Insights into Orbital Symmetry: A Comprehensive Retrospective Study of 372 Computed Tomography Scans
Abstract
1. Introduction
2. Materials and Methods
2.1. Patient Data
2.2. Segmentation and Analysis
2.3. Statistical Analysis
3. Results
3.1. Comparability of Soft Tissue and Bone Windows
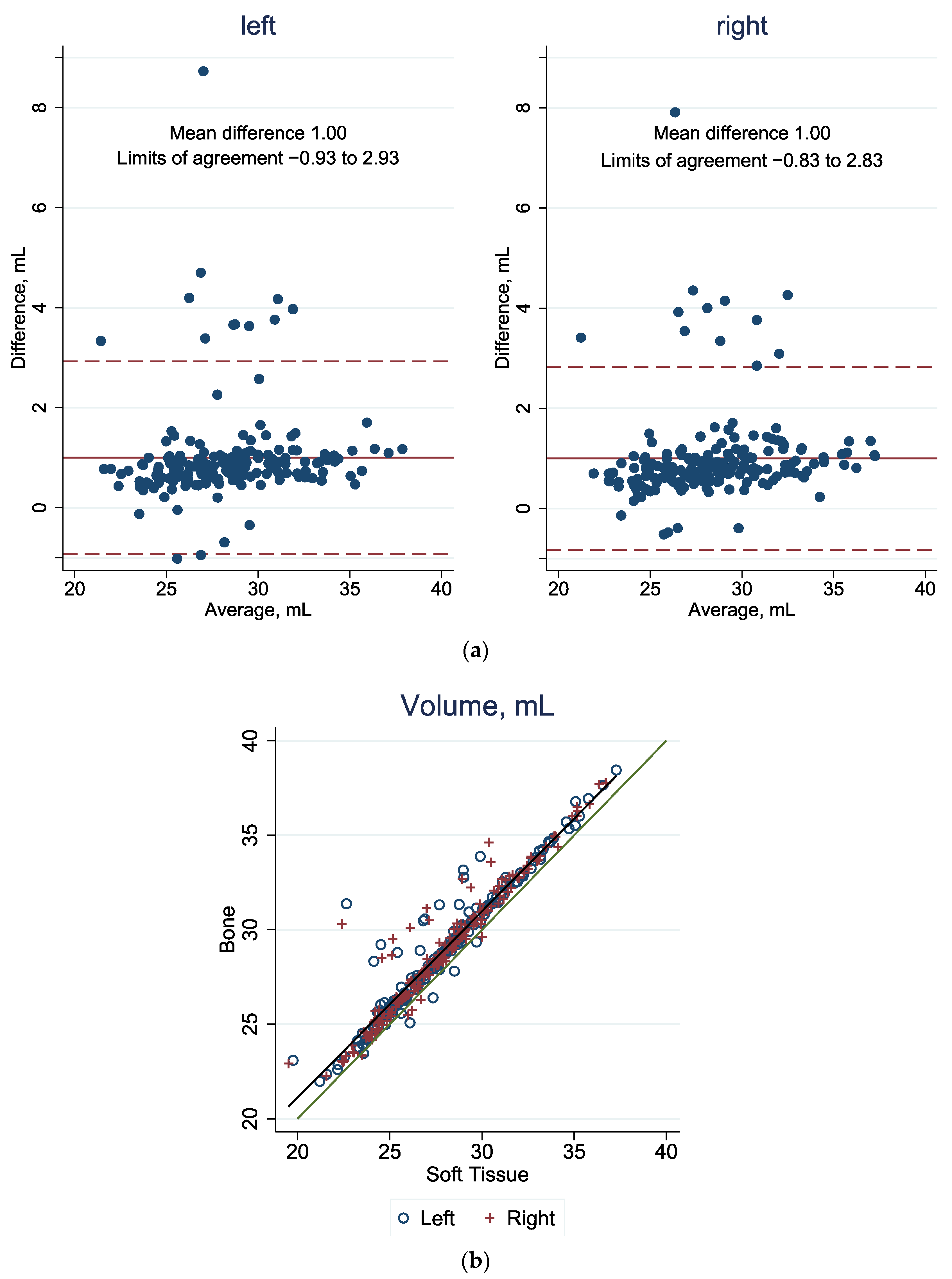
3.1.1. Volume
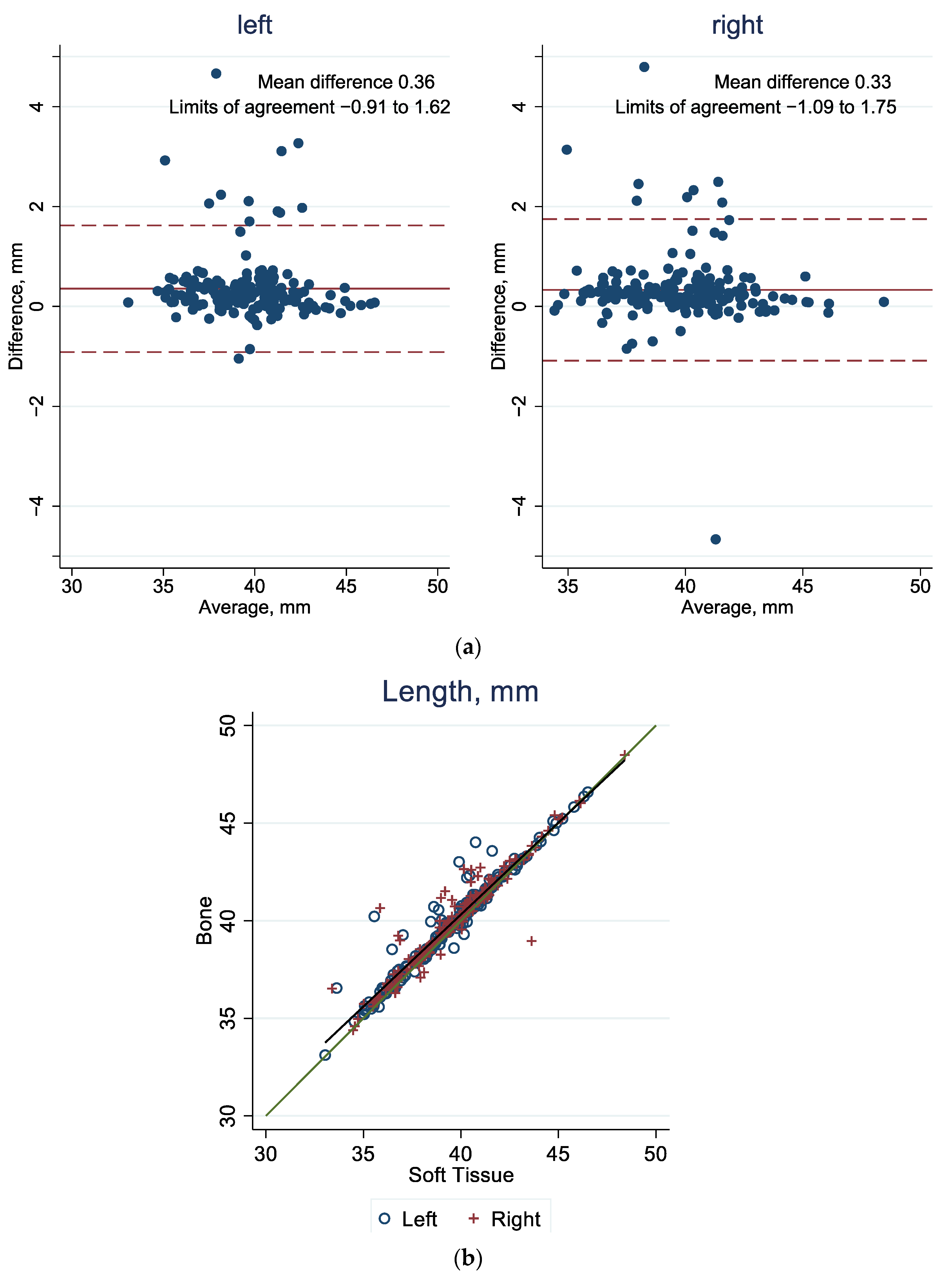
3.1.2. Length
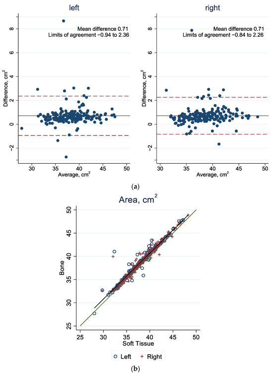
3.1.3. Area
3.1.4. Symmetry
3.2. Effects of Age and Gender on Orbital Volume, Orbital Length, and Orbital Area
3.2.1. Differences in Size of the Volume, Length, and Area of the Orbit by Gender
3.2.2. Development of the Volume, Length, and Area of the Orbit over Age According to Gender
4. Discussion
4.1. Comparability of Soft Tissue and Bone Window
4.2. Symmetry
4.3. Association of Patient Age and Gender with Orbital Volume, Length, and Area
5. Conclusions
Author Contributions
Funding
Institutional Review Board Statement
Informed Consent Statement
Data Availability Statement
Acknowledgments
Conflicts of Interest
Abbreviations
| AI | Artificial intelligence |
| CBCT | Cone-beam computed tomography |
| CI | Confidence interval |
| CMF | Craniomaxillofacial |
| CT | Computed tomography |
| DICOM | Digital imaging and communications in medicine |
| HU | Hounsfield units |
| ICC | Intraclass correlation |
| WL | Window level |
| WW | Window width |
| 3D | Three-dimensional |
Appendix A
| Variable | Slope (95% CI) | p * | Intercept (95% CI) | p * |
|---|---|---|---|---|
| Volume | 0.98 (0.95 to 1.01) | 0.307 | 1.44 (0.59 to 2.28) | 0.001 |
| Length | 0.94 (0.91 to 0.97) | <0.001 | 2.66 (1.56 to 3.75) | <0.001 |
| Area | 0.99 (0.97 to 1.02) | 0.469 | 1.05 (0.13 to 1.97) | 0.026 |
| Slope in Women | Slope in Men | Coefficient (95% CI) | p | ||
|---|---|---|---|---|---|
| Volume | 0.22 (−0.25 to 0.69) | 0.55 (−0.11 to 1.22) | |||
| Age per 10 y | 0.22 (−0.35 to 0.79) | 0.448 | |||
| Sex | 6.22 (1.65 to 10.8) | 0.008 | |||
| Age X Sex | 0.33 (−0.49 to 1.15) | 0.428 | |||
| Length | 0.16 (−0.26 to 0.58) | 0.24 (−0.26 to 0.75) | |||
| Age per 10 y | 0.16 (−0.30 to 0.62) | 0.496 | |||
| Sex | 4.45 (0.77 to 8.14) | 0.018 | |||
| Age X Sex | 0.08 (−0.58 to 0.74) | 0.802 | |||
| Area | 0.20 (−0.32 to 0.72) | 0.56 (−0.12 to 1.24) | |||
| Age per 10 y | 0.02 (−0.40 to 0.80) | 0.516 | |||
| Sex | 6.54 (1.76 to 11.3) | 0.007 | |||
| Age X Sex | 0.36 (−0.49 to 1.22) | 0.408 |
References
- Wagner, M.E.H.; Gellrich, N.-C.; Friese, K.-I.; Becker, M.; Wolter, F.-E.; Lichtenstein, J.T.; Stoetzer, M.; Rana, M.; Essig, H. Model-Based Segmentation in Orbital Volume Measurement with Cone Beam Computed Tomography and Evaluation against Current Concepts. Int. J. Comput. Assist. Radiol. Surg. 2016, 11, 1–9. [Google Scholar] [CrossRef] [PubMed]
- Scolozzi, P.; Jaques, B. Computer-Aided Volume Measurement of Posttraumatic Orbits Reconstructed with AO Titanium Mesh Plates: Accuracy and Reliability. Ophthal. Plast. Reconstr. Surg. 2008, 24, 383–389. [Google Scholar] [CrossRef] [PubMed]
- Metzger, M.C.; Hohlweg-Majert, B.; Schön, R.; Teschner, M.; Gellrich, N.-C.; Schmelzeisen, R.; Gutwald, R. Verification of Clinical Precision after Computer-Aided Reconstruction in Craniomaxillofacial Surgery. Oral Surg. Oral Med. Oral Pathol. Oral Radiol. 2007, 104, e1–e10. [Google Scholar] [CrossRef] [PubMed]
- Giovannetti, F.; Giona, F.; Ungari, C.; Fadda, T.; Barberi, W.; Poladas, G.; Iannetti, G. Langerhans Cell Histiocytosis with Orbital Involvement: Our Experience. J. Oral Maxillofac. Surg. 2009, 67, 212–216. [Google Scholar] [CrossRef]
- Hartwig, S.; Nissen, M.-C.; Voss, J.O.; Doll, C.; Adolphs, N.; Heiland, M.; Raguse, J.D. Clinical Outcome after Orbital Floor Fracture Reduction with Special Regard to Patient’s Satisfaction. Chin. J. Traumatol. Zhonghua Chuang Shang Za Zhi 2019, 22, 155–160. [Google Scholar] [CrossRef]
- Sigron, G.R.; Barba, M.; Chammartin, F.; Msallem, B.; Berg, B.-I.; Thieringer, F.M. Functional and Cosmetic Outcome after Reconstruction of Isolated, Unilateral Orbital Floor Fractures (Blow-Out Fractures) with and without the Support of 3D-Printed Orbital Anatomical Models. J. Clin. Med. 2021, 10, 3509. [Google Scholar] [CrossRef]
- Erdoğan, K.; Tatlisumak, E.; Ovali, G.Y.; Pabuşçu, Y.; Tarhan, S. Age- and Sex-Related Morphometric Changes and Asymmetry in the Orbito-Zygomatic Region. J. Craniofac. Surg. 2021, 32, 768–770. [Google Scholar] [CrossRef] [PubMed]
- Chon, B.; Zhang, K.R.; Hwang, C.J.; Perry, J.D. Longitudinal Changes in Adult Bony Orbital Volume. Ophthal. Plast. Reconstr. Surg. 2020, 36, 243–246. [Google Scholar] [CrossRef]
- Ugradar, S.; Lambros, V. Orbital Volume Increases with Age: A Computed Tomography-Based Volumetric Study. Ann. Plast. Surg. 2019, 83, 693–696. [Google Scholar] [CrossRef]
- Kahn, D.M.; Shaw, R.B. Aging of the Bony Orbit: A Three-Dimensional Computed Tomographic Study. Aesthet. Surg. J. 2008, 28, 258–264. [Google Scholar] [CrossRef]
- Jansen, J.; Schreurs, R.; Dubois, L.; Maal, T.J.J.; Gooris, P.J.J.; Becking, A.G. Orbital Volume Analysis: Validation of a Semi-Automatic Software Segmentation Method. Int. J. Comput. Assist. Radiol. Surg. 2016, 11, 11–18. [Google Scholar] [CrossRef]
- Diaconu, S.C.; Dreizin, D.; Uluer, M.; Mossop, C.; Grant, M.P.; Nam, A.J. The Validity and Reliability of Computed Tomography Orbital Volume Measurements. J. Cranio-Maxillo-Fac. Surg. Off. Publ. Eur. Assoc. Cranio-Maxillo-Fac. Surg. 2017, 45, 1552–1557. [Google Scholar] [CrossRef]
- Chepurnyi, Y.; Chernohorskyi, D.; Prykhodko, D.; Poutala, A.; Kopchak, A. Reliability of Orbital Volume Measurements Based on Computed Tomography Segmentation: Validation of Different Algorithms in Orbital Trauma Patients. J. Cranio-Maxillo-Fac. Surg. Off. Publ. Eur. Assoc. Cranio-Maxillo-Fac. Surg. 2020, 48, 574–581. [Google Scholar] [CrossRef]
- Hamwood, J.; Schmutz, B.; Collins, M.J.; Allenby, M.C.; Alonso-Caneiro, D. A Deep Learning Method for Automatic Segmentation of the Bony Orbit in MRI and CT Images. Sci. Rep. 2021, 11, 13693. [Google Scholar] [CrossRef]
- Walker, E.T.; Lightfoot, E.; Walshaw, E.G.; Taylor, R.; Douglas, J.; Carter, L.M.; Parmar, J.D. Quantitative Assessment of Bony Orbital Volume Symmetry: CT Analysis in the Uninjured Caucasian Population. Br. J. Oral Maxillofac. Surg. 2022, 60, 945–950. [Google Scholar] [CrossRef] [PubMed]
- Lieger, O.; Schaub, M.; Taghizadeh, E.; Büchler, P. How Symmetrical Are Bony Orbits in Humans? J. Oral Maxillofac. Surg. Off. J. Am. Assoc. Oral Maxillofac. Surg. 2019, 77, 118–125. [Google Scholar] [CrossRef] [PubMed]
- Li, Z.; Chen, K.; Yang, J.; Pan, L.; Wang, Z.; Yang, P.; Wu, S.; Li, J. Deep Learning-Based CT Radiomics for Feature Representation and Analysis of Aging Characteristics of Asian Bony Orbit. J. Craniofac. Surg. 2022, 33, 312–318. [Google Scholar] [CrossRef] [PubMed]
- Pan, L.; Chen, K.; Zheng, Z.; Zhao, Y.; Yang, P.; Li, Z.; Wu, S. Aging of Chinese Bony Orbit: Automatic Calculation Based on UNet++ and Connected Component Analysis. Surg. Radiol. Anat. SRA 2022, 44, 749–758. [Google Scholar] [CrossRef] [PubMed]
- Koo, T.K.; Li, M.Y. A Guideline of Selecting and Reporting Intraclass Correlation Coefficients for Reliability Research. J. Chiropr. Med. 2016, 15, 155–163. [Google Scholar] [CrossRef] [PubMed]
- Sigron, G.R.; Rüedi, N.; Chammartin, F.; Meyer, S.; Msallem, B.; Kunz, C.; Thieringer, F.M. Three-Dimensional Analysis of Isolated Orbital Floor Fractures Pre- and Post-Reconstruction with Standard Titanium Meshes and “Hybrid” Patient-Specific Implants. J. Clin. Med. 2020, 9, 1579. [Google Scholar] [CrossRef] [PubMed]
- Singh, J.; Rahman, R.A.; Rajion, Z.A.; Abdullah, J.; Mohamad, I. Orbital Morphometry: A Computed Tomography Analysis. J. Craniofac. Surg. 2017, 28, e64–e70. [Google Scholar] [CrossRef]
- Tandon, R.; Aljadeff, L.; Ji, S.; Finn, R.A. Anatomic Variability of the Human Orbit. J. Oral Maxillofac. Surg. 2020, 78, 782–796. [Google Scholar] [CrossRef] [PubMed]
- Regensburg, N.I.; Wiersinga, W.M.; Van Velthoven, M.E.J.; Berendschot, T.T.J.M.; Zonneveld, F.W.; Baldeschi, L.; Saeed, P.; Mourits, M.P. Age and Gender-Specific Reference Values of Orbital Fat and Muscle Volumes in Caucasians. Br. J. Ophthalmol. 2011, 95, 1660–1663. [Google Scholar] [CrossRef] [PubMed]
- Amin, D.; Jeong, J.; Manhan, A.J.; Bouloux, G.F.; Abramowicz, S. Do Racial Differences in Orbital Volume Influence the Reconstruction of Orbital Trauma. J. Oral Maxillofac. Surg. 2022, 80, 121–126. [Google Scholar] [CrossRef] [PubMed]
- Andrades, P.; Cuevas, P.; Hernández, R.; Danilla, S.; Villalobos, R. Characterization of the Orbital Volume in Normal Population. J. Cranio-Maxillofac. Surg. 2018, 46, 594–599. [Google Scholar] [CrossRef] [PubMed]
- Pierrefeu, A.; Terzic, A.; Volz, A.; Courvoisier, D.; Scolozzi, P. How Accurate Is the Treatment of Midfacial Fractures by a Specific Navigation System Integrating “Mirroring” Computational Planning? Beyond Mere Average Difference Analysis. J. Oral Maxillofac. Surg. 2015, 73, 315.e1–315.e10. [Google Scholar] [CrossRef] [PubMed]
- Sozzi, D.; Gibelli, D.; Canzi, G.; Tagliaferri, A.; Monticelli, L.; Cappella, A.; Bozzetti, A.; Sforza, C. Assessing the Precision of Posttraumatic Orbital Reconstruction through “Mirror” Orbital Superimposition: A Novel Approach for Testing the Anatomical Accuracy. J. Cranio-Maxillofac. Surg. 2018, 46, 1258–1262. [Google Scholar] [CrossRef] [PubMed]
- Oh, T.S.; Jeong, W.S.; Chang, T.J.; Koh, K.S.; Choi, J.-W. Customized Orbital Wall Reconstruction Using Three-Dimensionally Printed Rapid Prototype Model in Patients with Orbital Wall Fracture. J. Craniofac. Surg. 2016, 27, 2020–2024. [Google Scholar] [CrossRef] [PubMed]
- Pessa, J.E.; Zadoo, V.P.; Yuan, C.; Ayedelotte, J.D.; Cuellar, F.J.; Cochran, C.S.; Mutimer, K.L.; Garza, J.R. Concertina Effect and Facial Aging: Nonlinear Aspects of Youthfulness and Skeletal Remodeling, and Why, Perhaps, Infants Have Jowls. Plast. Reconstr. Surg. 1999, 103, 635–644. [Google Scholar] [CrossRef]
- Zhang, K.R.; Chon, B.H.; Hwang, C.J.; Jellema, L.M.; Perry, J.D. Comparison of Orbital Volume in Young Versus Senescent Human Skulls. Ophthal. Plast. Reconstr. Surg. 2020, 36, 139–143. [Google Scholar] [CrossRef]
- Ugradar, S.; Manoukian, N.; Azhdam, A.; Le, A.; Chen, J.; Rootman, D.; Goldberg, R.A.; Lambros, V. Orbital Aging: A Computed Tomography–Based Study of 240 Orbits. Plast. Reconstr. Surg. 2022, 150, 536e–545e. [Google Scholar] [CrossRef] [PubMed]
- Cui, J.; Shibata, Y.; Zhu, T.; Zhou, J.; Zhang, J. Osteocytes in Bone Aging: Advances, Challenges, and Future Perspectives. Ageing Res. Rev. 2022, 77, 101608. [Google Scholar] [CrossRef] [PubMed]
- Kasaee, A.; Mirmohammadsadeghi, A.; Kazemnezhad, F.; Eshraghi, B.; Akbari, M.R. The Predictive Factors of Diplopia and Extraocular Movement Limitations in Isolated Pure Blow-out Fracture. J. Curr. Ophthalmol. 2017, 29, 54–58. [Google Scholar] [CrossRef] [PubMed]
- Damgaard, O.E.; Larsen, C.G.; Felding, U.A.; Toft, P.B.; Von Buchwald, C. Surgical Timing of the Orbital “Blowout” Fracture: A Systematic Review and Meta-analysis. Otolaryngol. Neck Surg. 2016, 155, 387–390. [Google Scholar] [CrossRef]
- Wevers, M.; Strabbing, E.M.; Engin, O.; Gardeniers, M.; Koudstaal, M.J. CT Parameters in Pure Orbital Wall Fractures and Their Relevance in the Choice of Treatment and Patient Outcome: A Systematic Review. Int. J. Oral Maxillofac. Surg. 2022, 51, 782–789. [Google Scholar] [CrossRef]
- Zimmerer, R.M.; Gellrich, N.-C.; Von Bülow, S.; Strong, E.B.; Ellis, E.; Wagner, M.E.H.; Sanchez Aniceto, G.; Schramm, A.; Grant, M.P.; Thiam Chye, L.; et al. Is There More to the Clinical Outcome in Posttraumatic Reconstruction of the Inferior and Medial Orbital Walls than Accuracy of Implant Placement and Implant Surface Contouring? A Prospective Multicenter Study to Identify Predictors of Clinical Outcome. J. Cranio-Maxillofac. Surg. 2018, 46, 578–587. [Google Scholar] [CrossRef]







| Variable | Bone, Mean (SD) | Soft Tissue, Mean (SD) | ICC (95% CI) | p |
|---|---|---|---|---|
| Volume left, mL | 29 (3.3) | 28 (3.2) | 0.91 (0.51 to 0.97) | <0.001 |
| Volume right, mL | 29 (3.4) | 28 (3.3) | 0.92 (0.49 to 0.97) | <0.001 |
| Length left, mm | 40 (2.4) | 39 (2.5) | 0.96 (0.90 to 0.98) | <0.001 |
| Length right, mm | 40 (2.4) | 40 (2.5) | 0.95 (0.91 to 0.97) | <0.001 |
| Area left, cm2 | 39 (3.5) | 38 (3.4) | 0.95 (0.79 to 0.98) | <0.001 |
| Area right, cm2 | 39 (3.5) | 38 (3.5) | 0.96 (0.77 to 0.98) | <0.001 |
| Modality | Variable | ICC (95% CI) | p |
|---|---|---|---|
| Bone window | Volume | 0.98 (0.97 to 0.98) | <0.001 |
| Length | 0.93 (0.91 to 0.95) | <0.001 | |
| Area | 0.95 (0.93 to 0.96) | <0.001 | |
| Soft tissue window | Volume | 0.98 (0.97 to 0.98) | <0.001 |
| Length | 0.93 (0.90 to 0.94) | <0.001 | |
| Area | 0.94 (0.92 to 0.96) | <0.001 |
| Size | Female (N = 90), Mean (SD) | Male (N = 96), Mean (SD) | Coefficient (95% CI) | p |
|---|---|---|---|---|
| Volume, mL | 54 (4.4) | 62 (5.9) | 8.10 (6.59 to 9.61) | <0.001 |
| Length, mm | 77 (3.8) | 82 (4.4) | 4.78 (3.59 to 5.98) | <0.001 |
| Area, cm2 | 73 (4.8) | 82 (6.1) | 8.50 (6.93 to 10.08) | <0.001 |
| Variable | Women | Men | p * |
|---|---|---|---|
| Volume, mL | 0.21 (−0.31 to 0.72) | 0.61 (−0.09 to 1.30) | 0.357 |
| Length, mm | 0.14 (−0.30 to 0.58) | 0.29 (−0.23 to 0.81) | 0.671 |
| Area, cm2 | 0.17 (−0.38 to 0.72) | 0.63 (−0.08 to 1.33) | 0.313 |
Disclaimer/Publisher’s Note: The statements, opinions and data contained in all publications are solely those of the individual author(s) and contributor(s) and not of MDPI and/or the editor(s). MDPI and/or the editor(s) disclaim responsibility for any injury to people or property resulting from any ideas, methods, instructions or products referred to in the content. |
© 2024 by the authors. Licensee MDPI, Basel, Switzerland. This article is an open access article distributed under the terms and conditions of the Creative Commons Attribution (CC BY) license (https://creativecommons.org/licenses/by/4.0/).
Share and Cite
Sigron, G.R.; Britschgi, C.L.; Gahl, B.; Thieringer, F.M. Insights into Orbital Symmetry: A Comprehensive Retrospective Study of 372 Computed Tomography Scans. J. Clin. Med. 2024, 13, 1041. https://doi.org/10.3390/jcm13041041
Sigron GR, Britschgi CL, Gahl B, Thieringer FM. Insights into Orbital Symmetry: A Comprehensive Retrospective Study of 372 Computed Tomography Scans. Journal of Clinical Medicine. 2024; 13(4):1041. https://doi.org/10.3390/jcm13041041
Chicago/Turabian StyleSigron, Guido R., Céline L. Britschgi, Brigitta Gahl, and Florian M. Thieringer. 2024. "Insights into Orbital Symmetry: A Comprehensive Retrospective Study of 372 Computed Tomography Scans" Journal of Clinical Medicine 13, no. 4: 1041. https://doi.org/10.3390/jcm13041041
APA StyleSigron, G. R., Britschgi, C. L., Gahl, B., & Thieringer, F. M. (2024). Insights into Orbital Symmetry: A Comprehensive Retrospective Study of 372 Computed Tomography Scans. Journal of Clinical Medicine, 13(4), 1041. https://doi.org/10.3390/jcm13041041

