Prognostic Role of Lymphocyte-to-C-Reactive Protein Ratio in Patients with Pulmonary Arterial Hypertension
Abstract
1. Introduction
2. Materials and Methods
2.1. Study Population
2.2. Data Collection
2.3. Definition
2.4. Statistical Analysis
3. Results
3.1. Baseline Characteristics of Patients with PAH
3.2. Association Between the LCR and PAH Prognosis
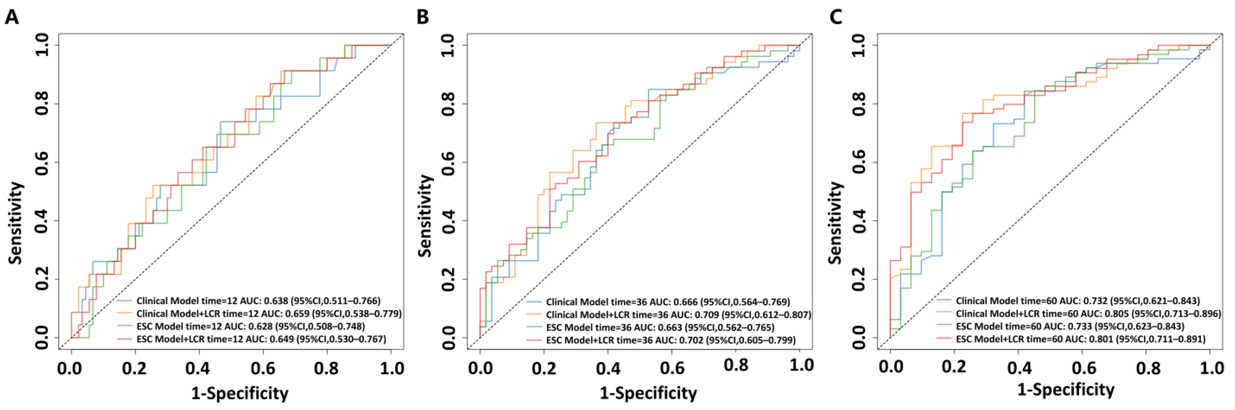
3.3. Construction and Evaluation of Prognosis Model
4. Discussion
5. Conclusions
Author Contributions
Funding
Institutional Review Board Statement
Informed Consent Statement
Data Availability Statement
Conflicts of Interest
Abbreviations
| 6MWD | 6 min walk distance |
| AUC | Areas under the ROC curve |
| BMI | Body mass index |
| BNP | Brain natriuretic peptide |
| CHD-PAH | Congenital heart disease-associated PAH |
| CI | Confidence interval |
| CO | Cardiac output |
| CRP | C-reactive protein |
| CTD-PAH | Connective tissue disease-associated PAH |
| HR | Hazard Ratio |
| IPAH | Idiopathic PAH |
| LASSO | Least absolute shrinkage and selection operator |
| LCR | Lymphocyte-to-C-reactive protein ratio |
| mPAP | Mean pulmonary artery pressure |
| PAH | Pulmonary arterial hypertension |
| PASP | Pulmonary artery systolic pressure |
| PAWP | Pulmonary artery wedge pressure |
| PoPH | Portopulmonary hypertension |
| PVR | Pulmonary vascular resistance |
| RAP | Right atrial pressure |
| ROC | Receiver operating characteristic |
| RV | Right ventricle |
| SvO2 | Mixed venous oxygen saturation |
| TAPSE | Tricuspid annular plane systolic excursion |
| WBC | White blood cell |
| WHO-FC | WHO cardiac functional class |
References
- Hassoun, P.M. Pulmonary arterial hypertension. N. Engl. J. Med. 2021, 385, 2361–2376. [Google Scholar] [CrossRef] [PubMed]
- Humbert, M.; Kovacs, G.; Hoeper, M.M.; Badagliacca, R.; Berger, R.M.F.; Brida, M.; Carlsen, J.; Coats, A.J.S.; Escribano-Subias, P.; Ferrari, P.; et al. 2022 ESC/ERS Guidelines for the diagnosis and treatment of pulmonary hypertension. Eur. Heart J. 2022, 43, 3618–3731. [Google Scholar] [CrossRef] [PubMed]
- Rabinovitch, M.; Guignabert, C.; Humbert, M.; Nicolls, M.R. Inflammation and immunity in the pathogenesis of pulmonary arterial hypertension. Circ. Res. 2014, 115, 165–175. [Google Scholar] [CrossRef] [PubMed]
- Grunig, G.; Durmus, N. Spotlight on Inflammation in pulmonary hypertension. Am. J. Respir. Crit. Care Med. 2015, 192, 913–915. [Google Scholar] [CrossRef]
- Vergadi, E.; Chang, M.S.; Lee, C.; Liang, O.D.; Liu, X.; Fernandez-Gonzalez, A.; Mitsialis, S.A.; Kourembanas, S. Early macrophage recruitment and alternative activation are critical for the later development of hypoxia-induced pulmonary hypertension. Circulation 2011, 123, 1986–1995. [Google Scholar] [CrossRef]
- Guo, L.; Qin, G.; Cao, Y.; Yang, Y.; Dai, S.; Wang, L.; Wang, E. Regulation of the immune microenvironment by an NLRP3 inhibitor contributes to attenuation of acute right ventricular failure in rats with pulmonary arterial hypertension. J. Inflamm. Res. 2021, 14, 5699–5711. [Google Scholar] [CrossRef]
- Quarck, R.; Nawrot, T.; Meyns, B.; Delcroix, M. C-reactive protein: A new predictor of adverse outcome in pulmonary arterial hypertension. J. Am. Coll. Cardiol. 2009, 53, 1211–1218. [Google Scholar] [CrossRef]
- Yogeswaran, A.; Tello, K.; Lund, J.; Klose, H.; Harbaum, L.; Sommer, N.; Oqueka, T.; Hennigs, J.K.; Grimminger, F.; Seeger, W.; et al. Risk assessment in pulmonary hypertension based on routinely measured laboratory parameters. J. Heart Lung Transplant. 2022, 41, 400–410. [Google Scholar] [CrossRef]
- Song, H.; Sun, D.; Ban, C.; Liu, Y.; Zhu, M.; Ye, Q.; Yan, W.; Ren, Y.; Dai, H. Independent clinical factors relevant to prognosis of patients with idiopathic pulmonary fibrosis. Med. Sci. Monit. 2019, 25, 4193–4201. [Google Scholar] [CrossRef]
- Zhang, H.; Li, Q.W.; Li, Y.Y.; Tang, X.; Gu, L.; Liu, H.M. Myeloid-derived suppressor cells and pulmonary hypertension. Front. Immunol. 2023, 14, 1189195. [Google Scholar] [CrossRef]
- Okugawa, Y.; Toiyama, Y.; Yamamoto, A.; Shigemori, T.; Ide, S.; Kitajima, T.; Fujikawa, H.; Yasuda, H.; Hiro, J.; Yoshiyama, S.; et al. Lymphocyte-C-reactive protein ratio as promising new marker for predicting surgical and oncological outcomes in colorectal cancer. Ann. Surg. 2020, 272, 342–351. [Google Scholar] [CrossRef] [PubMed]
- Liu, Y.; Ye, T.; Chen, L.; Xu, B.; Wu, G.; Zong, G. Preoperative lymphocyte to C-reactive protein ratio: A new prognostic indicator of post-primary percutaneous coronary intervention in patients with ST-segment elevation myocardial infarction. Int. Immunopharmacol. 2023, 114, 109594. [Google Scholar] [CrossRef] [PubMed]
- Chen, X.; Guo, W.; Diao, Z.; Huang, H.; Liu, W. Lymphocyte-to-C reactive protein ratio as novel inflammatory marker for predicting outcomes in hemodialysis patients: A multicenter observational study. Front. Immunol. 2023, 14, 1101222. [Google Scholar] [CrossRef] [PubMed]
- Cummings, P. Missing data and multiple imputation. JAMA Pediatr. 2013, 167, 656–661. [Google Scholar] [CrossRef]
- Gao, L.; Zhang, S.; Zhao, Z.; Zhao, Q.; Yang, T.; Zeng, Q.; Zhang, Y.; Li, X.; Huang, Z.; Duan, A.; et al. Role of the systemic inflammatory response index in predicting disease severity and prognosis in idiopathic pulmonary arterial hypertension. J. Inflamm. Res. 2024, 17, 447–460. [Google Scholar] [CrossRef]
- Jonas, K.; Magoń, W.; Podolec, P.; Kopeć, G. Triglyceride-to-high-density lipoprotein cholesterol ratio and systemic inflammation in patients with idiopathic pulmonary arterial hypertension. Med. Sci. Monit. 2019, 25, 746–753. [Google Scholar] [CrossRef]
- Boucly, A.; Tu, L.; Guignabert, C.; Rhodes, C.; De Groote, P.; Prévot, G.; Bergot, E.; Bourdin, A.; Beurnier, A.; Roche, A.; et al. Cytokines as prognostic biomarkers in pulmonary arterial hypertension. Eur. Respir. J. 2023, 61, 2201232. [Google Scholar] [CrossRef]
- Hirsch, K.; Nolley, S.; Ralph, D.D.; Zheng, Y.; Altemeier, W.A.; Rhodes, C.J.; Morrell, N.W.; Wilkins, M.R.; Leary, P.J.; Rayner, S.G. Circulating markers of inflammation and angiogenesis and clinical outcomes across subtypes of pulmonary arterial hypertension. J. Heart Lung Transplant. 2023, 42, 173–182. [Google Scholar] [CrossRef]
- Papadimitriou, T.I.; Lemmers, J.M.J.; van Caam, A.P.M.; Vos, J.; Vitters, E.; Stinessen, L.; van Leuven, S.I.; Koenders, M.; van der Kraan, P.M.; Koenen, H.; et al. Systemic sclerosis-associated pulmonary arterial hypertension is characterized by a distinct peripheral T helper cell profile. Rheumatology 2024, 63, 2525–2534. [Google Scholar] [CrossRef]
- Cauvet, A.; Decellas, A.; Guignabert, C.; Rongvaux-Gaïda, D.; Thuillet, R.; Ottaviani, M.; Tu, L.; Rieger, F.; Avouac, J.; Allanore, Y. Arsenic trioxide demonstrates efficacy in a mouse model of preclinical systemic sclerosis. Arthritis Res. Ther. 2023, 25, 167. [Google Scholar] [CrossRef]
- Thenappan, T.; Ormiston, M.; Ryan, J.; Archer, S. Pulmonary arterial hypertension: Pathogenesis and clinical management. BMJ (Clin. Res. Ed.) 2018, 360, j5492. [Google Scholar] [CrossRef] [PubMed]
- Skoro-Sajer, N.; Gerges, C.; Gerges, M.; Panzenböck, A.; Jakowitsch, J.; Kurz, A.; Taghavi, S.; Sadushi-Kolici, R.; Campean, I.; Klepetko, W.; et al. Usefulness of thrombosis and inflammation biomarkers in chronic thromboembolic pulmonary hypertension-sampling plasma and surgical specimens. J. Heart Lung Transplant. 2018, 37, 1067–1074. [Google Scholar] [CrossRef] [PubMed]
- Hadinnapola, C.M.; Southwood, M.; Hernández-Sánchez, J.; Bunclark, K.; Newnham, M.; Swietlik, E.M.; Cannon, J.; Preston, S.D.; Sheares, K.; Taboada, D.; et al. Angiopoietin 2 and hsCRP are associated with pulmonary hemodynamics and long-term mortality respectively in CTEPH-Results from a prospective discovery and validation biomarker study. J. Heart Lung Transplant. 2023, 42, 398–405. [Google Scholar] [CrossRef] [PubMed]
- Quarck, R.; Wynants, M.; Verbeken, E.; Meyns, B.; Delcroix, M. Contribution of inflammation and impaired angiogenesis to the pathobiology of chronic thromboembolic pulmonary hypertension. Eur. Respir. J. 2015, 46, 431–443. [Google Scholar] [CrossRef]
- Luo, Y.; Xie, Y.; Zhang, W.; Lin, Q.; Tang, G.; Wu, S.; Huang, M.; Yin, B.; Huang, J.; Wei, W.; et al. Combination of lymphocyte number and function in evaluating host immunity. Aging 2019, 11, 12685–12707. [Google Scholar] [CrossRef]
- Wang, D.; Zheng, Y.; Zhang, J.; Cao, Y.; Cheng, J.; Geng, M.; Li, K.; Yang, J.; Wei, X. The TAK1/JNK axis participates in adaptive immunity by promoting lymphocyte activation in Nile tilapia. Fish Shellfish Immunol. 2024, 151, 109747. [Google Scholar] [CrossRef]
- Rizo-Téllez, S.A.; Sekheri, M.; Filep, J.G. C-reactive protein: A target for therapy to reduce inflammation. Front. Immunol. 2023, 14, 1237729. [Google Scholar] [CrossRef]
- Galiè, N.; Humbert, M.; Vachiery, J.L.; Gibbs, S.; Lang, I.; Torbicki, A.; Simonneau, G.; Peacock, A.; Vonk Noordegraaf, A.; Beghetti, M.; et al. 2015 ESC/ERS Guidelines for the diagnosis and treatment of pulmonary hypertension: The Joint Task Force for the Diagnosis and Treatment of Pulmonary Hypertension of the European Society of Cardiology (ESC) and the European Respiratory Society (ERS): Endorsed by: Association for European Paediatric and Congenital Cardiology (AEPC), International Society for Heart and Lung Transplantation (ISHLT). Eur. Heart J. 2016, 37, 67–119. [Google Scholar] [CrossRef]
- Benza, R.L.; Gomberg-Maitland, M.; Miller, D.P.; Frost, A.; Frantz, R.P.; Foreman, A.J.; Badesch, D.B.; McGoon, M.D. The REVEAL Registry risk score calculator in patients newly diagnosed with pulmonary arterial hypertension. Chest 2012, 141, 354–362. [Google Scholar] [CrossRef]
- Hoeper, M.M.; Kramer, T.; Pan, Z.; Eichstaedt, C.A.; Spiesshoefer, J.; Benjamin, N.; Olsson, K.M.; Meyer, K.; Vizza, C.D.; Vonk-Noordegraaf, A.; et al. Mortality in pulmonary arterial hypertension: Prediction by the 2015 European pulmonary hypertension guidelines risk stratification model. Eur. Respir. J. 2017, 50, 1700740. [Google Scholar] [CrossRef]
- Benza, R.L.; Gomberg-Maitland, M.; Elliott, C.G.; Farber, H.W.; Foreman, A.J.; Frost, A.E.; McGoon, M.D.; Pasta, D.J.; Selej, M.; Burger, C.D.; et al. Predicting survival in patients with pulmonary arterial hypertension: The REVEAL risk score calculator 2.0 and comparison with ESC/ERS-based risk assessment strategies. Chest 2019, 156, 323–337. [Google Scholar] [CrossRef]






| Characteristics | Total (n = 116) | Non-Events (n = 49) | Events * (n = 67) | p Value |
|---|---|---|---|---|
| Age (year) | 41.53 (13.33) | 39.92 (12.75) | 42.70 (13.71) | 0.268 |
| Female (%) | 107 (92.2) | 47 (95.9) | 60 (89.6) | 0.206 |
| Height (cm) | 160.00 (7.57) | 160.45 (7.75) | 159.67 (7.48) | 0.587 |
| Weight (kg) | 55.82 (11.57) | 56.17 (12.72) | 55.56 (10.74) | 0.779 |
| BMI (kg/m2) | 21.60 (3.40) | 21.68 (3.81) | 21.55 (3.10) | 0.838 |
| 6MWD (m) | 382.49 (121.58) | 412.96 (122.51) | 360.21 (116.83) | 0.020 |
| PAH subtype | 0.224 | |||
| IPAH | 28 (24.1) | 8 (16.3) | 20 (29.9) | |
| CTD-PAH | 66 (56.9) | 32 (65.3) | 34 (50.7) | |
| CHD-PAH | 17 (14.7) | 8 (16.3) | 9 (13.4) | |
| PoPH | 5 (4.3) | 1 (2.0) | 4 (6.0) | |
| WHO-FC (%) | 0.023 | |||
| Ⅰ/Ⅱ | 79 (68.1) | 39 (79.6) | 40 (59.7) | |
| Ⅲ/Ⅳ | 37 (31.9) | 10 (20.4) | 27 (40.3) | |
| Initial therapy (%) | 0.506 | |||
| Monotherapy | 75 (64.7) | 31 (63.3) | 44 (65.7) | |
| Dual therapy | 36 (31.0) | 15 (30.6) | 21 (31.3) | |
| Triple therapy | 5 (4.3) | 3 (6.1) | 2 (3.0) | |
| Right Heart Catheterization | ||||
| RAP (mm Hg) | 9.36 (4.74) | 9.42 (4.44) | 9.32 (4.98) | 0.911 |
| mPAP (mmHg) | 51.19 (13.05) | 52.65 (13.33) | 50.12 (12.84) | 0.304 |
| PAWP (mmHg) | 11.11 (3.56) | 11.43 (3.88) | 10.89 (3.32) | 0.419 |
| CO (L/min) | 4.29 (1.55) | 4.30 (1.48) | 4.29 (1.62) | 0.987 |
| Cardiac index (L/min/m2) | 2.74 (0.96) | 2.74 (0.91) | 2.74 (1.01) | 0.996 |
| PVR (Wood units) | 11.31 (6.31) | 11.66 (6.68) | 11.05 (6.06) | 0.605 |
| SvO2 (%) | 66.93 (10.26) | 67.23 (9.64) | 66.71 (10.75) | 0.790 |
| Echocardiography | ||||
| RV Diameter (mm) | 45.67 (6.98) | 46.22 (6.62) | 45.27 (7.26) | 0.474 |
| TAPSE (mm) | 16.29 (3.06) | 16.23 (2.96) | 16.33 (3.15) | 0.867 |
| PASP (mmHg) | 77.50 (24.52) | 76.78 (21.75) | 78.03 (26.52) | 0.787 |
| TAPSE/PASP | 0.24 (0.13) | 0.23 (0.08) | 0.25 (0.16) | 0.459 |
| Laboratory parameters | ||||
| CRP (mg/L) | 3.57 (1.30–7.02) | 2.97 (0.80–5.90) | 4.62 (2.50–7.68) | 0.027 |
| WBC (109/L) | 6.44 (2.19) | 6.32 (2.25) | 6.52 (2.16) | 0.623 |
| Lymphocyte (109/L) | 1.68 (0.72) | 1.62 (0.64) | 1.73 (0.78) | 0.395 |
| Monocyte (109/L) | 0.38 (0.30–0.50) | 0.38 (0.30–0.50) | 0.39 (0.30–0.50) | 0.971 |
| Neutrophil (109/L) | 4.25 (1.89) | 4.20 (1.96) | 4.29 (1.85) | 0.813 |
| Platelet (109/L) | 189.72 (75.73) | 208.57 (72.01) | 175.94 (75.93) | 0.021 |
| BNP (pg/mL) | 359.19 (547.08) | 371.37 (588.94) | 350.28 (518.70) | 0.839 |
| LCR | 1.10 (1.63) | 1.57 (2.14) | 0.75 (1.01) | 0.007 |
| Variables | Hazard Ratio (95% Confidence Interval) | |||||
|---|---|---|---|---|---|---|
| Model 1 | p Value | Model 2 | p Value | Model 3 | p Value | |
| 1-year | ||||||
| LCR, Continuous | 0.612 (0.361–1.037) | 0.068 | 0.636 (0.374–1.081) | 0.095 | 0.631 (0.318–1.254) | 0.189 |
| LCR, Category | 0.357 (0.107–1.188) | 0.093 | 0.383 (0.114–1.285) | 0.120 | 0.271 (0.057–1.280) | 0.099 |
| 3-year | ||||||
| LCR, Continuous | 0.688 (0.515–0.918) | 0.011 | 0.708 (0.531–0.944) | 0.019 | 0.708 (0.531–0.944) | 0.019 |
| LCR, Category | 0.283 (0.121–0.660) | 0.004 | 0.299 (0.128–0.698) | 0.005 | 0.299 (0.128–0.698) | 0.005 |
| 5-year | ||||||
| LCR, Continuous | 0.744 (0.594–0.933) | 0.010 | 0.760 (0.606–0.954) | 0.018 | 0.772 (0.614–0.970) | 0.026 |
| LCR, Category | 0.343 (0.169–0.693) | 0.003 | 0.356 (0.176–0.722) | 0.004 | 0.361 (0.178–0.732) | 0.005 |
Disclaimer/Publisher’s Note: The statements, opinions and data contained in all publications are solely those of the individual author(s) and contributor(s) and not of MDPI and/or the editor(s). MDPI and/or the editor(s) disclaim responsibility for any injury to people or property resulting from any ideas, methods, instructions or products referred to in the content. |
© 2024 by the authors. Licensee MDPI, Basel, Switzerland. This article is an open access article distributed under the terms and conditions of the Creative Commons Attribution (CC BY) license (https://creativecommons.org/licenses/by/4.0/).
Share and Cite
Chen, M.-Q.; Wan, C.-X.; Tong, J.; Wang, A.; Ruan, B.-Q.; Shen, J.-Y. Prognostic Role of Lymphocyte-to-C-Reactive Protein Ratio in Patients with Pulmonary Arterial Hypertension. J. Clin. Med. 2024, 13, 7855. https://doi.org/10.3390/jcm13247855
Chen M-Q, Wan C-X, Tong J, Wang A, Ruan B-Q, Shen J-Y. Prognostic Role of Lymphocyte-to-C-Reactive Protein Ratio in Patients with Pulmonary Arterial Hypertension. Journal of Clinical Medicine. 2024; 13(24):7855. https://doi.org/10.3390/jcm13247855
Chicago/Turabian StyleChen, Meng-Qi, Chuan-Xue Wan, Jun Tong, An Wang, Bin-Qian Ruan, and Jie-Yan Shen. 2024. "Prognostic Role of Lymphocyte-to-C-Reactive Protein Ratio in Patients with Pulmonary Arterial Hypertension" Journal of Clinical Medicine 13, no. 24: 7855. https://doi.org/10.3390/jcm13247855
APA StyleChen, M.-Q., Wan, C.-X., Tong, J., Wang, A., Ruan, B.-Q., & Shen, J.-Y. (2024). Prognostic Role of Lymphocyte-to-C-Reactive Protein Ratio in Patients with Pulmonary Arterial Hypertension. Journal of Clinical Medicine, 13(24), 7855. https://doi.org/10.3390/jcm13247855

