Prevalence of Oral Diseases and the Influence of the Presence of Overweight/Obesity in Schoolchildren Population in Mallorca
Abstract
1. Introduction
2. Materials and Methods
2.1. Study Design and Target Population
2.2. Data Collection and Study Variables
- Underweight if the BMI < −2SD,
- Normal weight if the BMI ≥ −2SD and ≤ +1SD,
- Overweight if the BMI > + 1SD and < +2SD,
- Obese if the BMI > +2SD.
- Underweight, when the percentile weight is <5,
- Normal weight, when the percentile weight is =5 to <85,
- Overweight, when the percentile weight is =85 to <95,
- Obese, when the percentile weight is ≥95.
2.3. Analyzed Variables
- For the analysis of sociodemographic variables, the following variables were considered: sex, age.
- For the analysis of caries prevalence, the following variables were considered:dmf index (sum of decayed, missing and filled primary teeth), DMFT index (sum of decayed, missing, and filled permanent teeth).
- For the analysis of periodontal disease prevalence, the following variables were considered: community periodontal index (CPI), and number of sextants affected.
- For the analysis of obesity prevalence, the following variables were considered: weight, percentiles, fat, waist circumference, hip circumference, waist-hip ratio (WHR), waist-to-height ratio, and body mass index (BMI).
- For the analysis of the relationship/association between obesity and oral pathology, the following variables were considered: number of healthy teeth.
2.4. Consistency and Reproducibility of the Data
2.5. Ethical Treatment of the Data and Statistical Analysis
3. Results
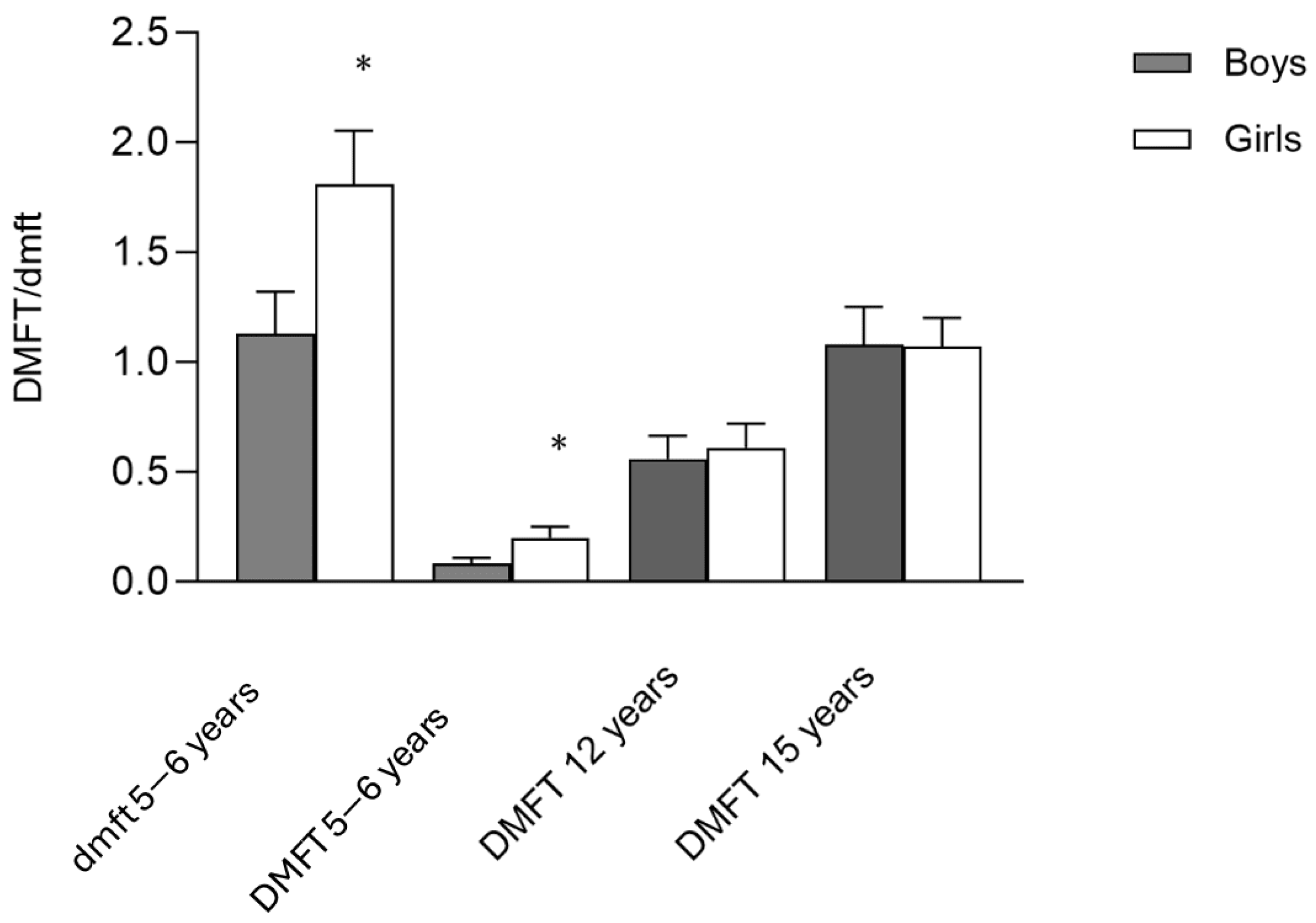
3.1. Analysis of Caries Disease
3.2. Distribution of Caries
3.3. Cumulative Distribution of the DMFT Index
3.4. Analysis of Periodontal Diseases
Prevalence of Periodontal Disease by Age
3.5. Interrelationship of Oral Health and Physical Condition in Students
4. Discussion
5. Conclusions
Author Contributions
Funding
Institutional Review Board Statement
Informed Consent Statement
Data Availability Statement
Acknowledgments
Conflicts of Interest
References
- Hayden, C.; Bowler, J.O.; Chambers, S.; Freeman, R.; Humphris, G.; Richards, D.; Cecil, J.E. Obesity and dental caries in children: A systematic review and meta-analysis. Community Dent. Oral Epidemiol. 2012, 41, 289–308. [Google Scholar] [CrossRef]
- Maffeis, C.; Tatò, L. Long-term effects of childhood obesity on morbidity and mortality. Horm. Res. 2001, 55 (Suppl. S1), 42–45. [Google Scholar] [CrossRef]
- Franco Mejía, A.J.; Balseca Ibarra, M.C. Enfermedad periodontal, prevalencia y factores de riesgo en niños y adolescentes. Revisión de la literatura. Recimundo 2021, 5, 359–367. [Google Scholar] [CrossRef]
- Ebbeling, C.B.; Pawlak, D.B.; Ludwig, D.S. Childhood obesity: Public-health crisis, common sense cure. Lancet 2002, 360, 473–482. [Google Scholar] [CrossRef]
- Rodríguez Michel, M.; Ibañez, Y.; López Jordi, M.; Álvarez Loureiro, L. Asociación entre obesidad y caries dental en niños y adolescentes. Revisión. Odontoestomatologia 2023, 25. [Google Scholar] [CrossRef]
- Ogden, C.L.; Carroll, M.D.; Kit, B.K.; Flegal, K.M. Prevalence of childhood and adult obesity in the United States, 2011–2012. JAMA 2014, 311, 806–814. [Google Scholar] [CrossRef]
- Agencia Española de Seguridad Alimentaria y Nutrición (AESAN). Estrategia Para la Nutrición, Actividad Física y Prevención de la Obesidad; Agencia Española de Seguridad Alimentaria y Nutrición (AESAN): Madrid, Spain, 2022. [Google Scholar]
- Cabeza Irigoyen, E.; Artigues Vives, G.; Pujol Buades, À.; Villalonga Beltran, B.; Henríquez Sánchez, P.; Mendez, M.A. Prevalencia de la Obesidad Infantil y Juvenil en las Illes Balears. (EPOIB). Consejería de Salud y Consumo, Dirección General de Salud Pública y Participación. 2007. Available online: https://pesquisa.bvsalud.org/portal/resource/pt/lis-42411 (accessed on 24 November 2024).
- Cubero Santos, A.; Lorido Cano, I.; González Huéscar, A.; Ferrer García, M.; Zapata Carrasco, M.; Ambel Sánchez, J.L. Prevalencia de caries dental en escolares de educación infantil de una zona de salud con nivel socioeconómico bajo. Pediatría Atención Primaria 2023, 21, e47–e59. [Google Scholar]
- Fejerskov, O. Concepts of dental caries and their consequences for understanding the disease. Community Dent. Oral Epidemiol. 1997, 25, 5–12. [Google Scholar] [CrossRef]
- Pitts, N.B.; Zero, D.T.; Marsh, P.D.; Ekstrand, K.; Weintraub, J.A.; Ramos-Gomez, F.; Tagami, J.; Twetman, S.; Tsakos, G.; Ismail, A. Dental caries. Nat. Rev. Dis. Primers. 2017, 3, 17030. [Google Scholar] [CrossRef]
- Martínez-Beneyto, Y.; Navarrete-García, C.; Serna-Muñoz, C.; Ausina-Márquez, V.; Poza-Pascual, A.; Expósito-Delgado, A.J.; Vicente, A.; Ortiz-Ruiz, A.J. Spanish Paediatricians’ knowledge, attitudes and practices regarding oral health of children under 6 years of age: A cross-sectional study. Int. J. Environ. Res. Public Health 2022, 19, 9550. [Google Scholar] [CrossRef] [PubMed]
- LadLadeira, L.L.C.; Nascimento, G.G.; Leite, F.R.M.; Alves-Costa, S.; Barbosa, J.M.A.; Alves, C.M.C.; Ribeiro, C.C.C. Obesity, Insulin Resistance, Caries, and Periodontitis: Syndemic Framework. Nutrients 2023, 15, 3512. [Google Scholar] [CrossRef] [PubMed]
- Singh, V.P.; Gan, J.Y.; Liew, W.L.; Kyaw Soe, H.H.; Nettem, S.; Nettemu, S.K. Association between quality of sleep and chronic periodontitis: A case-control study in Malaysian population. Dent. Res. J. 2019, 16, 29–35. [Google Scholar] [CrossRef]
- Una Llamada a la Acción Atlas de Salud Bucodental en España. Available online: www.grupoicm.es (accessed on 17 May 2023).
- Santonocito, S.; Polizzi, A.; Palazzo, G.; Indelicato, F.; Isola, G. Dietary Factors Affecting the Prevalence and Impact of Periodontal Disease. Clin. Cosmet. Investig. Dent. 2021, 13, 283–292. [Google Scholar] [CrossRef] [PubMed]
- Sun, H.B.; Zhang, W.; Zhou, X.B. Risk Factors associated with Early Childhood Caries. Chin. J. Dent. Res. 2017, 20, 97–104. [Google Scholar] [PubMed]
- Rousham, E.K.; Goudet, S.; Markey, O.; Griffiths, P.; Boxer, B.; Carroll, C.; Petherick, E.S.; Pradeilles, R. Unhealthy Food and Beverage Consumption in Children and Risk of Overweight and Obesity: A Systematic Review and Meta-Analysis. Adv. Nutr. Int. Rev. J. 2022, 13, 1669–1696. [Google Scholar] [CrossRef]
- Lagerweij, M.; van Loveren, C. Chapter 7: Sugar and Dental Caries. Monogr. Oral. Sci. 2020, 28, 68–76. [Google Scholar]
- Machado, V.; Lobo, S.; Proença, L.; Mendes, J.J.; Botelho, J. Vitamin D and Periodontitis: A Systematic Review and Meta-Analysis. Nutrients 2020, 12, 2177. [Google Scholar] [CrossRef]
- Chaffee, B.W.; Weston, S.J. Association between chronic periodontal disease and obesity: A systematic review and meta-analysis. J. Periodontol. 2010, 81, 1708–1724. [Google Scholar] [CrossRef]
- Checa-Ros, A.; Hsueh, W.C.; Merck, B.; González-Torres, H.; Bermúdez, V.; D’Marco, L. Obesity and Oral Health: The Link Between Adipokines and Periodontitis. Eur. Endocrinol. 2024, 20, 25–31. [Google Scholar] [CrossRef]
- Chacón Arboleda, P.T.; Morales Velásquez, J.A.; Echeverry Cañas, C.E.; Torres Henao, C.M.; Olivares Duque, M. Periodontitis, sobrepeso y obesidad: Revisión narrativa Periodontitis, overweight and obesity: A narrative review. Nutr. Clínica Dietética Hosp. 2021, 41, 130–140. [Google Scholar]
- Arboleda, S.; Vargas, M.; Losada, S.; Pinto, A. Review of obesity and periodontitis: An epidemiological view. Br. Dent. J. 2019, 227, 235–239. [Google Scholar] [CrossRef] [PubMed]
- World Health Organization. Oral Health Surveys Basic Methods, 5th ed.; World Health Organization: Geneva, Switzerland, 2013. [Google Scholar]
- Tobin, A.O.; Ajayi, I.O. Common oral conditions and correlates: An oral health survey in Kwara State Nigeria. BMC Res. Notes. 2017, 10, 568. [Google Scholar] [CrossRef] [PubMed]
- Vrbič, V.; Vrbič, M. Epidemiology of Caries in 12-Year-Olds in Slovenia 1987–2013. Oral Health Prev. Dent. 2016, 14, 467–473. [Google Scholar] [PubMed]
- Von Elm, E.; Altman, D.G.; Egger, M.; Pocock, S.J.; Gøtzsche, P.C.; Vandenbroucke, J.P. The Strengthening the Reporting of Observational Studies in Epidemiology (STROBE) statement: Guidelines for reporting observational studies. J. Clin. Epidemiol. 2008, 61, 344–349. [Google Scholar] [CrossRef]
- World Health Organization. WHO Child Growth Standards; World Health Organization: Geneva, Switzerland, 2009. [Google Scholar]
- Kuczmarski, R.R.J.; Ogden, C.L.C.; Guo, S.S.; Grummer-Strawn, L.M.; Flegal, K.M.; Mei, Z.; Wei, R.; Curtin, L.R.; Roche, A.F.; Johnson, C.L. 2000 CDC Growth Charts for the United States: Methods and development. Vital Health Stat. 2002, 246, 1–190. [Google Scholar]
- Landis, J.R.; Koch, G.G. The measurement of observer agreement for categorical data. Biometrics 1977, 33, 159–174. [Google Scholar] [CrossRef]
- Frencken, J.E.; Sharma, P.; Stenhouse, L.; Green, D.; Laverty, D.; Dietrich, T. Global epidemiology of dental caries and severe periodontitis-a comprehensive review. J. Clin. Periodontol. 2017, 44 (Suppl. S18), S94–S105. [Google Scholar] [CrossRef]
- Vallogini, G.; Nobili, V.; Rongo, R.; De Rosa, S.; Magliarditi, F.; D’Antò, V.; Galeotti, A. Evaluation of the relationship between obesity, dental caries and periodontal disease in adolescents. Eur. J. Paediatr. Dent. 2017, 18, 268–272. [Google Scholar] [PubMed]
- Abanto, J.; Carvalho, T.S.; Mendes, F.M.; Wanderley, M.T.; Bönecker, M.; Raggio, D.P. Impact of oral diseases and disorders on oral health-related quality of life of preschool children. Community Dent. Oral Epidemiol. 2011, 39, 105–114. [Google Scholar] [CrossRef]
- Mihrshahi, S.; Baur, L.A. What exposures in early life are risk factors for childhood obesity? J. Paediatr. Child Health 2018, 54, 1294–1298. [Google Scholar] [CrossRef]
- Lee, E.Y.; Yoon, K.H. Epidemic obesity in children and adolescents: Risk factors and prevention. Front. Med. 2018, 12, 658–666. [Google Scholar] [CrossRef] [PubMed]
- Phantumvanit, P.; Makino, Y.; Ogawa, H.; Rugg-Gunn, A.; Moynihan, P.; Petersen, P.E.; Evans, W.; Feldens, C.A.; Lo, E.; Khoshnevisan, M.H.; et al. WHO Global Consultation on Public Health Intervention against Early Childhood Caries. Community Dent. Oral Epidemiol. 2018, 46, 280–287. [Google Scholar] [CrossRef]
- Pérez, M.B.; Silla, J.M.A.; Díaz, E.C.; Peidró, E.C.; Martinicorena, F.C.; Delgado, A.E.; Casas, M.T. Encuesta de salud oral en España 2020. RCOE 2020, 25, 12–69. [Google Scholar]
- Bravo Pérez, M.; Almerich Silla, J.M.; Ausina Márquez, V.; Avilés Gutiérrez, P.; Blanco González, J.M.; Canorea Díaz, E.; Sainz Ruiz, C. Encuesta Salud oral en España 2015. RCOE 2016, 21, 8–48. [Google Scholar]
- Tobajas Ruber, P.; LLodrá Calvo, J.C.; Quintana Abraham, J.M.; Bravo Pérez, M.; Hernández Rodríguez, C.; Enquesta de Salut Bucodental a Escolars de les Illes Balears 2005. Palma: Conselleria de Salut i Consum: Servei de Salut de les Illes Balears. 2006. Available online: https://www.docusalut.com/handle/20.500.13003/20957 (accessed on 16 November 2022).
- Quintana Abraham, J.M.; Cuenca Sala, E. Estudio de Prevalencia de Caries y Necesidades de Tratamiento: Población Escolar de la CAIB. Servei de Salut de les Illes Balears: Palma, Spain, 2004. [Google Scholar]
- Cabeza Irigoyen, E.; Mateo Erroz, S.; Artigues Vives, G.; Núñez Jiménez, C. Segundo Estudio de Prevalencia de la Obesidad Infantil y Juvenil en las Illes Balears (Epoib-II) 2016–2017. 2016. Available online: https://www.caib.es/sites/promociosalut/f/299381 (accessed on 16 November 2022).
- Köksal, E.; Tekçiçek, M.; Yalçin, S.S.; Tuğrul, B.; Yalçin, S.; Pekcan, G. Association between anthropometric measurements and dental caries in Turkish school children. Cent. Eur. J. Public Health 2011, 19, 147–151. [Google Scholar] [CrossRef] [PubMed]
- Hooley, M.; Skouteris, H.; Boganin, C.; Satur, J.; Kilpatrick, N. Body mass index and dental caries in children and adolescents: A systematic review of literature published 2004 to 2011. Syst. Rev. 2012, 1, 57. [Google Scholar] [CrossRef]
- Chen, W.; Chen, P.; Chen, S.C.; Shih, W.T.; Hu, H.C. Lack of association between obesity and dental caries in three-year-old children. Zhonghua Minguo Xiao Er Ke Yi Xue Hui Za Zhi 1998, 39, 109–111. [Google Scholar]
- Mur Villar, N.; García San Juan, C.; Catellanos González, M.; Sexto Delgado, N.; Méndez Castellanos, C.; Gamio Pruna, W. La influencia de la obesidad y la ateroesclerosis en la etiología y patogenia de las enfermedades periodontales. Medisur 2017, 15, 93–106. [Google Scholar]
- Keller, A.; Rohde, J.F.; Raymond, K.; Heitmann, B.L. Association between periodontal disease and overweight and obesity: A systematic review. J. Periodontol. 2015, 86, 766–776. [Google Scholar] [CrossRef]
- Pazmino, V.; Assem, N.; Pellizzer, E.; De Almedia, J.; Theodor, L. Influencia del estrógeno en la enfermedad periodontal. Revisión de literatura. AvPeriodon. Implantol. 2015, 27, 75–78. [Google Scholar] [CrossRef]
- Tinanoff, N.; Baez, R.J.; Diaz Guillory, C.; Donly, K.J.; Feldens, C.A.; McGrath, C.; Twetman, S. Early childhood caries epidemiology, aetiology, risk assessment, societal burden, management, education, and policy: Global perspective. Int. J. Paediatr. Dent. 2019, 29, 238–248. [Google Scholar] [CrossRef] [PubMed]
- Bellido Guerrero, D.; López de la Torre Casares, M.; Monereo Megías, S. Obesidad: Una enfermedad crónica. In Primera; Sociedad, E.O., Ed.; Editorial Médica Panamericana: Madrid, Spain, 2023. [Google Scholar]







| Day 1 | Presentation of the survey. Contact with research personnel. Presentation of the instrumentation: lighting and examination equipment Exploration of the clinical record: how to fill it in Clinical criteria according to WHO standards for each of the study parameters Viewing and discussion of examples |
| Day 2 and Day 3 | Calibration of the practice on students: performing cross scans for the analysis of inter-rater agreement needed to calculate the Kappa index |
| Day 4 | Discussion and assessment of agreement. Logistical instructions for sampling, parental (student) permission, data submission |
| Examiner | Kappa ± SE |
|---|---|
| Examiner 001 | |
| Examiner 002 | |
| Examiner 003 | |
| Examiner 004 | |
| Examiner 005 | |
| Examiner 006 | |
| Examiner 007 |
| 1st Grade Elementary (5–6 Years) | 6th Grade Elementary (12 Years) | 4th Year Secondary (15 Years) | Total | ||||||
|---|---|---|---|---|---|---|---|---|---|
| N | % | N | % | N | % | N | % | ||
| Sex | Male | 144 | 56.47 | 125 | 54.35 | 112 | 48.06 | 381 | 53.06 |
| Female | 111 | 43.53 | 105 | 46.65 | 121 | 51.93 | 337 | 46.94 | |
| Area of Residence (from student) | Urban +Peri-urban | 47 | 18.43 | 36 | 15.65 | 79 | 33.90 | 162 | 22.56 |
| Rural | 158 | 61.96 | 120 | 52.17 | 84 | 36.05 | 362 | 50.42 | |
| Known | 205 | 80.39 | 156 | 67.83 | 163 | 69.95 | 524 | 72.98 | |
| Unknown | 50 | 19.61 | 74 | 31.17 | 69 | 29.61 | 193 | 27.02 | |
| Country of Birth (from student) | Spain | 220 | 86.27 | 203 | 88.26 | 201 | 86.26 | 624 | 86.90 |
| Other countries of the European Union | 7 | 2.75 | 12 | 5.22 | 8 | 3.45 | 27 | 3.77 | |
| Canada + USA | 1 | 0.39 | 0 | 0 | 1 | 0.43 | 2 | 0.28 | |
| Rest of America | 8 | 3.14 | 8 | 3.48 | 9 | 3.88 | 25 | 3.49 | |
| Asia | 3 | 1.18 | 0 | 0 | 5 | 2.16 | 8 | 1.12 | |
| Africa | 3 | 1.18 | 5 | 2.17 | 1 | 0.43 | 9 | 1.26 | |
| Oceania | 0 | 0.00 | 0 | 0 | 0 | 0.00 | 0 | 0.00 | |
| Known | 242 | 94.90 | 228 | 0 | 225 | 96.56 | 695 | 96.79 | |
| Unknown | 13 | 5.10 | 2 | 0.87 | 8 | 3.43 | 23 | 3.20 | |
| Type of school | Public | 177 | 69.4 | 159 | 69.1 | 191 | 81.6 | 527 | 73.3 |
| Private/ Charter | 78 | 30.6 | 71 | 30.9 | 43 | 18.4 | 192 | 26.7 | |
| N | Mean | SD | % | (95%CI) | ||
|---|---|---|---|---|---|---|
| 5–6 years | Primary dentition | 102 | 1.47 | 2.44 | 40.00 | (33.9–46.01) |
| Permanent dentition | 20 | 0.13 | 0.53 | 7.84 | (4.54–11.1) | |
| 12 years | Permanent dentition | 63 | 0.58 | 1.16 | 27.39 | (21.6–33.1) |
| 15 years | Permanent dentition | 106 | 1.08 | 1.65 | 45.49 | (39.0–51.8) |
| 5–6 years (primary) | n (255) | % | (95% CI) |
| dmf = 0 | 153 | 60.0 | (54.0–66.0) |
| dmf = 1 | 27 | 10.6 | (6.8–14.4) |
| dmf = 2 | 20 | 7.8 | (4.5–11.1) |
| dmf = 3 | 14 | 5.5 | (2.7–8.3) |
| dmf = 4 | 11 | 4.3 | (1.8–6.8) |
| dmf = 5–9 | 27 | 10.6 | (6.8–14.4) |
| dmf ≥ 10 | 3 | 1.2 | (0.0–2.5) |
| 5–6 years (permanent) | n (253) | % | (95% CI) |
| DMFT = 0 | 235 | 92.2 | (88.9–95.5) |
| DMFT = 1 | 11 | 4.3 | (1.8–6.8) |
| DMFT = 2 | 6 | 2.4 | (0.5–4.2) |
| DMFT = 3 | 1 | 0.4 | (0.0–1.2) |
| DMFT = 4 | 2 | 0.8 | (0.0–1.9) |
| DMFT = 5–9 | 0 | 0.0 | (0.0–0.0) |
| DMFT ≥ 10 | 0 | 0.0 | (0.0–0.0) |
| 12 years | n (230) | % | (95% CI) |
| DMFT = 0 | 167 | 72.6 | (66.8–78.4) |
| DMFT = 1 | 29 | 12.2 | (8.3–16.9) |
| DMFT = 2 | 14 | 6.1 | (2.7–8.6) |
| DMFT = 3 | 8 | 3.5 | (1.1–5.8) |
| DMFT = 4 | 9 | 3.9 | (1.4–6.4) |
| DMFT = 5–9 | 2 | 0.9 | (0.0–2.8) |
| DMFT ≥ 10 | 1 | 00.4 | (0.0–1.3) |
| 15 years | n (245) | % | (95% CI) |
| DMFT = 0 | 127 | 55.2 | (48.8–61.6) |
| DMFT = 1 | 43 | 18.7 | (13.7–23.7) |
| DMFT = 2 | 27 | 11.7 | (7.6–15.9) |
| DMFT = 3 | 12 | 5.2 | (2.3–8.1) |
| DMFT = 4 | 12 | 5.2 | (2.3–8.1) |
| DMFT = 5–9 | 11 | 4.8 | (2.0–7.5) |
| DMFT ≥ 10 | 1 | 0.4 | (0.0–1.3) |
| 12 Years | 15 Years | |||||||||||||||
|---|---|---|---|---|---|---|---|---|---|---|---|---|---|---|---|---|
| Individuals | DMF Teeth b | Individuals | DMF Teeth | |||||||||||||
| DMFT | n | % | Cumulative % | 95% CI | n | % | Cumulative % | 95% CI | n | % | Cumulative % | 95% CI | n | % | Cumulative % | 95% CI |
| ≥10 | - | - | - | 0 | - | - | 1 | 0.4 | 0.4 | (0.0–1.3) | 12 | 4.8 | 4.8 | (2.7–7.4) | ||
| 8 | - | - | - | 0 | - | - | 0 | - | - | 0 | - | - | ||||
| 7 | - | - | - | 0 | - | - | 0 | - | - | 0 | - | - | ||||
| 6 | 1 | 0.4 | 0.4 | (0.0–1.3) | 6 | 4.5 | 4.5 | (1.0–8.1) | 3 | 1.3 | 1.7 | (0.0–2.7) | 18 | 7.2 | 12.0 | (4.0–10.4) |
| 5 | 2 | 0.9 | 1.3 | (0.0–2.1) | 10 | 7.6 | 12.1 | (3.1–12.1) | 8 | 3.4 | 5.8 | (1.1–5.8) | 40 | 15.9 | 27.9 | (11.4–20.5) |
| 4 | 9 | 3.9 | 5.2 | (1.4–2.8) | 36 | 27.3 | 39.3 | (19.7–34.9) | 12 | 5.2 | 10.9 | (2.3–8.0) | 48 | 19.1 | 47.0 | (14.3–24.0) |
| 3 | 8 | 3.5 | 8.7 | (1.1–5.8) | 24 | 18.2 | 57.5 | (11.6–24.8) | 12 | 5.2 | 16.1 | (2.3–8.8) | 36 | 14.3 | 61.4 | (10.0–18.7) |
| 2 | 14 | 6.1 | 14.8 | (3.0–9.0) | 28 | 21.2 | 78.7 | (14.2–28.2) | 27 | 11.6 | 27.7 | (7.5–15.7) | 54 | 21.5 | 82.9 | (16.4–26.6) |
| 1 | 29 | 12.6 | 27.40 | (8.3–16.9) | 28 | 21.2 | 100.0 | (14.2–28.2) | 43 | 18.5 | 46.1 | (13.5–23.4) | 43 | 17.1 | 100.0 | (12.5–21.8) |
| 0 | 167 | 72.6 | 100.0 | (66.6–78.49 | 0 | 0.0 | 100.0 | 127 | 54.5 | 100.0 | (48.1–60.9) | 0 | 0.0 | |||
| Total | 230 | 100 | 132 | 10.0 | 233 | 100.0 | 251 | 100.0 | ||||||||
| 12 Years | 15 Years | |||||||||
|---|---|---|---|---|---|---|---|---|---|---|
| Maximum CPI | n | % | Mean | SD | 95% CI | n | Mean | SD | % | 95% CI |
| 12 years | 206 | 194 | ||||||||
| 0 (Healthy) | 69 | 30.0 | 3.63 | 2.18 | (25.3–37.6) | 53 | 2.97 | 2.26 | 22.7 | (20.7–33.0) |
| 1 (Bleeding) | 68 | 29.6 | 1.50 | 1.80 | (24.9–37.1) | 54 | 1.97 | 1.92 | 23.2 | (21.1–33.6) |
| 2 (Calculus) | 69 | 30.0 | 0.55 | 1.10 | (25.3–37.6) | 87 | 0.66 | 0.99 | 52.8 | (37.2–51.0) |
| Not collected | 13 | - | - | 3 | - | - | ||||
| The 6 sextants are X | 0 | - | - | 0 | - | - | ||||
| CPI Code | Sex | 12 Years | 15 Years | ||||||
|---|---|---|---|---|---|---|---|---|---|
| N | Mean ± SD | (95%CI) | p | N | Mean ± SD | (95%CI) | p | ||
| 0 (Healthy) | Boys | 119 | 3.97 ± 2.02 | (3.60–4.34) | 0.063 | 110 | 2.70 ± 2.29 | (2.26–3.13) | 0.029 * |
| Girls | 98 | 3.53 ± 2.23 | (3.08–3.97) | 120 | 3.26 ± 2.21 | (2.86–3.66) | |||
| ≥1 (Bleeding) | Boys | 119 | 1.21 ± 1.56 | (0.93–1.50) | 0.004 * | 110 | 2.12 ± 1.92 | (1.76–2.49) | 0.161 |
| Girls | 98 | 1.86 ± 2.00 | (1.46–2.26) | 120 | 1.87 ± 1.93 | (1.52–2.22) | |||
| ≥2 (Calculus) | Boys | 119 | 0.67 ± 1.17 | (0.46–0.89) | 0.053 | 110 | 0.71 ± 1.05 | (0.51–0.91) | 0.261 |
| Girls | 98 | 0.42 ± 1.00 | (0.22–0.63) | 120 | 0.63 ± 0.95 | (0.46–0.08 | |||
| x (Excluded) | Boys | 119 | 0.00 ± 0.00 | - | - | 110 | 0.01 ± 0.19 | (0.00–0.05) | - |
| Girls | 98 | 0.03 ± 0.22 | (0.00–0.07) | 120 | 0.00 ± 0.00 | - | |||
| Not collected | Boys | (6) | 0.08 ± 0.09 | (0.00–0.02) | - | (2) | 0.04 ± 0.15 | (0.00–0.11) | - |
| Girls | (7) | 0.03 ± 0.30 | (0.00–0.09) | (1) | 0.00 ± 0.00 | - | |||
| The 6 sextants are X | Boys | 0 | - | - | - | 0 | - | - | - |
| Girls | 0 | - | - | 0 | - | - | |||
| Sex | N | % | 95%CI | ||
|---|---|---|---|---|---|
| 5–6 years | Severe underweight | Boys (142) | 1 | 0.70 | (0.00–2.07) |
| Girls (109) | 0 | 0.00 | - | ||
| Underweight | Boys (142) | 1 | 0.70 | (0.00–2.07) | |
| Girls (109) | 0 | 0.00 | - | ||
| Normal weight | Boys (142) | 77 | 54.23 | (46.03–62.41) | |
| Girls (109) | 74 | 67.89 | (59.12–76.65) | ||
| Overweight | Boys (142) | 36 | 25.35 | (18.19–32.50) | |
| Girls (109) | 20 | 18.35 | (11.08–25.46) | ||
| Obesity | Boys (142) | 27 | 19.01 | (12.55–25.46) | |
| Girls (109) | 15 | 13.76 | (7.29–20.22) | ||
| 12 years | Severe underweight | Boys (125) | 0 | 0 | - |
| Girls (102) | 1 | 0.98 | (0.00–2.89) | ||
| Underweight | Boys (125) | 2 | 1.60 | (0.00–3.79) | |
| Girls (102) | 4 | 3.92 | (0.15–7.68) | ||
| Normal weight | Boys (125) | 67 | 53.60 | (44.85–62.34) | |
| Girls (102) | 55 | 53.92 | (44.24–63.59) | ||
| Overweight | Boys (125) | 33 | 26.40 | (18.67–34.12) | |
| Girls (102) | 26 | 25.49 | (17.03–33.94) | ||
| Obesity | Boys (125) | 23 | 18.40 | (11.60–25.19) | |
| Girls (102) | 16 | 15.69 | (8.62–22.74) | ||
| 15 years | Severe underweight | Boys (112) | 2 | 1.79 | (0.00–4.23) |
| Girls (120) | 0 | 0 | - | ||
| Underweight | Boys (112) | 1 | 0.89 | (0.00–2.63) | |
| Girls (120) | 1 | 0.83 | (0.00–2.45) | ||
| Normal weight | Boys (112) | 74 | 66.07 | (57.3–74.8) | |
| Girls (120) | 85 | 70.83 | (62.7–78.9) | ||
| Overweight | Boys (112) | 27 | 24.11 | (16.1–32.02) | |
| Girls (120) | 24 | 20.00 | (9.99–23.3) | ||
| Obesity | Boys (112) | 8 | 7.14 | (2.37–11.91) | |
| Girls (120) | 10 | 8.33 | (3.38–13.27) | ||
| Percentiles | |||||||||
|---|---|---|---|---|---|---|---|---|---|
| MEAN | SD | 95% CI | 5 | 25 | 50 | 75 | 95 | ||
| Weight (Kg) | 5–6 years | 25.1 | 7.63 | (24.24–26.14) | 18.1 | 21.5 | 23.9 | 27.0 | 34.3 |
| 12 years | 45.63 | 11.85 | (44.10–47.21) | 30.8 | 37.6 | 43.5 | 51.6 | 30.8 | |
| 15 years | 62.3 | 12.06 | (60.80–64.50) | 46.1 | 54.2 | 60.7 | 68.1 | 84.5 | |
| Height (cm) | 5–6 years | 120.2 | 6.37 | (119.52–121.09) | 110.0 | 116.0 | 120.0 | 124.5 | 130.5 |
| 12 years | 150.4 | 7.93 | (149.33–151.40)) | 137.5 | 145.0 | 150.0 | 156.0 | 164.3 | |
| 15 years | 165.9 | 13.73 | (164.20–167.76) | 154.2 | 161.0 | 166.0 | 172.3 | 182.6 | |
| BMI (Kg/m2) | 5–6 years | 17.0 | 2.49 | (16.75–17.38) | 14.3 | 15.3 | 16.6 | 18.0 | 21.8 |
| 12 years | 19.9 | 3.96 | (19.47–17.38) | 54.5 | 61.5 | 67.0 | 74.75 | 89.0 | |
| 15 years | 22.3 | 4.00 | (21.85–22.89) | 17.41 | 19.69 | 21.81 | 24.18 | 30.18 | |
| Waist circumference (cm) | 5–6 years | 58.7 | 8.92 | (57.61–59.84) | 50.00 | 53.00 | 56.50 | 61.00 | 77.00 |
| 12 years | 68.4 | 11.28 | (66.90–69.90) | 65.50 | 75.25 | 82.00 | 89.75 | 103.0 | |
| 15 years | 74.46 | 12.1 | (72.89–76.03) | 61.00 | 67.50 | 72.00 | 79.25 | 95.45 | |
| Hip circumference (cm) | 5–6 years | 66.6 | 6.62 | (65.88–67.53) | 57.00 | 62.00 | 66.00 | 70.00 | 80.00 |
| 12 years | 82.2 | 12.25 | (80.56–83.75) | 13.00 | 14.00 | 15.00 | 16.00 | 18.00 | |
| 15 years | 93.01 | 13.58 | (91.25–94.77) | 73.78 | 88.00 | 93.00 | 99.60 | 108.0 | |
| Waist-hip ratio | 5–6 years | 0.88 | 0.09 | (0.86–0.89) | 0.77 | 0.83 | 0.87 | 0.91 | 1.10 |
| 12 years | 0.84 | 0.12 | (0.82–0.85) | 0.79 | 0.89 | 0.83 | 0.87 | 1.03 | |
| 15 years | 0.84 | 0.54 | (0.77–0.91) | 0.67 | 0.74 | 0.78 | 0.83 | 1.15 | |
| Waist-to-height ratio | 5–6 years | 0.49 | 0.89 | (0.47–0.49) | 0.42 | 0.45 | 0.57 | 0.51 | 0.64 |
| 12 years | 0.45 | 0.08 | (0.44–0.46) | 0.37 | 0.42 | 0.45 | 0.50 | 0.59 | |
| 15 years | 0.447 | 0.07 | (0.43–0.45) | 0.37 | 0.40 | 0.44 | 0.47 | 0.57 | |
| Caries | Periodontal Disease | ||||||||
|---|---|---|---|---|---|---|---|---|---|
| OR | (95%CI) | p | OR | (95%CI) | p | ||||
| Normal | 1.00 | (Reference) | - | 1 | (Reference) | - | |||
| Overweight/obesity | 1.179 | (0.715–1.943) | 0.518 | 1.085 | (0.698–1.686) | 0.714 | |||
| Factors (Potential confounding variables) | Sex | Male | Normal | 1.00 | (Reference) | - | 1 | (Reference) | - |
| Overweight/obesity | 1.198 | (0.734–1.955) | 0.470 | 1.360 | (0.732–2.525) | 0.329 | |||
| Female | Normal | 1.00 | (Reference) | - | 1 | (Reference) | - | ||
| Overweight/obesity | 1.145 | (0.700–1.872) | 0.590 | 0.890 | (0.470–1.685) | 0.721 | |||
| Age | 5–6 years | Normal | 1.00 | (Reference) | - | 1 | (Reference) | - | |
| Overweight/obesity | 1.147 | (0.445–2.964) | 0.776 | NA | NA | NA | |||
| 12 years | Normal | 1.00 | (Reference) | - | 1 | (Reference) | - | ||
| Overweight/obesity | 1.063 | (0.588–1.920) | 0.841 | 1.114 | (0.614–2.020) | 0.723 | |||
| 15 years | Normal | 1.00 | (Reference) | - | 1 | (Reference) | - | ||
| Overweight/obesity | 1.756 | (0.995–3.099) | 0.051 | 1.256 | (0.631–2.500) | 0.516 | |||
| Area of residency | Urban + Peri-urban | Normal | 1.00 | (Reference) | - | 1 | (Reference) | - | |
| Overweight/obesity | 1.390 | (0.850–2.271) | 0.188 | 0.774 | (0.413–1.453) | 0.425 | |||
| Rural | Normal | 1.00 | (Reference) | - | 1 | (Reference) | - | ||
| Overweight/obesity | 0.922 | (0.564–1.508) | 0.747 | 1.478 | (0.790–2.765) | 0.220 | |||
| Type of school | Public | Normal | 1.00 | (Reference) | - | 1 | (Reference) | - | |
| Overweight/obesity | 0.987 | (0.667–1.460) | 0.946 | 0.990 | (0.603–1.626) | 0.968 | |||
| Charter/ private | Normal | 1.00 | (Reference) | - | 1 | (Reference) | - | ||
| Overweight/obesity | 1.954 | (0.917–4.163) | 0.079 | 1.543 | (0.577–4.125) | 0.385 | |||
Disclaimer/Publisher’s Note: The statements, opinions and data contained in all publications are solely those of the individual author(s) and contributor(s) and not of MDPI and/or the editor(s). MDPI and/or the editor(s) disclaim responsibility for any injury to people or property resulting from any ideas, methods, instructions or products referred to in the content. |
© 2024 by the authors. Licensee MDPI, Basel, Switzerland. This article is an open access article distributed under the terms and conditions of the Creative Commons Attribution (CC BY) license (https://creativecommons.org/licenses/by/4.0/).
Share and Cite
Coll, I.; Vallejos, D.; Cuesta, R.; Domínguez, J.; Tomás, P.; López-Safont, N. Prevalence of Oral Diseases and the Influence of the Presence of Overweight/Obesity in Schoolchildren Population in Mallorca. J. Clin. Med. 2024, 13, 7283. https://doi.org/10.3390/jcm13237283
Coll I, Vallejos D, Cuesta R, Domínguez J, Tomás P, López-Safont N. Prevalence of Oral Diseases and the Influence of the Presence of Overweight/Obesity in Schoolchildren Population in Mallorca. Journal of Clinical Medicine. 2024; 13(23):7283. https://doi.org/10.3390/jcm13237283
Chicago/Turabian StyleColl, Irene, Daniela Vallejos, Raúl Cuesta, Jorge Domínguez, Pilar Tomás, and Nora López-Safont. 2024. "Prevalence of Oral Diseases and the Influence of the Presence of Overweight/Obesity in Schoolchildren Population in Mallorca" Journal of Clinical Medicine 13, no. 23: 7283. https://doi.org/10.3390/jcm13237283
APA StyleColl, I., Vallejos, D., Cuesta, R., Domínguez, J., Tomás, P., & López-Safont, N. (2024). Prevalence of Oral Diseases and the Influence of the Presence of Overweight/Obesity in Schoolchildren Population in Mallorca. Journal of Clinical Medicine, 13(23), 7283. https://doi.org/10.3390/jcm13237283

