5. Saliva Collection and Oxytocin Measurement
2.6. Course of the Study Visit
2.7. Consent to Participate
2.8. Ethical Considerations
2.9. Statistical Analyses
3. Results
3.1. Sample Characteristics
3.2. Pain Assessments and Change in Pain Intensity
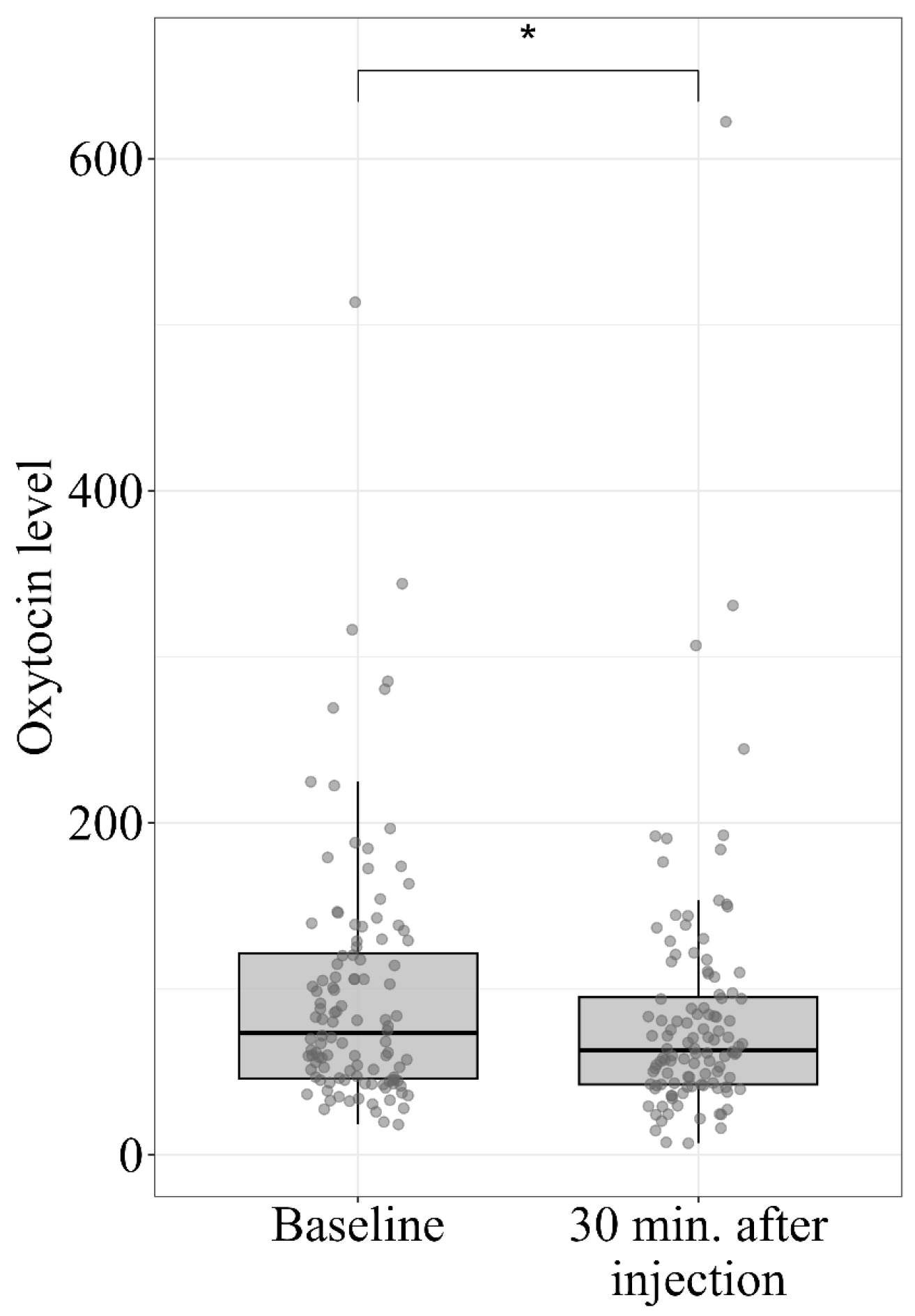
3.3. Salivary Oxytocin Levels
4. Discussion
Supplementary Materials
Author Contributions
Funding
Institutional Review Board Statement
Informed Consent Statement
Data Availability Statement
Acknowledgments
Conflicts of Interest
References
- Saes-Silva, E.; Vieira, Y.P.; Saes, M.D.O.; Meucci, R.D.; Aikawa, P.; Cousin, E.; da Silva, L.M.A.; Dumith, S.C. Epidemiology of chronic back pain among adults and elderly from Southern Brazil: A cross-sectional study. Braz. J. Phys. Ther. 2020, 25, 344. [Google Scholar] [CrossRef]
- Johannes, C.B.; Le, T.K.; Zhou, X.; Johnston, J.A.; Dworkin, R.H. The Prevalence of Chronic Pain in United States Adults: Results of an Internet-Based Survey. J. Pain 2010, 11, 1230–1239. [Google Scholar] [CrossRef]
- Breivik, H.; Collett, B.; Ventafridda, V.; Cohen, R.; Gallacher, D. Survey of chronic pain in Europe: Prevalence, impact on daily life, and treatment. Eur. J. Pain 2006, 10, 287–333. [Google Scholar] [CrossRef]
- Simon, L.S. Relieving pain in America: A Blueprint for transforming prevention, care, education, and research. J. Pain Palliat. Care Pharmacother. 2012, 26, 197–198. [Google Scholar] [CrossRef]
- Oliveira, C.B.; Maher, C.G.; Pinto, R.Z.; Traeger, A.C.; Lin, C.W.C.; Chenot, J.F.; van Tulder, M.; Koes, B.W. Clinical practice guidelines for the management of non-specific low back pain in primary care: An updated overview. Eur. Spine J. 2018, 27, 2791–2803. [Google Scholar] [CrossRef]
- Chou, R.; Deyo, R.; Friedly, J.; Skelly, A.; Hashimoto, R.; Weimer, M.; Fu, R.; Dana, T.; Kraegel, P.; Griffin, J.; et al. Noninvasive Treatments for Low Back Pain—Comparative Effectiveness Reviews; 16-EHC004-EF; Agency for Healthcare Research and Quality (US): Rockville, MD, USA, 2016. Available online: https://www.ncbi.nlm.nih.gov/books/NBK350276/ (accessed on 1 October 2025).
- Atlas, L.Y.; Wager, T.D. How expectations shape pain. Neurosci. Lett. 2012, 520, 140–148. [Google Scholar] [CrossRef]
- Carlino, E.; Benedetti, F. Different contexts, different pains, different experiences. Neuroscience 2016, 338, 19–26. [Google Scholar] [CrossRef]
- Colloca, L. The Placebo Effect in Pain Therapies. Annu. Rev. Pharmacol. Toxicol. 2019, 59, 191–211. [Google Scholar] [CrossRef]
- Colloca, L.; Klinger, R.; Flor, H.; Bingel, U. Placebo analgesia: Psychological and neurobiological mechanisms. Pain 2013, 154, 511–514. [Google Scholar] [CrossRef]
- Colloca, L.; Miller, F.G. Role of expectations in health. Curr. Opin. Psychiatry 2011, 24, 149–155. [Google Scholar] [CrossRef]
- Medoff, Z.M.; Colloca, L. Placebo analgesia: Understanding the mechanisms. Pain Manag. 2015, 5, 89–96. [Google Scholar] [CrossRef]
- Evers, A.W.M.; Colloca, L.; Blease, C.; Annoni, M.; Atlas, L.Y.; Benedetti, F.; Bingel, U.; Büchel, C.; Carvalho, C.; Colagiuri, B.; et al. Implications of placebo and nocebo effects for clinical practice: Expert consensus. Psychother. Psychosom. 2018, 87, 204–210. [Google Scholar] [CrossRef]
- Howe, L.C.; Goyer, J.P.; Crum, A.J. Harnessing the placebo effect: Exploring the influence of physician characteristics on placebo response. Health Psychol. 2017, 36, 1074–1082. [Google Scholar] [CrossRef]
- Kaptchuk, T.J.; Kelley, J.M.; Conboy, L.A.; Davis, R.B.; Kerr, C.E.; Jacobson, E.E.; Kirsch, I.; Schyner, R.N.; Bong, H.N.; Nguyen, L.T.; et al. Components of placebo effect: Randomised controlled trial in patients with irritable bowel syndrome. BMJ 2008, 336, 999–1003. [Google Scholar] [CrossRef] [PubMed]
- Ring, D.; Johnston, S.C. Your Best Life: Resiliency and the Art of Medicine. Clin. Orthop. Relat. Res. 2018, 476, 937–939. [Google Scholar] [CrossRef]
- Shani, A.; Granot, M.; Mochalov, G.; Raviv, B.; Rahamimov, N. Matching actual treatment with patient administration-route-preference improves analgesic response among acute low back pain patients—A randomized prospective trial. J. Orthop. Surg. Res. 2020, 15, 85. [Google Scholar] [CrossRef] [PubMed]
- Enck, P.; Klosterhalfen, S. The story of O—Is oxytocin the mediator of the placebo response? Neurogastroenterol. Motil. 2009, 21, 347–350. [Google Scholar] [CrossRef] [PubMed]
- Froemke, R.C.; Young, L.J. Oxytocin, Neural Plasticity, and Social Behavior. Annu. Rev. Neurosci. 2021, 44, 359–381. [Google Scholar] [CrossRef]
- Bartz, J.A.; Zaki, J.; Bolger, N.; Ochsner, K.N. Social effects of oxytocin in humans: Context and person matter. Trends Cogn. Sci. 2011, 15, 301–309. [Google Scholar] [CrossRef]
- Crockford, C.; Deschner, T.; Ziegler, T.E.; Wittig, R.M. Endogenous peripheral oxytocin measures can give insight into the dynamics of social relationships: A review. Front. Behav. Neurosci. 2014, 8, 68. [Google Scholar] [CrossRef]
- McCullough, M.E.; Churchland, P.S.; Mendez, A.J. Problems with measuring peripheral oxytocin: Can the data on oxytocin and human behavior be trusted? Neurosci. Biobehav. Rev. 2013, 37, 1485–1492. [Google Scholar] [CrossRef] [PubMed]
- Itskovich, E.; Bowling, D.L.; Garner, J.P.; Parker, K.J. Oxytocin and the social facilitation of placebo effects. Mol. Psychiatry 2022, 27, 2640–2649. [Google Scholar] [CrossRef]
- Macdonald, K.; Macdonald, T.M. The peptide that binds: A systematic review of oxytocin and its prosocial effects in humans. Harv. Rev. Psychiatry 2010, 18, 1–21. [Google Scholar] [CrossRef]
- Uvnäs-Moberg, K.; Handlin, L.; Petersson, M. Self-soothing behaviors with particular reference to oxytocin release induced by non-noxious sensory stimulation. Front. Psychol. 2015, 5, 1529. [Google Scholar] [CrossRef]
- Jurek, B.; Neumann, I.D. The Oxytocin Receptor: From Intracellular Signaling to Behavior. Physiol. Rev. 2018, 98, 1805–1908. [Google Scholar] [CrossRef]
- Scheele, D.; Wille, A.; Kendrick, K.M.; Stoffel-Wagner, B.; Becker, B.; Güntürkün, O.; Maier, W.; Hurlemann, R. Oxytocin enhances brain reward system responses in men viewing the face of their female partner. Proc. Natl. Acad. Sci. USA 2013, 110, 20308–20313. [Google Scholar] [CrossRef]
- Boll, S.; de Minas, A.C.A.; Raftogianni, A.; Herpertz, S.C.; Grinevich, V. Oxytocin and Pain Perception: From Animal Models to Human Research. Neuroscience 2018, 387, 149–161. [Google Scholar] [CrossRef]
- Anderberg, U.M.; Uvnäs-Moberg, K. Plasma oxytocin levels in female fibromyalgia syndrome patients. Z. Rheumatol. 2000, 59, 373–379. [Google Scholar] [CrossRef] [PubMed]
- Alfvén, G. Plasma oxytocin in children with recurrent abdominal pain. J. Pediatr. Gastroenterol. Nutr. 2004, 38, 513–517. [Google Scholar] [CrossRef]
- Aygün, O.; Mohr, E.; Duff, C.; Matthew, S.; Schoenberg, P. Oxytocin Modulation in Mindfulness-Based Pain Management for Chronic Pain. Life 2024, 14, 253. [Google Scholar] [CrossRef] [PubMed]
- Ono, D.; Matsusaki, T.; Matsuoka, Y.; Kaku, R.; Morimatsu, H. A Pilot Study of Urine Oxytocin as an Objective Biomarker for Chronic Pain. Ann. Neurosci. 2024, 32, 0972753123. [Google Scholar] [CrossRef]
- Yang, J. Intrathecal administration of oxytocin induces analgesia in low back pain involving the endogenous opiate peptide system. Spine 1994, 19, 867–871. [Google Scholar] [CrossRef]
- Colloca, L.; Pine, D.S.; Ernst, M.; Miller, F.G.; Grillon, C. Vasopressin Boosts Placebo Analgesic Effects in Women: A Randomized Trial. Biol. Psychiatry 2016, 79, 794–802. [Google Scholar] [CrossRef]
- Kessner, S.; Sprenger, C.; Wrobel, N.; Wiech, K.; Bingel, U. Effect of oxytocin on placebo analgesia: A randomized study. JAMA 2013, 310, 1733–1735. [Google Scholar] [CrossRef]
- Skvortsova, A.; Veldhuijzen, D.S.; Van Middendorp, H.; Van den Bergh, O.; Evers, A.W.M. Enhancing Placebo Effects in Somatic Symptoms Through Oxytocin. Psychosom. Med. 2018, 80, 353–360. [Google Scholar] [CrossRef] [PubMed]
- Mekhael, A.A.; Bent, J.E.; Fawcett, J.M.; Campbell, T.S.; Aguirre-Camacho, A.; Farrell, A.; Rash, J.A. Evaluating the efficacy of oxytocin for pain management: An updated systematic review and meta-analysis of randomized clinical trials and observational studies. Can. J. Pain 2023, 7, 2191114. [Google Scholar] [CrossRef]
- Fischer-Shofty, M.; Levkovitz, Y.; Shamay-Tsoory, S.G. Oxytocin facilitates accurate perception of competition in men and kinship in women. Soc. Cogn. Affect. Neurosci. 2013, 8, 313–317. [Google Scholar] [CrossRef] [PubMed]
- Hoge, E.A.; Anderson, E.; Lawson, E.A.; Bui, E.; Fischer, L.E.; Khadge, S.D.; Barrett, L.F.; Simon, N.M. Gender moderates the effect of oxytocin on social judgments. Hum. Psychopharmacol. 2014, 29, 299–304. [Google Scholar] [CrossRef] [PubMed]
- Procyshyn, T.L.; Dupertuys, J.; Bartz, J.A. Neuroimaging and behavioral evidence of sex-specific effects of oxytocin on human sociality. Trends Cogn. Sci. 2024, 28, 948–961. [Google Scholar] [CrossRef]
- Gimpl, G.; Fahrenholz, F. The oxytocin receptor system: Structure, function, and regulation. Physiol. Rev. 2001, 81, 629–683. [Google Scholar] [CrossRef]
- Nakajima, D.; Yamachi, M.; Misaka, S.; Shimomura, K.; Maejima, Y. Sex differences in the effects of aromatherapy on anxiety and salivary oxytocin levels. Front. Endocrinol. 2024, 15, 1380779. [Google Scholar] [CrossRef]
- Harden, R.N.; Saracoglu, M.; Connolly, S.; Kirsling, A.; Comstock, K.; Khazey, K.; Gerson, T.; Burns, J. “Managing” the Placebo Effect: The Single-Blind Placebo Lead-in Response in Two Pain Models. Pain Med. 2016, 17, 2305–2310. [Google Scholar] [CrossRef][Green Version]
- Weimer, K.; Colloca, L.; Enck, P. Placebo effects in psychiatry: Mediators and moderators. Lancet Psychiatry 2015, 2, 246–257. [Google Scholar] [CrossRef]
- Shafir, R.; Olson, E.; Colloca, L. The neglect of sex: A call to action for including sex as a biological variable in placebo and nocebo research. Contemp. Clin. Trials 2022, 116, 106734. [Google Scholar] [CrossRef] [PubMed]
- Vase, L.; Vollert, J.; Finnerup, N.B.; Miao, X.; Atkinson, G.; Marshall, S.; Nemeth, R.; Lange, B.; Liss, C.; Price, D.D.; et al. Predictors of the placebo analgesia response in randomized controlled trials of chronic pain: A meta-analysis of the individual data from nine industrially sponsored trials. Pain 2015, 156, 1795–1802. [Google Scholar] [CrossRef]
- Zhou, L.; Wei, H.; Zhang, H.; Li, X.; Bo, C.; Wan, L.; Lu, X.; Hu, L. The Influence of Expectancy Level and Personal Characteristics on Placebo Effects: Psychological Underpinnings. Front. Psychiatry 2019, 10, 20. [Google Scholar] [CrossRef] [PubMed]
- Enck, P.; Klosterhalfen, S. Does sex/gender play a role in placebo and nocebo effects? Conflicting evidence from clinical trials and experimental studies. Front. Neurosci. 2019, 13, 160. [Google Scholar] [CrossRef]
- Fillingim, R.B.; King, C.D.; Ribeiro-Dasilva, B.; Rahim-Williams, M.C.; Riley, J.L., 3rd. Sex, gender, and pain: A review of recent clinical and experimental findings. J. Pain 2009, 10, 447–485. [Google Scholar] [CrossRef]
- Shani, A.; Granot, M.; Agostinho, M.R.; Rahamimov, N.; Treister, R. The prediction of the analgesic placebo response is moderated by outward-focused attention: A sham, randomized clinical trial of chronic back pain patients. J. Pain 2025, 27, 104761. [Google Scholar] [CrossRef]
- Fouly, H.; Herdan, R.; Habib, D.; Yeh, C. Effectiveness of injecting lower dose subcutaneous sterile water versus saline to relief labor back pain: Randomized controlled trial. Eur. J. Midwifery 2018, 2, 3. [Google Scholar] [CrossRef] [PubMed]
- Bahasadri, S.; Ahmadi-Abhari, S.; Dehghani-Nik, M.; Habibi, G.R. Subcutaneous sterile water injection for labour pain: A randomised controlled trial. Aust. N. Z. J. Obstet. Gynaecol. 2006, 46, 102–106. [Google Scholar] [CrossRef]
- Smith, S.M.; Dworkin, R.H.; Turk, D.C.; McDermott, M.P.; Eccleston, C.; Farrar, J.T.; Rowbotham, M.C.; Bhagwagar, Z.; Burke, L.B.; Cowan, P.; et al. Interpretation of chronic pain clinical trial outcomes: IMMPACT recommended considerations. Pain 2020, 161, 2446. [Google Scholar] [CrossRef]
- Ferreira-Valente, M.A.; Pais-Ribeiro, J.L.; Jensen, M.P. Validity of four pain intensity rating scales. Pain 2011, 152, 2399–2404. [Google Scholar] [CrossRef]
- Byrom, B.; Elash, C.A.; Eremenco, S.; Bodart, S.; Muehlhausen, W.; Platko, J.V.; Watson, C.; Howry, C. Measurement Comparability of Electronic and Paper Administration of Visual Analogue Scales: A Review of Published Studies. Ther. Innov. Regul. Sci. 2022, 56, 394. [Google Scholar] [CrossRef]
- Sanders, G.; Freilicher, J.; Lightman, S.L. Psychological stress of exposure to uncontrollable noise increases plasma oxytocin in high emotionality women. Psychoneuroendocrinology 1990, 15, 47–58. [Google Scholar] [CrossRef] [PubMed]
- Skvortsova, A.; Veldhuijzen, D.S.; van Middendorp, H.; Colloca, L.; Evers, A.W.M. Effects of Oxytocin on Placebo and Nocebo Effects in a Pain Conditioning Paradigm: A Randomized Controlled Trial. J. Pain 2020, 21, 430–439. [Google Scholar] [CrossRef] [PubMed]
- Liu, C.; Huang, Y.; Chen, L.; Yu, R. Lack of Evidence for the Effect of Oxytocin on Placebo Analgesia and Nocebo Hyperalgesia. Psychother. Psychosom. 2020, 89, 185–187. [Google Scholar] [CrossRef]
- Ohlsson, B.; Truedsson, M.; Bengtsson, M.; Torstenson, R.; Sjölund, K.; Björnsson, E.S.; Simrèn, M. Effects of long-term treatment with oxytocin in chronic constipation; a double blind, placebo-controlled pilot trial. Neurogastroenterol. Motil. 2005, 17, 697–704. [Google Scholar] [CrossRef] [PubMed]
- Hung, L.W.; Neuner, S.; Polepalli, J.S.; Beier, K.T.; Wright, M.; Walsh, J.J.; Lewis, E.M.; Luo, L.; Deisseroth, K.; Dölen, G.; et al. Gating of social reward by oxytocin in the ventral tegmental area. Science 2017, 357, 1406–1411. [Google Scholar] [CrossRef]
- Song, Z.; Borland, J.M.; Larkin, T.E.; O’Malley, M.; Albers, H.E. Activation of oxytocin receptors, but not arginine-vasopressin V1a receptors, in the ventral tegmental area of male Syrian hamsters is essential for the reward-like properties of social interactions. Psychoneuroendocrinology 2016, 74, 164–172. [Google Scholar] [CrossRef]
- Benedetti, F. Placebo Effects: Understanding the Other Side of Medical-Care, 3rd ed.; Oxford University Press: New York, NY, USA, 2021; Available online: https://psycnet.apa.org/record/2021-34479-000 (accessed on 10 December 2020).
- Theodosis-Nobelos, P.; Filotheidou, A.; Triantis, C. The placebo phenomenon and the underlying mechanisms. Hormones 2021, 20, 61–71. [Google Scholar] [CrossRef]
- Bingel, U.; Colloca, L.; Vase, L. Mechanisms and clinical implications of the placebo effect: Is there a potential for the elderly? A mini-review. Gerontology 2011, 57, 354–363. [Google Scholar] [CrossRef]
- Broelz, E.K.; Enck, P.; Niess, A.M.; Schneeweiss, P.; Wolf, S.; Weimer, K. The neurobiology of placebo effects in sports: EEG frontal alpha asymmetry increases in response to a placebo ergogenic aid. Sci. Rep. 2019, 9, 2381. [Google Scholar] [CrossRef]
- Yu, R.; Gollub, R.L.; Vangel, M.; Kaptchuk, T.; Smoller, J.W.; Kong, J. Placebo analgesia and reward processing: Integrating genetics, personality, and intrinsic brain activity. Hum. Brain Mapp. 2014, 35, 4583–4593. [Google Scholar] [CrossRef]
- Hall, K.T.; Loscalzo, J.; Kaptchuk, T.J. Genetics and the placebo effect: The placebome. Trends Mol. Med. 2015, 21, 285–294. [Google Scholar] [CrossRef]
- Burenkova, O.V.; Dolgorukova, T.A.; An, I.; Kustova, T.A.; Podturkin, A.A.; Shurdova, E.M.; Talantseva, O.I.; Zhukova, M.A.; Grigorenko, E.L. Endogenous oxytocin and human social interactions: A systematic review and meta-analysis. Psychol. Bull. 2023, 149, 549–579. [Google Scholar] [CrossRef]
- Sofer, Y.; Zilkha, N.; Gimpel, E.; Wagner, S.; Chuartzman, S.G.; Kimchi, T. Sexually dimorphic oxytocin circuits drive intragroup social conflict and aggression in wild house mice. Nat. Neurosci. 2024, 27, 1565–1573. [Google Scholar] [CrossRef]
- Smith, T.W.; Uchino, B.N.; MacKenzie, J.; Hicks, A.M.; Campo, R.A.; Reblin, M.; Grewen, K.M.; Amico, J.A.; Light, K.C. Effects of couple interactions and relationship quality on plasma oxytocin and cardiovascular reactivity: Empirical findings and methodological considerations. Int. J. Psychophysiol. 2013, 88, 271–281. [Google Scholar] [CrossRef][Green Version]
- Schladt, T.M.; Nordmann, G.C.; Emilius, R.; Kudielka, B.M.; de Jong, T.R.; Neumann, I.D. Choir versus Solo Singing: Effects on Mood, and Salivary Oxytocin and Cortisol Concentrations. Front. Hum. Neurosci. 2017, 14, 430. [Google Scholar] [CrossRef]
- Weisman, O.; Zagoory-Sharon, O.; Feldman, R. Intranasal oxytocin administration is reflected in human saliva. Psychoneuroendocrinology 2012, 37, 1582–1586. [Google Scholar] [CrossRef]
- Carter, C.S. Sex differences in oxytocin and vasopressin: Implications for autism spectrum disorders? Behav. Brain Res. 2007, 176, 170–186. [Google Scholar] [CrossRef]
- Moscovice, L.R.; Surbeck, M.; Fruth, B.; Hohmann, G.; Jaeggi, A.V.; Deschner, T. The cooperative sex: Sexual interactions among female bonobos are linked to increases in oxytocin, proximity and coalitions. Horm. Behav. 2019, 116, 104581. [Google Scholar] [CrossRef]
- McDougall, J.F.; Bailey, N.G.N.; Banga, R.; Linde, L.D.; Kramer, J.L.K. The Influence of Examiner Gender on Responses to Tonic Heat Pain Assessments: A Preliminary Investigation. Front. Pain Res. 2021, 2, 729860. [Google Scholar] [CrossRef]
- Alabas, O.A.; Tashani, O.A.; Tabasam, G.; Johnson, M.I. Gender role affects experimental pain responses: A systematic review with meta-analysis. Eur. J. Pain 2012, 16, 1211–1223. [Google Scholar] [CrossRef]
- Camerone, E.M.; Wiech, K.; Benedetti, F.; Carlino, E.; Job, M.; Scafoglieri, A.; Testa, M. “External timing” of placebo analgesia in an experimental model of sustained pain. Eur. J. Pain 2021, 25, 1303–1315. [Google Scholar] [CrossRef]
- Damien, J.; Colloca, L.; Bellei-Rodriguez, C.É.; Marchand, S. Pain Modulation: From Conditioned Pain Modulation to Placebo and Nocebo Effects in Experimental and Clinical Pain. Int. Rev. Neurobiol. 2018, 139, 255–296. [Google Scholar] [CrossRef]
- McGlashan, T.H.; Evans, F.J.; Orne, M.T. The nature of hypnotic analgesia and placebo response to experimental pain. Psychosom. Med. 1969, 31, 227–246. [Google Scholar] [CrossRef][Green Version]
- Roderigo, T.; Benson, S.; Schöls, M.; Hetkamp, M.; Schedlowski, M.; Enck, P.; Elsenbruch, S. Effects of acute psychological stress on placebo and nocebo responses in a clinically relevant model of visceroception. Pain 2017, 158, 1489–1498. [Google Scholar] [CrossRef]
- Finniss, D.; Nicholas, M.; Brooker, C.; Cousins, M.; Benedetti, F. Magnitude, response, and psychological determinants of placebo effects in chronic low-back pain: A randomised, double-blinded, controlled trial. Pain Rep. 2019, 4, e744. [Google Scholar] [CrossRef]
- ADe Craen, J.M.; Tijssen, J.G.P.; De Gans, J.; Kleijnen, J. Placebo effect in the acute treatment of migraine: Subcutaneous placebos are better than oral placebos. J. Neurol. 2000, 247, 183–188. [Google Scholar] [CrossRef]
- Meissner, K.; Fässler, M.; Rücker, G.; Kleijnen, J.; Hróbjartsson, A.; Schneider, A.; Antes, G.; Linde, K. Differential effectiveness of placebo treatments: A systematic review of migraine prophylaxis. JAMA Intern. Med. 2013, 173, 1941–1951. [Google Scholar] [CrossRef]
- Feldman, R.; Gordon, I.; Zagoory-Sharon, O. Maternal and paternal plasma, salivary, and urinary oxytocin and parent-infant synchrony: Considering stress and affiliation components of human bonding. Dev. Sci. 2011, 14, 752–761. [Google Scholar] [CrossRef]
- Kotov, I.; Bellman, S.B.; Watson, D.B. Multidimensional Iowa Suggestibility Scale (MISS). 2004. Available online: https://renaissance.stonybrookmedicine.edu/sites/default/files/MISSBriefManual.pdf (accessed on 1 October 2025).
- Shields, S.A.; Mallory, M.E.; Simon, A. The Body Awareness Questionnaire: Reliability and Validity. J. Pers. Assess. 1989, 53, 802–815. [Google Scholar] [CrossRef]
- Unal, A.; Altug, F.; Erden, A.; Cavlak, U.; Senol, H. Validity and reliability of the Body Awareness Questionnaire in patients with non-specific chronic low back pain. Acta Neurol. Belg. 2020, 121, 701–705. [Google Scholar] [CrossRef]
- Mehling, W.E.; Price, C.; Daubenmier, J.J.; Acree, M.; Bartmess, E.; Stewart, A. The Multidimensional Assessment of Interoceptive Awareness (MAIA). PLoS ONE 2012, 7, e48230. [Google Scholar] [CrossRef]
- Scheier, M.F.; Carver, C.S. The Self-Consciousness Scale: A Revised Version for Use with General Populations. J. Appl. Soc. Psychol. 1985, 15, 687–699. [Google Scholar] [CrossRef]
- Ruscheweyh, R.; Marziniak, M.; Stumpenhorst, F.; Reinholz, J.; Knecht, S. Pain sensitivity can be assessed by self-rating: Development and validation of the Pain Sensitivity Questionnaire. Pain 2009, 146, 65–74. [Google Scholar] [CrossRef]
- Scheier, M.F.; Carver, C.S.; Bridges, M.W. Distinguishing Optimism from Neuroticism (and Trait Anxiety, Self-Mastery, and Self-Esteem): A Reevaluation of the Life Orientation Test. J. Pers. Soc. Psychol. 1994, 67, 1063–1078. [Google Scholar] [CrossRef]
- Cohen, S.; Kamarck, T.; Mermelstein, R. A global measure of perceived stress. J. Health Soc. Behav. 1983, 24, 385–396. [Google Scholar] [CrossRef]
- Taylor, J.M. Psychometric analysis of the ten-item perceived stress scale. Psychol. Assess. 2015, 27, 90–101. [Google Scholar] [CrossRef]
- Jones, S.M.W.; Lange, J.; Turner, J.; Cherkin, D.; Ritenbaugh, C.; Hsu, C.; Berthoud, H.; Sherman, K. Development and Validation of the EXPECT Questionnaire: Assessing Patient Expectations of Outcomes of Complementary and Alternative Medicine Treatments for Chronic Pain. J. Altern. Complement. Med. 2016, 22, 936–946. [Google Scholar] [CrossRef]
- Yarnitsky, D. Role of endogenous pain modulation in chronic pain mechanisms and treatment. Pain 2015, 156, S24–S31. [Google Scholar] [CrossRef]
- Treister, R.; Eaton, T.A.; Trudeau, J.J.; Elder, H.; Katz, N.P. Development and preliminary validation of the focused analgesia selection test to identify accurate pain reporters. J. Pain Res. 2017, 10, 319–326. [Google Scholar] [CrossRef]
- Woods, D.L.; Kishiyama, M.M.; Yund, E.W.; Herron, T.J.; Edwards, B.; Poliva, O.; Hink, R.F.; Reed, B. Improving digit span assessment of short-term verbal memory. J. Clin. Exp. Neuropsychol. 2011, 33, 101–111. [Google Scholar] [CrossRef] [PubMed]
- Ryan, J.J.; Arb, J.D.; Paul, C.A.; Kreiner, D.S. Reliability of the WAIS-III subtests, indexes, and IQs in individuals with substance abuse disorders. Assessment 2000, 7, 151–156. [Google Scholar] [CrossRef] [PubMed]
- Arendt-Nielsen, L.; Brennum, J.; Sindrup, S.; Bak, P. Electrophysiological and psychophysical quantification of temporal summation in the human nociceptive system. Eur. J. Appl. Physiol. Occup. Physiol. 1994, 68, 266–273. [Google Scholar] [CrossRef]
- Durga, P.; Wudaru, S.R.; Khambam, S.K.R.; Chandra, S.J.; Ramachandran, G. Validation of simple and inexpensive algometry using sphygmomanometer cuff and neuromuscular junction monitor with standardized laboratory algometer. J. Anaesthesiol. Clin. Pharmacol. 2016, 32, 74–79. [Google Scholar] [CrossRef]
- Moss-Morris, R.; Weinman, J.; Petrie, K.; Horne, R.; Cameron, L.; Buick, D. The Revised Illness Perception Questionnaire (IPQ-R). Psychol. Health 2002, 17, 1–16. [Google Scholar] [CrossRef]
- Price, D.D.; Hayes, R.L.; Ruda, M.; Dubner, R. Spatial and temporal transformations of input to spinothalamic tract neurons and their relation to somatic sensations. J. Neurophysiol. 1978, 41, 933–947. [Google Scholar] [CrossRef] [PubMed]





| Characteristics | Mean (SD) | Min–Max |
|---|---|---|
| Age | 56.8 (15.4) | 18–79 |
| Sex | Frequency, N (%) | |
| Male | 55 (49.1) | |
| Female | 57 (50.9) | |
| Pre-menopause (% of the entire cohort) | 17 (15.2) | |
| Post menopause (% of the entire cohort) | 40 (35.7) | |
| Education | ||
| Elementary school | 4 (3.6) | |
| High school | 24 (21.4) | |
| Secondary school/diploma | 37 (33.0) | |
| Academic degree | 47 (42.0) | |
| Marital status | ||
| Unmarried | 28 (25.0) | |
| Married/living with a partner | 84 (75.0) | |
| Employment | ||
| Yes | 65 (58.0) | |
| No | 47 (42.0) | |
| Characteristics | Mean (SD) | Min–Max |
|---|---|---|
| Body mass index | 27.3 (5.2) | 17.8–42.9 |
| Baseline pulse (beats per minute) | 70.8 (9.0) | 48.1–91.9 |
| Baseline systolic blood pressure (mm Hg) | 120.8 (16.4) | 85–160 |
| Baseline diastolic blood pressure (mm Hg) | 70.0 (10.6) | 40–90 |
| Duration of pain | Frequency, N (%) | |
| Less than 6 months | 11 (9.7) | |
| 6 to 12 months | 8 (7.1) | |
| >12 months to 5 years | 39 (34.5) | |
| >5 years | 54 (48.7) | |
| Time Point of Assessment | Mean ± SD | Minimum | Maximum |
|---|---|---|---|
| Baseline | 51.5 ± 23.2 | 9.0 | 100.0 |
| After placebo injection | 31.9 ± 25.0 | 0.0 | 100.0 |
| Pain delta (placebo response) | 1–9.5 ± 17.3 | 7–2.0 | 25.0 |
| Median Oxytocin Level (Quartiles 25, 75) | Z | p | ||
|---|---|---|---|---|
| Baseline | Female | 83.7 (46.0, 134.1) | −1.085 | 0.278 |
| Male | 61.6 (45.1, 114.1) | |||
| 30 min after injection | Female | 57.2 (40.4, 88.4) | −1.545 | 0.122 |
| Male | 69.3 (46.8, 109.1) | |||
| Change | Female | −12 (−49.9, −1.1) | −3.152 | 0.002 |
| Male | 1.2 (−21.9, 21.3) |
| Participants Exhibiting a Decrease in Oxytocin Levels (N = 70) | Participants Exhibiting an Increase in Oxytocin Levels (N = 42) | ||
|---|---|---|---|
|
Median Oxytocin Level (Quartiles 25, 75) |
Median Oxytocin Level (Quartiles 25, 75) | p | |
| Baseline | 84.7 (51.3, 129.3) | 59.2 (41.2, 108.0) | 0.032 |
| 30 min after injection | 56.5 (39.1, 83.2) | 80.6 (57.9, 145.7) | <0.001 |
| Change | −22.2 (−49.5, −8.4) | 20.9 (7.9, 31.1) | <0.001 |
Disclaimer/Publisher’s Note: The statements, opinions and data contained in all publications are solely those of the individual author(s) and contributor(s) and not of MDPI and/or the editor(s). MDPI and/or the editor(s) disclaim responsibility for any injury to people or property resulting from any ideas, methods, instructions or products referred to in the content. |
© 2025 by the authors. Licensee MDPI, Basel, Switzerland. This article is an open access article distributed under the terms and conditions of the Creative Commons Attribution (CC BY) license (https://creativecommons.org/licenses/by/4.0/).
Share and Cite
Mendelson-Keypur, R.; Shani, A.; Granot, M.; Agostinho, M.R.; Paltzur, E.; Treister, R.; Rahamimov, N. The Role of Oxytocin and Sex in Analgesic Placebo-Response: Exploratory Analysis from a Sham Randomized Clinical Trial in Chronic Back-Pain Patients. J. Clin. Med. 2025, 14, 7348. https://doi.org/10.3390/jcm14207348
Mendelson-Keypur R, Shani A, Granot M, Agostinho MR, Paltzur E, Treister R, Rahamimov N. The Role of Oxytocin and Sex in Analgesic Placebo-Response: Exploratory Analysis from a Sham Randomized Clinical Trial in Chronic Back-Pain Patients. Journal of Clinical Medicine. 2025; 14(20):7348. https://doi.org/10.3390/jcm14207348
Chicago/Turabian StyleMendelson-Keypur, Rinat, Adi Shani, Michal Granot, Mariana Ribolhos Agostinho, Eilam Paltzur, Roi Treister, and Nimrod Rahamimov. 2025. "The Role of Oxytocin and Sex in Analgesic Placebo-Response: Exploratory Analysis from a Sham Randomized Clinical Trial in Chronic Back-Pain Patients" Journal of Clinical Medicine 14, no. 20: 7348. https://doi.org/10.3390/jcm14207348
APA StyleMendelson-Keypur, R., Shani, A., Granot, M., Agostinho, M. R., Paltzur, E., Treister, R., & Rahamimov, N. (2025). The Role of Oxytocin and Sex in Analgesic Placebo-Response: Exploratory Analysis from a Sham Randomized Clinical Trial in Chronic Back-Pain Patients. Journal of Clinical Medicine, 14(20), 7348. https://doi.org/10.3390/jcm14207348

