Renal Cell Carcinoma with Venous Tumor Thrombus: 15 Years of Experience in an Oncology Center
Abstract
1. Introduction
2. Methodology
2.1. Study Design and Study Population
2.2. Peri-Operative Management
2.3. Surgical Technique
2.4. Follow-Up
2.5. Study Variables and Statistical Analysis
3. Results
3.1. Patient Characteristics
3.2. Tumor Characteristics
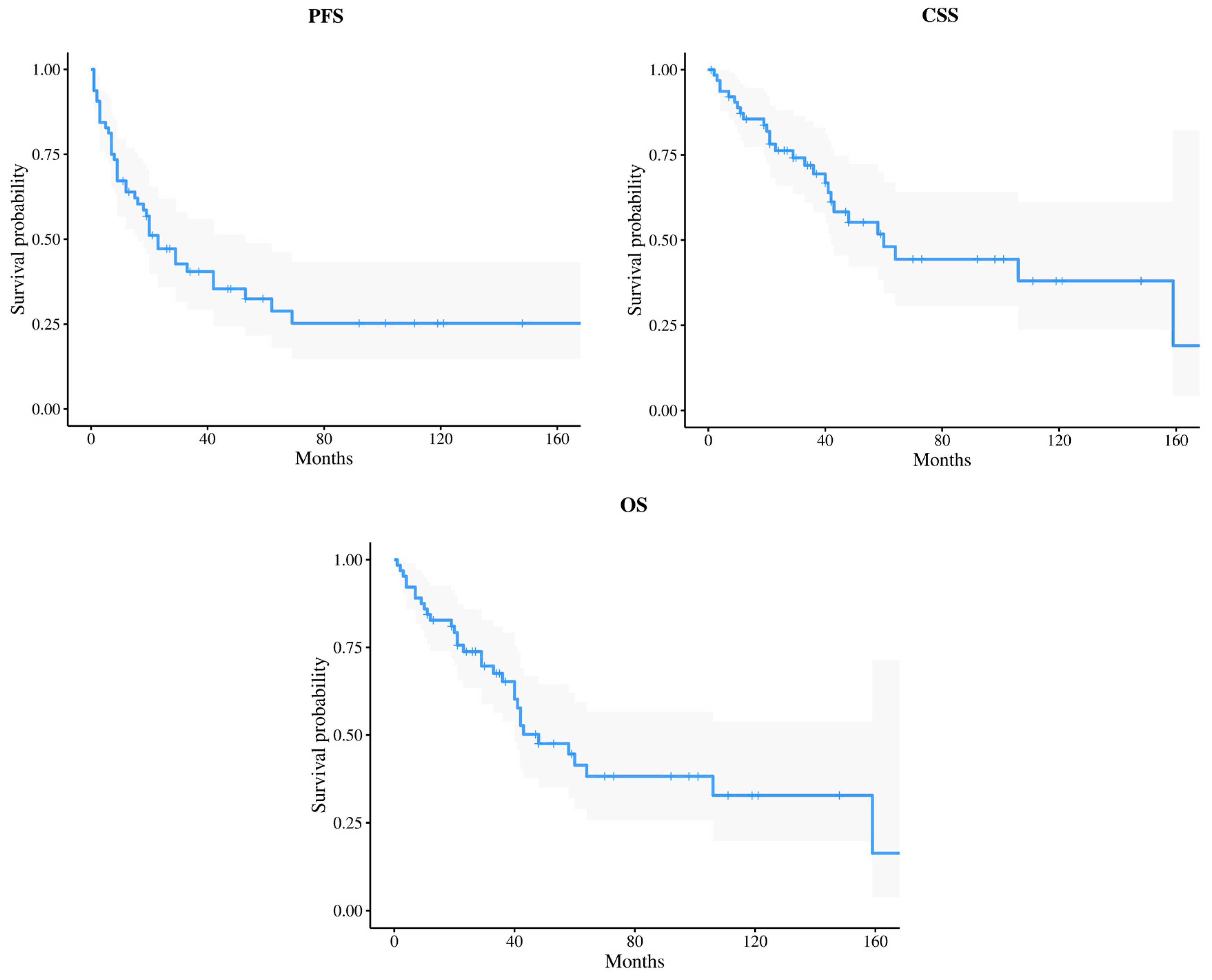
3.3. Surgical and Oncological Outcomes
4. Discussion
5. Conclusions
Author Contributions
Funding
Institutional Review Board Statement
Informed Consent Statement
Data Availability Statement
Conflicts of Interest
References
- Blute, M.L.; Leibovich, B.C.; Lohse, C.M.; Cheville, J.C.; Zincke, H. The Mayo Clinic experience with surgical management, complications and outcome for patients with renal cell carcinoma and venous tumour thrombus. BJU Int. 2004, 94, 33–41. [Google Scholar] [CrossRef] [PubMed]
- Gu, L.; Li, H.; Wang, Z.; Wang, B.; Huang, Q.; Lyu, X.; Shen, D.; Gao, Y.; Fan, Y.; Li, X.; et al. A systematic review and meta-analysis of clinicopathologic factors linked to oncologic outcomes for renal cell carcinoma with tumor thrombus treated by radical nephrectomy with thrombectomy. Cancer Treat. Rev. 2018, 69, 112–120. [Google Scholar] [CrossRef] [PubMed]
- Almatari, A.L.; Sathe, A.; Wideman, L.; Dewan, C.A.; Vaughan, J.P.; Bennie, I.C.; Buscarini, M. Renal cell carcinoma with tumor thrombus: A review of relevant anatomy and surgical techniques for the general urologist. Urol. Oncol. 2023, 41, 153–165. [Google Scholar] [CrossRef] [PubMed]
- Wotkowicz, C.; Libertino, J.A.; Sorcini, A.; Mourtzinos, A. Management of renal cell carcinoma with vena cava and atrial thrombus: Minimal access vs median sternotomy with circulatory arrest. BJU Int. 2006, 98, 289–297. [Google Scholar] [CrossRef]
- Reese, A.C.; Whitson, J.M.; Meng, M.V. Natural history of untreated renal cell carcinoma with venous tumor thrombus. Urol. Oncol. 2013, 31, 1305–1309. [Google Scholar] [CrossRef]
- Rodriguez Faba, O.; Linares, E.; Tilki, D.; Capitanio, U.; Evans, C.P.; Montorsi, F.; Martinez-Salamanca, J.I.; Libertino, J.; Gontero, P.; Palou, J. Impact of Microscopic Wall Invasion of the Renal Vein or Inferior Vena Cava on Cancer-specific Survival in Patients with Renal Cell Carcinoma and Tumor Thrombus: A Multi-institutional Analysis from the International Renal Cell Carcinoma-Venous Thrombus Consortium. Eur. Urol. Focus. 2018, 4, 435–441. [Google Scholar] [CrossRef]
- Casey, R.G.; Raheem, O.A.; Elmusharaf, E.; Madhavan, P.; Tolan, M.; Lynch, T.H. Renal cell carcinoma with IVC and atrial thrombus: A single centre’s 10 year surgical experience. Surgeon 2013, 11, 295–299. [Google Scholar] [CrossRef]
- Lawindy, S.M.; Kurian, T.; Kim, T.; Mangar, D.; Armstrong, P.A.; Alsina, A.E.; Sheffield, C.; Sexton, W.J.; Spiess, P.E. Important surgical considerations in the management of renal cell carcinoma (RCC) with inferior vena cava (IVC) tumour thrombus. BJU Int. 2012, 110, 926–939. [Google Scholar] [CrossRef]
- Chen, Z.; Yang, F.; Ge, L.; Qiu, M.; Liu, Z.; Liu, C.; Tian, X.; Zhang, S.; Ma, L. Outcomes of renal cell carcinoma with associated venous tumor thrombus: Experience from a large cohort and short time span in a single center. BMC Cancer 2021, 21, 766. [Google Scholar] [CrossRef]
- Topaktas, R.; Urkmez, A.; Tokuc, E.; Kayar, R.; Kanberoglu, H.; Ozturk, M.I. Surgical management of renal cell carcinoma with associated tumor thrombus extending into the inferior vena cava: A 10-year single-center experience. Turk. J. Urol. 2019, 45, 345–350. [Google Scholar] [CrossRef]
- Thangarasu, M.; Prakash, J.S.; Bafna, S.; Aarthy, P.; Govindaswamy, T.G.; Venugopal, B.; Sivaraman, A.; Jain, N.; Balakrishnan, A.; Raghavan, D.; et al. Influence of tumor size in the progression of venous tumor thrombus in renal cell carcinoma: A 7-year single-center experience. Urol. Ann. 2022, 14, 273–278. [Google Scholar] [CrossRef] [PubMed]
- Novick, A.C.; Kaye, M.C.; Cosgrove, D.M.; Angermeier, K.; Pontes, J.E.; Montie, J.E.; Streem, S.B.; Klein, E.; Stewart, R.; Goormastic, M. Experience with cardiopulmonary bypass and deep hypothermic circulatory arrest in the management of retroperitoneal tumors with large vena caval thrombi. Ann. Surg. 1990, 212, 472–476; discussion 476–477. [Google Scholar] [CrossRef] [PubMed]
- Berg, A.A. Malignant hypernephroma of the kidney, its clinical course and diagnosis, with a description of the author’s method of radical operative cure. Surg. Gynecol. Obstet. 1913, 17, 463–471. [Google Scholar]
- Marshall, V.F.; Middleton, R.G.; Holswade, G.R.; Goldsmith, E.I. Surgery for renal cell carcinoma in the vena cava. J. Urol. 1970, 103, 414–420. [Google Scholar] [CrossRef] [PubMed]
- Clayman, R.V., Jr.; Gonzalez, R.; Fraley, E.E. Renal cancer invading the inferior vena cava: Clinical review and anatomical approach. J. Urol. 1980, 123, 157–163. [Google Scholar] [CrossRef]
- Skinner, D.G.; Pritchett, T.R.; Lieskovsky, G.; Boyd, S.D.; Stiles, Q.R. Vena caval involvement by renal cell carcinoma. Surgical resection provides meaningful long-term survival. Ann. Surg. 1989, 210, 387–392; discussion 392–384. [Google Scholar] [CrossRef]
- Haferkamp, A.; Bastian, P.J.; Jakobi, H.; Pritsch, M.; Pfitzenmaier, J.; Albers, P.; Hallscheidt, P.; Muller, S.C.; Hohenfellner, M. Renal cell carcinoma with tumor thrombus extension into the vena cava: Prospective long-term followup. J. Urol. 2007, 177, 1703–1708. [Google Scholar] [CrossRef]
- Klatte, T.; Pantuck, A.J.; Riggs, S.B.; Kleid, M.D.; Shuch, B.; Zomorodian, N.; Kabbinavar, F.F.; Belldegrun, A.S. Prognostic factors for renal cell carcinoma with tumor thrombus extension. J. Urol. 2007, 178, 1189–1195; discussion 1195. [Google Scholar] [CrossRef]
- Wagner, B.; Patard, J.J.; Mejean, A.; Bensalah, K.; Verhoest, G.; Zigeuner, R.; Ficarra, V.; Tostain, J.; Mulders, P.; Chautard, D.; et al. Prognostic value of renal vein and inferior vena cava involvement in renal cell carcinoma. Eur. Urol. 2009, 55, 452–459. [Google Scholar] [CrossRef]
- Whitson, J.M.; Reese, A.C.; Meng, M.V. Population based analysis of survival in patients with renal cell carcinoma and venous tumor thrombus. Urol. Oncol. 2013, 31, 259–263. [Google Scholar] [CrossRef]
- Wang, T.; Huang, Y.; Yang, L.; Yang, Y.; Li, D.; Zhang, X.; Ding, X.; Wang, B.; Ma, X. Histological features suggestive of survival in patients with renal cell carcinoma and tumor thrombus: A single-center experience. Front. Oncol. 2022, 12, 980564. [Google Scholar] [CrossRef] [PubMed]
- Abel, E.J.; Carrasco, A.; Karam, J.; Tamboli, P.; Delacroix, S.; Vaporciyan, A.A.; Wood, C.G. Positive vascular wall margins have minimal impact on cancer outcomes in patients with non-metastatic renal cell carcinoma (RCC) with tumour thrombus. BJU Int. 2014, 114, 667–673. [Google Scholar] [CrossRef] [PubMed]
- Gu, L.; Li, H.; Chen, L.; Li, X.; Wang, B.; Huang, Q.; Zhang, F.; Fan, Y.; Gao, Y.; Peng, C.; et al. Postoperative Adjuvant Sorafenib or Sunitinib for Nonmetastatic Renal Cell Carcinoma with Venous Tumor Thrombus: A Prospective Cohort Study. Transl. Oncol. 2017, 10, 949–955. [Google Scholar] [CrossRef] [PubMed]
- Gu, L.; Peng, C.; Li, H.; Jia, T.; Chen, X.; Wang, H.; Du, S.; Tang, L.; Liang, Q.; Wang, B.; et al. Neoadjuvant therapy in renal cell carcinoma with tumor thrombus: A systematic review and meta-analysis. Crit. Rev. Oncol. Hematol. 2024, 196, 104316. [Google Scholar] [CrossRef] [PubMed]
- Garg, H.; Psutka, S.P.; Hakimi, A.A.; Kim, H.L.; Mansour, A.M.; Pruthi, D.K.; Liss, M.A.; Wang, H.; Gaspard, C.S.; Ramamurthy, C.; et al. A Decade of Robotic-Assisted Radical Nephrectomy with Inferior Vena Cava Thrombectomy: A Systematic Review and Meta-Analysis of Perioperative Outcomes. J. Urol. 2022, 208, 542–560. [Google Scholar] [CrossRef]
- Li, K.P.; Chen, S.Y.; Wang, C.Y.; Li, X.R.; Yang, L. Perioperative and oncologic outcomes of minimally-invasive surgery for renal cell carcinoma with venous tumor thrombus: A systematic review and meta-analysis of comparative trials. Int. J. Surg. 2023, 109, 2762–2773. [Google Scholar] [CrossRef]

| Variables | Values | Missing Data (%) |
|---|---|---|
| Age (years), mean ± SD | 66.3 ± 10.7 | 0 |
| Sex women, n (%) | 16 (25) | 0 |
| BMI (kg/m2), mean ± SD | 27.6 ± 5.7 | 13.4 |
| Smoking history, n (%) | 22 (34.4) | 10.6 |
| Diabetes, n (%) | 17 (26.5) | 14.2 |
| Symptoms at diagnosis, n (%) | 12.5 | |
| No symptoms | 24 (37.5) | |
| Local | 28 (43.8) | |
| Hematuria | 19 (29.7) | |
| Flank Pain | 14 (21.9) | |
| Varicocele | 2 (3.1) | |
| Systemic | 14 (21.8) | |
| Weight loss | 12 (18.8) | |
| Asthenia | 7 (10.9) | |
| Hypertension | 2 (3.1) | |
| ASA score, (%) | 6.5 | |
| ASA II | 26 (40.6) | |
| ASA III | 38 (59.4) | |
| Charlson comorbidity index, mean ± SD | 5.0 ± 1.6 | 7.2 |
| Variables | Values |
|---|---|
| VTT level, n (%) | |
| Level 0 | 40 (62.5) |
| Level I | 12 (18.7) |
| Level II | 6 (9.4) |
| Level III | 6 (9.4) |
| Right side tumor, n (%) | 30 (46.9) |
| Tumor size (cm), mean ± SD | 9.8 ± 3.3 |
| Pathology subtype, n (%) | |
| Clear cell | 63 (98.4) |
| Chromophobe | 1 (1.6) |
| Nuclear grading, n (%) | |
| 2 | 11 (17.5) |
| 3 | 32 (50.8) |
| 4 | 20 (31.7) |
| Sarcomatoid differentiation, n (%) | 8 (12.5) |
| Tumor necrosis, n (%) | 22 (34.4) |
| Local staging, n (%) | |
| pT3a | 41 (64.1) |
| pT3b | 19 (29.7) |
| pT3c | 3 (4.7) |
| pT4 | 1 (1.6) |
| Local invasion, n (%) | |
| Sinus fat | 48 (75.0) |
| Perinephric fat | 32 (50.0) |
| Collecting system | 23 (35.9) |
| Adrenal | 1 (1.6) |
| Margin status, n (%) | |
| Negative | 54 (84.4) |
| Renal vein | 7 (10.9) |
| Perinephric fat | 2 (3.2) |
| Renal Parenchyma | 1 (1.6) |
| N1 at the time of surgery, n (%) | 3 (4.7) |
| M1 at the time of surgery, n (%) | 9 (14.1) |
| Variables | Values | Missing Values (%) |
|---|---|---|
| Surgical approach, n (%) | 0 | |
| Open | 57 (89.1) | |
| Laparoscopic | 7 (10.9) | |
| Segmental IVC resection, n (%) | 8 (12.5) | 4.7 |
| Surgical time (min), mean ± SD | 176 ± 94 | 4.7 |
| Median estimated blood loss, L (IQR) | 1.8 (0.3–2) | 9.8 |
| Blood transfusion (units), mean ± SD | 1.8 ± 3.3 | 15.7 |
| Hospital stay (days), mean ± SD | 8.9 ± 6.7 | 0 |
| Intensive care admission, n (%) | 15 (23.4) | 0 |
| Major complication rate, n (%) | 2 (3.1) | 0 |
| Factor | Univariate | Multivariate | ||
|---|---|---|---|---|
| HR (95% CI) | p Value | HR (95% CI) | p Value | |
| Age | 0.99 (0.95–1.03) | 0.482 | ||
| Sex (men vs. women) | 0.41 (0.19–0.92) | 0.031 * | 0.67 (0.26–1.69) | 0.390 |
| Symptoms at presentation (yes vs. no) | 1.84 (0.72–4.69) | 0.202 | ||
| Side (right vs. left) | 0.64 (0.29–1.41) | 0.268 | ||
| ECOG (3–4 vs. 1–2) | 4.41 (0.96–20.32) | 0.067 | ||
| ASA (3–4 vs. 1–2) | 1.58 (0.68–3.68) | 0.290 | ||
| BMI (≥30 vs. <30 Kg/m2) | 0.65 (0.25–2.35) | 0.771 | ||
| Smoking history (yes vs. no) | 1.04 (0.43–2.53) | 0.993 | ||
| Diabetes (yes vs. no) | 1.13 (0.45–2.85) | 0.800 | ||
| Surgical time | 1.00 (0.99–1.01) | 0.403 | ||
| Estimated blood loss | 1.00 (1.00–1.00) | 0.779 | ||
| VTT level (II–III vs. 0–I) | 2.45 (1.02–5.88) | 0.046 * | 1.64 (0.54–4.96) | 0.384 |
| Tumor size | 1.20 (1.07–1.34) | 0.001 * | 1.18 (1.02–1.35) | 0.022 * |
| Nuclear grade (3–4 vs. 1–2) | 1.57 (0.53–4.61) | 0.415 | ||
| Tumor necrosis (yes vs. no) | 1.07 (0.42–2.71) | 0.892 | ||
| Sarcomatoid differentiation (yes vs. no) | 6.84 (2.46–19.04) | <0.001 * | 12.65 (3.75–42.66) | <0.001 * |
| Perinephric fat invasion (yes vs. no) | 1.68 (0.76–3.73) | 0.199 | ||
| Collecting system invasion (yes vs. no) | 4.49 (1.91–10.59) | 0.001 * | 2.93 (1.17–7.33) | 0.022 * |
| Adrenal gland invasion (yes vs. no) | 11.89 (1.39–101.78) | 0.024 * | 1.6 (0.102–24.98) | 0.738 |
| N1 at time of surgery | 1.23 (0.66–2.27) | 0.519 | ||
| M1 at time of surgery | 2.53 (1.05–6.08) | 0.038 * | 2.49 (0.79–7.88) | 0.122 |
| Margin status (positive vs. negative) | 2.12 (0.84–5.35) | 0.113 | ||
Disclaimer/Publisher’s Note: The statements, opinions and data contained in all publications are solely those of the individual author(s) and contributor(s) and not of MDPI and/or the editor(s). MDPI and/or the editor(s) disclaim responsibility for any injury to people or property resulting from any ideas, methods, instructions or products referred to in the content. |
© 2024 by the authors. Licensee MDPI, Basel, Switzerland. This article is an open access article distributed under the terms and conditions of the Creative Commons Attribution (CC BY) license (https://creativecommons.org/licenses/by/4.0/).
Share and Cite
Faria-Costa, G.; Freitas, R.; Braga, I.; Alzamora, M.A.; Magalhães, S.; Carvalho, J.; Correia, J.; Silva, V.M.; Lobo, F.; Henrique, R.; et al. Renal Cell Carcinoma with Venous Tumor Thrombus: 15 Years of Experience in an Oncology Center. J. Clin. Med. 2024, 13, 6260. https://doi.org/10.3390/jcm13206260
Faria-Costa G, Freitas R, Braga I, Alzamora MA, Magalhães S, Carvalho J, Correia J, Silva VM, Lobo F, Henrique R, et al. Renal Cell Carcinoma with Venous Tumor Thrombus: 15 Years of Experience in an Oncology Center. Journal of Clinical Medicine. 2024; 13(20):6260. https://doi.org/10.3390/jcm13206260
Chicago/Turabian StyleFaria-Costa, Gabriel, Rui Freitas, Isaac Braga, Maria Ana Alzamora, Sanches Magalhães, João Carvalho, Jorge Correia, Vítor Moreira Silva, Francisco Lobo, Rui Henrique, and et al. 2024. "Renal Cell Carcinoma with Venous Tumor Thrombus: 15 Years of Experience in an Oncology Center" Journal of Clinical Medicine 13, no. 20: 6260. https://doi.org/10.3390/jcm13206260
APA StyleFaria-Costa, G., Freitas, R., Braga, I., Alzamora, M. A., Magalhães, S., Carvalho, J., Correia, J., Silva, V. M., Lobo, F., Henrique, R., & Morais, A. (2024). Renal Cell Carcinoma with Venous Tumor Thrombus: 15 Years of Experience in an Oncology Center. Journal of Clinical Medicine, 13(20), 6260. https://doi.org/10.3390/jcm13206260

