Combinatorial Effects of Terpene, Chenodeoxycholic Acid, and Ursodeoxycholic Acid on Common Bile Duct Stone Recurrence and Gallbladder Stone Dissolution
Abstract
1. Introduction
2. Materials and Methods
2.1. Patients
2.2. Patient Cohorts
2.3. Medication Groups
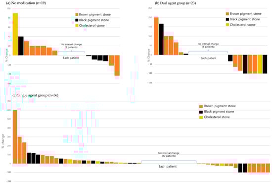
2.4. GB Stone Resolution Rate
2.5. Statistical Analysis
3. Results
3.1. Baseline Characteristics
3.2. CBD Stone Recurrence
3.3. GB Stone Resolution
4. Discussion
5. Conclusions
Supplementary Materials
Author Contributions
Funding
Institutional Review Board Statement
Informed Consent Statement
Data Availability Statement
Conflicts of Interest
References
- Buxbaum, J.L.; Fehmi, S.M.A.; Sultan, S.; Fishman, D.S.; Qumseya, B.J.; Cortessis, V.K.; Schilperoort, H.; Kysh, L.; Matsuoka, L.; Yachimski, P.; et al. ASGE guideline on the role of endoscopy in the evaluation and management of choledocholithiasis. Gastrointest. Endosc. 2019, 89, 1075–1105.e15. [Google Scholar] [CrossRef] [PubMed]
- Manes, G.; Paspatis, G.; Aabakken, L.; Anderloni, A.; Arvanitakis, M.; Ah-Soune, P.; Barthet, M.; Domagk, D.; Dumonceau, J.M.; Gigot, J.F.; et al. Endoscopic management of common bile duct stones: European Society of Gastrointestinal Endoscopy (ESGE) guideline. Endoscopy 2019, 51, 472–491. [Google Scholar] [CrossRef] [PubMed]
- Collins, C.; Maguire, D.; Ireland, A.; Fitzgerald, E.; O’Sullivan, G.C. A prospective study of common bile duct calculi in patients undergoing laparoscopic cholecystectomy: Natural history of choledocholithiasis revisited. Ann. Surg. 2004, 239, 28–33. [Google Scholar] [CrossRef] [PubMed]
- Lammert, F.; Gurusamy, K.; Ko, C.W.; Miquel, J.F.; Mendez-Sanchez, N.; Portincasa, P.; van Erpecum, K.J.; van Laarhoven, C.J.; Wang, D.Q. Gallstones. Nat. Rev. Dis. Primers 2016, 2, 16024. [Google Scholar] [CrossRef] [PubMed]
- Kawai, K.; Akasaka, Y.; Murakami, K.; Tada, M.; Koli, Y. Endoscopic sphincterotomy of the ampulla of Vater. Gastrointest. Endosc. 1974, 20, 148–151. [Google Scholar] [CrossRef]
- Staritz, M.; Ewe, K.; Meyer zum Büschenfelde, K.H. Endoscopic papillary dilation (EPD) for the treatment of common bile duct stones and papillary stenosis. Endoscopy 1983, 15 (Suppl 1), 197–198. [Google Scholar] [CrossRef]
- McAlister, V.C.; Davenport, E.; Renouf, E. Cholecystectomy deferral in patients with endoscopic sphincterotomy. Cochrane Database Syst. Rev. 2007, 2007, Cd006233. [Google Scholar] [CrossRef]
- Freeman, M.L.; Nelson, D.B.; Sherman, S.; Haber, G.B.; Herman, M.E.; Dorsher, P.J.; Moore, J.P.; Fennerty, M.B.; Ryan, M.E.; Shaw, M.J.; et al. Complications of endoscopic biliary sphincterotomy. N. Engl. J. Med. 1996, 335, 909–918. [Google Scholar] [CrossRef]
- Prat, F.; Malak, N.A.; Pelletier, G.; Buffet, C.; Fritsch, J.; Choury, A.D.; Altman, C.; Liguory, C.; Etienne, J.P. Biliary symptoms and complications more than 8 years after endoscopic sphincterotomy for choledocholithiasis. Gastroenterology 1996, 110, 894–899. [Google Scholar] [CrossRef]
- Hawes, R.H.; Cotton, P.B.; Vallon, A.G. Follow-up 6 to 11 years after duodenoscopic sphincterotomy for stones in patients with prior cholecystectomy. Gastroenterology 1990, 98, 1008–1012. [Google Scholar] [CrossRef]
- Yamamoto, R.; Tazuma, S.; Kanno, K.; Igarashi, Y.; Inui, K.; Ohara, H.; Tsuyuguchi, T.; Ryozawa, S. Ursodeoxycholic acid after bile duct stone removal and risk factors for recurrence: A randomized trial. J. Hepatobiliary Pancreat. Sci. 2016, 23, 132–136. [Google Scholar] [CrossRef] [PubMed]
- Somerville, K.W.; Ellis, W.R.; Whitten, B.H.; Balfour, T.W.; Bell, G.D. Stones in the common bile duct: Experience with medical dissolution therapy. Postgrad. Med. J. 1985, 61, 313–316. [Google Scholar] [CrossRef] [PubMed]
- Han, J.; Moon, J.H.; Koo, H.C.; Kang, J.H.; Choi, J.H.; Jeong, S.; Lee, D.H.; Lee, M.S.; Kim, H.G. Effect of biliary stenting combined with ursodeoxycholic acid and terpene treatment on retained common bile duct stones in elderly patients: A multicenter study. Am. J. Gastroenterol. 2009, 104, 2418–2421. [Google Scholar] [CrossRef]
- Katsinelos, P.; Kountouras, J.; Paroutoglou, G.; Chatzimavroudis, G.; Zavos, C. Combination of endoprostheses and oral ursodeoxycholic acid or placebo in the treatment of difficult to extract common bile duct stones. Dig. Liver Dis. 2008, 40, 453–459. [Google Scholar] [CrossRef]
- Lee, T.H.; Han, J.H.; Kim, H.J.; Park, S.M.; Park, S.H.; Kim, S.J. Is the addition of choleretic agents in multiple double-pigtail biliary stents effective for difficult common bile duct stones in elderly patients? A prospective, multicenter study. Gastrointest. Endosc. 2011, 74, 96–102. [Google Scholar] [CrossRef]
- Song, M.E.; Chung, M.J.; Lee, D.J.; Oh, T.G.; Park, J.Y.; Bang, S.; Park, S.W.; Song, S.Y.; Chung, J.B. Cholecystectomy for Prevention of Recurrence After Endoscopic Clearance of Bile Duct Stones in Korea. Yonsei Med. J. 2016, 57, 132–137. [Google Scholar] [CrossRef]
- Baek, Y.H.; Kim, H.J.; Park, J.H.; Park, D.I.; Cho, Y.K.; Sohn, C.I.; Jeon, W.K.; Kim, B.I. Risk factors for recurrent bile duct stones after endoscopic clearance of common bile duct stones. Korean J. Gastroenterol. 2009, 54, 36–41. [Google Scholar] [CrossRef]
- May, G.R.; Sutherland, L.R.; Shaffer, E.A. Efficacy of bile acid therapy for gallstone dissolution: A meta-analysis of randomized trials. Aliment. Pharmacol. Ther. 1993, 7, 139–148. [Google Scholar] [CrossRef] [PubMed]
- Venneman, N.G.; Besselink, M.G.; Keulemans, Y.C.; Vanberge-Henegouwen, G.P.; Boermeester, M.A.; Broeders, I.A.; Go, P.M.; van Erpecum, K.J. Ursodeoxycholic acid exerts no beneficial effect in patients with symptomatic gallstones awaiting cholecystectomy. Hepatology 2006, 43, 1276–1283. [Google Scholar] [CrossRef]
- European Association for the Study of the Liver. Electronic address, e.e.e. EASL Clinical Practice Guidelines on the prevention, diagnosis and treatment of gallstones. J. Hepatol. 2016, 65, 146–181. [Google Scholar] [CrossRef]
- Rubin, R.A.; Kowalski, T.E.; Khandelwal, M.; Malet, P.F. Ursodiol for hepatobiliary disorders. Ann. Intern. Med. 1994, 121, 207–218. [Google Scholar] [CrossRef] [PubMed]
- Podda, M.; Zuin, M.; Battezzati, P.M.; Ghezzi, C.; de Fazio, C.; Dioguardi, M.L. Efficacy and safety of a combination of chenodeoxycholic acid and ursodeoxycholic acid for gallstone dissolution: A comparison with ursodeoxycholic acid alone. Gastroenterology 1989, 96, 222–229. [Google Scholar] [CrossRef] [PubMed]
- Leuschner, M.; Leuschner, U.; Lazarovici, D.; Kurtz, W.; Hellstern, A. Dissolution of gall stones with an ursodeoxycholic acid menthol preparation: A controlled prospective double blind trial. Gut 1988, 29, 428–432. [Google Scholar] [CrossRef]
- Yoo, E.S.; Yoo, B.M.; Kim, J.H.; Hwang, J.C.; Yang, M.J.; Lee, K.M.; Kim, S.S.; Noh, C.K. Evaluation of risk factors for recurrent primary common bile duct stone in patients with cholecystectomy. Scand. J. Gastroenterol. 2018, 53, 466–470. [Google Scholar] [CrossRef] [PubMed]
- Keizman, D.; Shalom, M.I.; Konikoff, F. An angulated common bile duct predisposes to recurrent symptomatic bile duct stones after endoscopic stone extraction. Surg. Endosc. Other Interv. Tech. 2006, 20, 1594–1599. [Google Scholar] [CrossRef]
- Park, B.K.; Seo, J.H.; Jeon, H.H.; Choi, J.W.; Won, S.Y.; Cho, Y.S.; Lee, C.K.; Park, H.; Kim, D.W. A nationwide population-based study of common bile duct stone recurrence after endoscopic stone removal in Korea. J. Gastroenterol. 2018, 53, 670–678. [Google Scholar] [CrossRef]
- Wu, Y.; Xu, C.J.; Xu, S.F. Advances in risk factors for recurrence of common bile duct stones. Int. J. Med. Sci. 2021, 18, 1067. [Google Scholar] [CrossRef]
- Keizman, D.; Ish Shalom, M.; Konikoff, F.M. Recurrent symptomatic common bile duct stones after endoscopic stone extraction in elderly patients. Gastrointest. Endosc. 2006, 64, 60–65. [Google Scholar] [CrossRef]
- Tint, G.S.; Salen, G.; Shefer, S. Effect of ursodeoxycholic acid and chenodeoxycholic acid on cholesterol and bile acid metabolism. Gastroenterology 1986, 91, 1007–1018. [Google Scholar] [CrossRef]
- Czygan, P.; Stiehl, A.; Raedsch, R.; Seitz, H.; Kommerell, B. Dissolution of Cholesterol Gallstones by Combination Therapy of Urso/Cheno Versus Urso; MTP Press Lancaster: Lancaster, UK, 1985; pp. 351–353. [Google Scholar]
- Ellis, W.R.; Bell, G.D.; Middleton, B.; White, D.A. Adjunct to bile-acid treatment for gall-stone dissolution: Low-dose chenodeoxycholic acid combined with a terpene preparation. Br. Med. J. 1981, 282, 611–612. [Google Scholar] [CrossRef]
- Ellis, W.R.; Bell, G.D. Treatment of biliary duct stones with a terpene preparation. Br. Med. J. 1981, 282, 611. [Google Scholar] [CrossRef] [PubMed][Green Version]
- Yoon, W.J.; Kim, H.N.; Park, E.; Ryu, S.; Chang, Y.; Shin, H.; Kim, H.L.; Yi, S.Y. The Impact of Cholecystectomy on the Gut Microbiota: A Case-Control Study. J. Clin. Med. 2019, 8, 79. [Google Scholar] [CrossRef] [PubMed]
- Li, Y.D.; Liu, B.N.; Zhao, S.H.; Zhou, Y.L.; Bai, L.; Liu, E.Q. Changes in gut microbiota composition and diversity associated with post-cholecystectomy diarrhea. World J. Gastroenterol. 2021, 27, 391–403. [Google Scholar] [CrossRef]
- Lee, J.; Lee, S.; Kim, H.; Bae, J.; Park, J.S. Gut Microbial Profile Changes in Patients with Gallbladder Stones after UDCA/CDCA Treatment. Biomedicines 2023, 11, 777. [Google Scholar] [CrossRef] [PubMed]
- Tang, R.; Wei, Y.; Li, Y.; Chen, W.; Chen, H.; Wang, Q.; Yang, F.; Miao, Q.; Xiao, X.; Zhang, H.; et al. Gut microbial profile is altered in primary biliary cholangitis and partially restored after UDCA therapy. Gut 2018, 67, 534–541. [Google Scholar] [CrossRef]
- Li, H.; Wang, Q.; Chen, P.; Zhou, C.; Zhang, X.; Chen, L. Ursodeoxycholic Acid Treatment Restores Gut Microbiota and Alleviates Liver Inflammation in Non-Alcoholic Steatohepatitic Mouse Model. Front. Pharmacol. 2021, 12, 788558. [Google Scholar] [CrossRef]
- Guan, Y.; Xu, F.; Zhang, X.; Fu, X.; Wang, J.; Song, S.; Sun, Y.; Yuan, Q.; Zhu, F. Roles of ursodeoxycholic acid in the bile biochemistry and metabolomics in patients with choledocholithiasis: A prospective study. Metabolomics 2022, 18, 46. [Google Scholar] [CrossRef]
- Kim, J.W.; Oh, H.C.; Do, J.H.; Choi, Y.S.; Lee, S.E. Has the prevalence of cholesterol gallstones increased in K orea? A preliminary single-center experience. J. Dig. Dis. 2013, 14, 559–563. [Google Scholar] [CrossRef]
- Diehl, A.K. Epidemiology and natural history of gallstone disease. Gastroenterol. Clin. N. Am. 1991, 20, 1–19. [Google Scholar] [CrossRef]
- Parker, R.A.; Garcia, R.; Ryan, C.S.; Liu, X.; Shipkova, P.; Livanov, V.; Patel, P.; Ho, S.P. Bile acid and sterol metabolism with combined HMG-CoA reductase and PCSK9 suppression. J. Lipid Res. 2013, 54, 2400–2409. [Google Scholar] [CrossRef]
- Sugiyama, M.; Atomi, Y. Risk factors predictive of late complications after endoscopic sphincterotomy for bile duct stones: Long-term (more than 10 years) follow-up study. Am. J. Gastroenterol. 2002, 97, 2763–2767. [Google Scholar] [CrossRef] [PubMed]
- Hyun, J.J.; Lee, H.S.; Kim, C.D.; Dong, S.H.; Lee, S.-O.; Ryu, J.K.; Lee, D.H.; Jeong, S.; Kim, T.N.; Lee, J. Efficacy of magnesium trihydrate of ursodeoxycholic acid and chenodeoxycholic acid for gallstone dissolution: A prospective multicenter trial. Gut Liver 2015, 9, 547. [Google Scholar] [CrossRef] [PubMed]
- National Institutes of Health (US), Office of Medical Applications of Research. Gallstones and Laparoscopic Cholecystectomy; National Institutes of Health (US), Office of Medical Applications of Research: Bethesda, MD, USA, 1992; Volume 10, pp. 1–28. [Google Scholar]
- Caddy, G.R.; Kirby, J.; Kirk, S.J.; Allen, M.J.; Moorehead, R.J.; Tham, T.C. Natural history of asymptomatic bile duct stones at time of cholecystectomy. Ulst. Med. J. 2005, 74, 108–112. [Google Scholar]





| Baseline Characteristics | No Medication n = 193 | Medication n = 747 | p Value |
|---|---|---|---|
| Sex, male | 106 (55.2) | 364 (49.0) | 0.125 |
| Age (years) | 65.4 ± 14.5 | 64.2 ± 14.9 | 0.325 |
| BMI (kg/m2) | 24.1 ± 3.9 | 24.0 ± 3.6 | 0.762 |
| Hypertension | 95 (49.5) | 305 (40.9) | 0.032 |
| Diabetes | 52 (27.1) | 151 (20.2) | 0.039 |
| Dyslipidemia | 28 (14.6) | 60 (8.0) | 0.006 |
| Periampullary diverticulum | 73 (37.8) | 247 (33.2) | 0.232 |
| Bile duct diameter (mm) | 12.5 ± 4.9 | 13.1 ± 6.0 | 0.117 |
| 137.5 ± 18.1 | 141.9 ± 19.5 | 0.005 | |
| Procedure | |||
| EST | 188 (97.4) | 710 (95.0) | 0.157 |
| EST + EPBD | 81 (42.0) | 303 (40.6) | 0.723 |
| EST + EPLBD | 30 (15.5) | 124 (16.6) | 0.724 |
| Mechanical lithotripsy | 37 (19.2) | 203 (27.3) | 0.021 |
| Type of removed CBD stone | |||
| Brown | 106 (55.2) | 446 (60.4) | 0.229 |
| Black | 56 (29.2) | 172 (23.3) | 0.083 |
| Cholesterol | 30 (15.6) | 121 (16.4) | 0.825 |
| Duration of medication use (months) | – | 9.5 ± 14.0 | - |
| Baseline Characteristics | Single Agent n = 306 | Dual Agent # n = 441 | p Value |
|---|---|---|---|
| Sex, male | 147 (48.0) | 217 (49.7) | 0.664 |
| Age (years) | 64.8 ± 15.2 | 63.8 ± 14.6 | 0.359 |
| BMI (kg/m2) | 24.0 ± 3.4 | 24.1 ± 3.7 | 0.835 |
| Hypertension | 136 (44.6) | 169 (38.3) | 0.087 |
| Diabetes | 71 (23.2) | 80 (18.1) | 0.090 |
| Dyslipidemia | 18 (5.9) | 42 (9.5) | 0.074 |
| Periampullary diverticulum | 99 (32.6) | 148 (33.7) | 0.744 |
| Bile duct diameter (mm) | 13.2 ± 5.3 | 13.1 ± 6.4 | 0.686 |
| 143.2 ± 17.3 | 141.0 ± 20.9 | 0.114 | |
| Procedure | |||
| EST | 292 (95.4) | 418 (94.8) | 0.692 |
| EST + EPBD | 170 (55.6) | 133 (30.2) | <0.001 |
| EST + EPLBD | 45 (14.7) | 79 (17.9) | 0.247 |
| Mechanical lithotripsy | 113 (37.2) | 90 (20.5) | <0.001 |
| Type of removed CBD stone | |||
| Brown | 168 (56.2) | 278 (63.2) | 0.026 |
| Black | 67 (22.4) | 105 (23.9) | 0.541 |
| Cholesterol | 64 (21.4) | 57 (13.0) | 0.004 |
| Duration of medication use (months) | 10.6 ± 16.6 | 8.7 ± 11.9 | 0.086 |
| Recurrence Results | No Medication n = 193 | Medication n = 747 | p Value |
|---|---|---|---|
| Recurrence | 80 (41.5) | 82 (11.0) | <0.001 |
| Recurrence within 1 year | 24 (12.4) | 39 (5.2) | <0.001 |
| Recurrence frequency 1/2/3+ | 51/21/8 | 50/22/10 | 0.891 |
| Time to recurrence (months) | 24.0 ± 18.6 | 23.3 ± 22.3 | 0.842 |
| Duration of follow-up (months) | 37.7 ± 33.7 | 26.0 ± 30.7 | <0.001 |
| UDCA n = 200 | C&U n = 75 | Terpene n = 31 | UDCA + Terpene n = 228 | C&U + Terpene n = 213 | p Value | |
|---|---|---|---|---|---|---|
| Recurrence | 23 (11.5) | 10 (13.3) | 6 (19.4) | 32 (14.0) | 11 (5.2) | 0.016 |
| Duration of follow-up | 28.7 ± 32.5 | 20.3 ± 21.5 | 17.8 ± 17.9 | 29.2 ± 33.6 | 23.3 ± 29.5 | 0.655 |
| Time to recurrence | 21.2 ± 18.9 | 31.8 ± 12.9 | 11.2 ± 6.8 | 29.2 ± 28.6 | 9.6 ± 6.8 | 0.011 |
| Duration of medication use | 11.1 ± 17.7 | 11.7 ± 16.2 | 5.1 ± 6.4 | 8.5 ± 12.8 | 9.0 ± 10.9 | < 0.001 |
| Factors | HR (95% CI) | p Value for Univariate Analysis | HR (95% CI) | p Value for Multivariate Analysis |
|---|---|---|---|---|
| Sex, male | 1.064 (0.758–1.495) | 0.720 | ||
| Age > 70 years | 2.457 (1.733–3.484) | <0.001 * | 2.041 (1.313–3.172) | 0.002 * |
| BMI ≥ 25 kg/m2 | 0.740 (0.512–1.069) | 0.108 | ||
| Hypertension | 1.498 (1.066–2.106) | 0.020 * | 0.926 (0.607–1.413) | 0.721 |
| Diabetes | 1.054 (0.700–1.585) | 0.802 | ||
| Dyslipidemia | 0.991 (0.553–1.776) | 0.975 | ||
| Periampullary diverticulum | 1.452 (1.027–2.055) | 0.035 * | 1.135 (0.741–1.739) | 0.559 |
| Type I | reference | reference | ||
| Type II | 0.433 (0.196–0.953) | 0.038 * | ||
| Type III | 0.585 (0.256–1.338) | 0.204 | ||
| Type II + III | ||||
| Bile duct diameter > 13 mm | 1.940 (1.378–2.732) | <0.001 * | 1.802 (1.177–2.759) | 0.007 * |
| 0.743 (0.529–1.045) | 0.088 | 0.676 (0.447–1.021) | 0.063 | |
| Procedure | ||||
| EST only | 0.395 (0.203–0.768) | 0.006 * | 0.445 (0.199–0.995) | 0.049 * |
| EST + EPBD | 3.743 (2.594–5.402) | <0.001 * | 2.061 (1.267–3.352) | 0.004 * |
| EST + EPLBD | 1.850 (1.238–2.765) | 0.003 * | ||
| Mechanical lithotripsy | 2.008 (1.402–2.875) | <0.001 * | 1.528 (0.923–2.527) | 0.099 |
| Type of removed CBD stone | ||||
| Brown | reference | reference | ||
| Black | 0.704 (0.460–1.077) | 0.105 | ||
| Cholesterol | 0.709 (0.431–1.168) | 0.177 | ||
| Black + Cholesterol | 0.687 (0.482–0.979) | 0.038 * | 0.871 (0.562–1.352) | 0.538 |
| Medication group | ||||
| No medication | reference | reference | reference | reference |
| Single agent | 0.206 (0.133–0.321) | <0.001 * | 0.122 (0.069–0.215) | <0.001 * |
| Dual agent | 0.153 (0.100–0.234) | <0.001 * | 0.109 (0.064–0.188) | <0.001 * |
| Medication > 7 months | 0.555 (0.364–0.847) | 0.006 * | 1.079 (0.662–1.757) | 0.760 |
| No Medication n = 19 | Single Agent n = 56 | Dual Agent n = 23 | p Value | |
|---|---|---|---|---|
| Baseline characteristics | ||||
| Sex, male | 8 (42.1) | 28 (50.0) | 12 (52.2) | 0.788 |
| Age (years) | 66.3 ± 16.5 | 70.1 ± 14.2 | 64.8 ± 14.4 | 0.297 |
| BMI (kg/m2) | 23.2 ± 6.3 | 22.9 ± 3.9 | 24.4 ± 3.3 | 0.396 |
| Hypertension | 9 (47.4) | 29 (51.8) | 10 (43.5) | 0.789 |
| Diabetes | 4 (21.1) | 13 (23.2) | 2 (8.7) | 0.326 |
| Dyslipidemia | 2 (10.5) | 6 (10.7) | 1 (4.3) | 0.656 |
| Type of removed CBD stone | ||||
| Brown/black/cholesterol | 11/6/1 | 37/13/6 | 11/11/1 | 0.275 |
| Duration of medication use (months) | - | 12.0 ± 20.8 | 11.1 ± 15.3 | 0.870 |
| Results | ||||
| Stone size change Decrease/no change/increase | 6/5/8 | 16/12/28 | 8/8/7 | 0.592 |
| Stone size pre-ERCP (cm) | 0.95 ± 0.38 | 1.10 ± 0.74 | 1.10 ± 0.77 | 0.702 |
| Stone size post-ERCP (cm) | 1.01 ± 0.50 | 1.18 ± 0.89 | 0.85 ± 0.71 | 0.250 |
| Change in stone size (%) | 7.69 ± 27.7 | 24.1 ± 107.1 | –1.3 ± 83.9 | 0.426 |
| >30% stone resolution | 1 (5.3) | 8 (14.3) | 8 (34.8) | 0.028 *† |
Disclaimer/Publisher’s Note: The statements, opinions and data contained in all publications are solely those of the individual author(s) and contributor(s) and not of MDPI and/or the editor(s). MDPI and/or the editor(s) disclaim responsibility for any injury to people or property resulting from any ideas, methods, instructions or products referred to in the content. |
© 2024 by the authors. Licensee MDPI, Basel, Switzerland. This article is an open access article distributed under the terms and conditions of the Creative Commons Attribution (CC BY) license (https://creativecommons.org/licenses/by/4.0/).
Share and Cite
Sung, M.J.; Han, S.Y.; Lee, J.H.; Kim, T.I.; Kim, D.U.; Kwon, C.-I.; Cho, J.H.; Choe, J.W.; Hyun, J.J.; Yang, J.K.; et al. Combinatorial Effects of Terpene, Chenodeoxycholic Acid, and Ursodeoxycholic Acid on Common Bile Duct Stone Recurrence and Gallbladder Stone Dissolution. J. Clin. Med. 2024, 13, 7414. https://doi.org/10.3390/jcm13237414
Sung MJ, Han SY, Lee JH, Kim TI, Kim DU, Kwon C-I, Cho JH, Choe JW, Hyun JJ, Yang JK, et al. Combinatorial Effects of Terpene, Chenodeoxycholic Acid, and Ursodeoxycholic Acid on Common Bile Duct Stone Recurrence and Gallbladder Stone Dissolution. Journal of Clinical Medicine. 2024; 13(23):7414. https://doi.org/10.3390/jcm13237414
Chicago/Turabian StyleSung, Min Je, Sung Yong Han, Jong Hyun Lee, Tae In Kim, Dong Uk Kim, Chang-Il Kwon, Jae Hee Cho, Jung Wan Choe, Jong Jin Hyun, Jae Kook Yang, and et al. 2024. "Combinatorial Effects of Terpene, Chenodeoxycholic Acid, and Ursodeoxycholic Acid on Common Bile Duct Stone Recurrence and Gallbladder Stone Dissolution" Journal of Clinical Medicine 13, no. 23: 7414. https://doi.org/10.3390/jcm13237414
APA StyleSung, M. J., Han, S. Y., Lee, J. H., Kim, T. I., Kim, D. U., Kwon, C.-I., Cho, J. H., Choe, J. W., Hyun, J. J., Yang, J. K., Lee, T. H., Lee, J., Jang, S. I., & Jeong, S. (2024). Combinatorial Effects of Terpene, Chenodeoxycholic Acid, and Ursodeoxycholic Acid on Common Bile Duct Stone Recurrence and Gallbladder Stone Dissolution. Journal of Clinical Medicine, 13(23), 7414. https://doi.org/10.3390/jcm13237414

