Bone Metabolism and Dental Implant Insertion as a Correlation Affecting on Marginal Bone Remodeling: Texture Analysis and the New Corticalization Index, Predictor of Marginal Bone Loss—3 Months of Follow-Up
Abstract
1. Introduction
2. Materials and Methods
2.1. Inclusion Criteria
2.2. Exclusion Criteria
2.3. Treatment Procedure
2.4. Data Acquisition
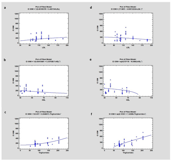
3. Results
4. Discussion
5. Conclusions
Author Contributions
Funding
Institutional Review Board Statement
Informed Consent Statement
Data Availability Statement
Conflicts of Interest
References
- Wach, T.; Skorupska, M.; Trybek, G. Are Torque-Induced Bone Texture Alterations Related to Early Marginal Jawbone Loss? J. Clin. Med. 2022, 11, 6158. [Google Scholar] [CrossRef]
- Kowalski, J.; Lapinska, B.; Nissan, J.; Lukomska-Szymanska, M. Factors influencing marginal bone loss around dental implants: A narrative review. Coatings 2021, 11, 865. [Google Scholar] [CrossRef]
- Jansson, L.; Lavstedt, S. Influence of smoking on marginal bone loss and tooth loss—A prospective study over 20 years. J. Clin. Periodontol. 2002, 29, 750–756. [Google Scholar] [CrossRef] [PubMed]
- Di Domênico, M.B.; Collares, K.F.; Bergoli, C.D.; Dos Santos, M.B.F.; Corazza, P.H.; Özcan, M. Factors related to early marginal bone loss in dental implants—A multicentre observational clinical study. Appl. Sci. 2021, 11, 11197. [Google Scholar] [CrossRef]
- Galindo-Moreno, P.; Catena, A.; Pérez-Sayáns, M.; Fernández-Barbero, J.E.; O’Valle, F.; Padial-Molina, M. Early marginal bone loss around dental implants to define success in implant dentistry: A retrospective study. Clin. Implant. Dent. Relat. Res. 2022, 24, 630–642. [Google Scholar] [CrossRef] [PubMed]
- Gehrke, S.A.; Júnior, J.A.; Treichel, T.L.E.; do Prado, T.D.; Dedavid, B.A.; de Aza, P.N. Effects of insertion torque values on the marginal bone loss of dental implants installed in sheep mandibles. Sci. Rep. 2022, 12, 538. [Google Scholar] [CrossRef] [PubMed]
- Szpak, P.; Szymanska, J. The relationship between marginal bone loss around dental implants and the specific characteristics of implant-prosthetic treatment. Curr. Issues Pharm. Med. Sci. 2018, 31, 97–100. [Google Scholar] [CrossRef]
- Wozniak, L.; Ratajczak-Wrona, W.; Borys, J.; Antonowicz, B.; Nowak, K.; Bortnik, P.; Jablonska, E. Levels of biological markers of nitric oxide in serum of patients with mandible fractures. J. Clin. Med. 2021, 10, 2832. [Google Scholar] [CrossRef] [PubMed]
- Zhang, Y.; Zhang, J.; Sun, B.; Ma, L.; Ma, Y. Catalpol Promotes Osseointegration of Titanium Implants under Conditions of Type 2 Diabetes via AKT/GSK3β/FYN Pathway-Mediated NRF2 Activation. ACS Omega 2024, 9, 5761–5771. [Google Scholar] [CrossRef]
- Choukroun, E.; Parnot, M.; Surmenian, J.; Gruber, R.; Cohen, N.; Davido, N.; Simonpieri, A.; Savoldelli, C.; Afota, F.; El Mjabber, H.; et al. Bone Formation and Maintenance in Oral Surgery: The Decisive Role of the Immune System—A Narrative Review of Mechanisms and Solutions. Bioengineering 2024, 11, 191. [Google Scholar] [CrossRef]
- Parrini, S.; Chisci, G.; Leoncini, S.; Signorini, C.; Volpi, N.; Capuano, A.; Ciccoli, L.; De Felice, C. F 2-Isoprostanes in soft oral tissues and degree of oral disability after mandibular third molar surgery. Oral Surg. Oral Med. Oral Pathol. Oral Radiol. 2012, 114, 344–349. [Google Scholar] [CrossRef]
- Duttenhoefer, F.; Fuessinger, M.A.; Beckmann, Y.; Schmelzeisen, R.; Groetz, K.A.; Boeker, M. Dental implants in immunocompromised patients: A systematic review and meta-analysis. Int. J. Implant. Dent. 2019, 5, 43. [Google Scholar] [CrossRef]
- Fiorillo, L.; Cicciù, M.; Tözüm, T.F.; D’Amico, C.; Oteri, G.; Cervino, G. Impact of bisphosphonate drugs on dental implant healing and peri-implant hard and soft tissues: A systematic review. BMC Oral Health 2020, 22, 291. [Google Scholar] [CrossRef]
- Baseri, M.; Radmand, F.; Hamedi, R.; Yousefi, M.; Kafil, H.S. Immunological Aspects of Dental Implant Rejection. BioMed Res. Int. 2020, 2020, 7279509. [Google Scholar] [CrossRef] [PubMed]
- Cao, J.J. Effects of obesity on bone metabolism. J. Orthop. Surg. Res. 2011, 6, 30. [Google Scholar] [CrossRef]
- Savvidis, C.; Tournis, S.; Dede, A.D. Obesity and bone metabolism. Hormones 2018, 17, 205–217. [Google Scholar] [CrossRef]
- Rinonapoli, G.; Pace, V.; Ruggiero, C.; Ceccarini, P.; Bisaccia, M.; Meccariello, L.; Caraffa, A. Obesity and bone: A complex relationship. Int. J. Mol. Sci. 2021, 22, 13662. [Google Scholar] [CrossRef] [PubMed]
- Chen, T.; Wang, Y.; Hao, Z.; Hu, Y.; Li, J. Parathyroid hormone and its related peptides in bone metabolism. Biochem. Pharmacol. 2021, 192, 114669. [Google Scholar] [CrossRef] [PubMed]
- Silva, B.C.; Bilezikian, J.P. Parathyroid hormone: Anabolic and catabolic actions on the skeleton. Curr. Opin. Pharmacol. 2015, 22, 41–50. [Google Scholar] [CrossRef] [PubMed]
- Lombardi, G.; Di Somma, C.; Rubino, M.; Faggiano, A.; Vuolo, L.; Guerra, E.; Contaldi, P.; Savastano, S.; Colao, A. The roles of parathyroid hormone in bone remodeling: Prospects for novel therapeutics. J. Endocrinol. Investig. 2011, 34 (Suppl. S7), 18–22. [Google Scholar]
- Delitala, A.P.; Scuteri, A.; Doria, C. Thyroid Hormone Diseases and Osteoporosis. J. Clin. Med. 2020, 9, 1034. [Google Scholar] [CrossRef] [PubMed]
- Zhu, S.; Pang, Y.; Xu, J.; Chen, X.; Zhang, C.; Wu, B.; Gao, J. Endocrine Regulation on Bone by Thyroid. Front. Endocrinol. 2022, 13, 873820. [Google Scholar] [CrossRef] [PubMed]
- Polska, E.; Williams, G.R. PRACE POGLĄDOWE/REWIEVS Actions of thyroid hormones in bone Wpływ hormonów tarczycy na tkankę kostną. Pol. J. Endocrinol. Tom 2009, 60, 5. [Google Scholar]
- Galliford, T.M.; Murphy, E.; Williams, A.J.; Bassett, J.H.D.; Williams, G.R. Effects of thyroid status on bone metabolism: A primary role for thyroid stimulating hormone or thyroid hormone? Minerva Endocrinol. 2005, 30, 237–246. [Google Scholar] [PubMed]
- Tuchendler, D.; Bolanowski, M. The influence of thyroid dysfunction on bone metabolism. Thyroid. Res. 2014, 7, 12. [Google Scholar] [CrossRef] [PubMed]
- Levine, B.S.; Rodríguez, M.; Felsenfeld, A.J. Serum calcium and bone: Effect of PTH, phosphate, vitamin D and uremia. Nefrologia 2014, 34, 658–669. [Google Scholar]
- Yin, W.; Li, Z.; Zhang, W. Modulation of bone and marrow niche by cholesterol. Nutrients 2019, 11, 1394. [Google Scholar] [CrossRef] [PubMed]
- Wach, T.; Okulski, J.; Zielí Nski, R.; Trybek, G.; Michcik, A.; Kozakiewicz, M. New Radiological Corticalization Index as an Indicator of Implant Success Rate Depending on Prosthetic Restoration-5 Years of Follow-Up. Diagnostics 2024, 14, 867. [Google Scholar] [CrossRef] [PubMed]
- Gkastaris, K.; Goulis, D.G.; Potoupnis, M.; Anastasilakis, A.D.; Kapetanos, G. Obesity, Osteoporosis and Bone Metabolism. Available online: http://www.ismni.org (accessed on 17 March 2024).
- Zalewska, A.; Antonowicz, B.; Szulimowska, J.; Zieniewska-Siemieńczuk, I.; Leśniewska, B.; Borys, J.; Zięba, S.; Kostecka-Sochoń, P.; Żendzian-Piotrowska, M.; Giudice, R.L.; et al. Mitochondrial Redox Balance of Fibroblasts Exposed to Ti-6Al-4V Microplates Subjected to Different Types of Anodizing. Int. J. Mol. Sci. 2023, 24, 12896. [Google Scholar] [CrossRef]
- Kroll, M.H.; Kroll, M.H. Parathyroid Hormone Temporal Effects on Bone Formation and Resorption. Bull. Math. Biol. 2000, 62, 163–188. [Google Scholar] [CrossRef]
- Brancatella, A.; Marcocci, C. TSH suppressive therapy and bone. Endocr. Connect. 2020, 9, R158–R172. [Google Scholar] [CrossRef]
- Lederer, E. Regulation of serum phosphate. J. Physiol. 2014, 592, 3985–3995. [Google Scholar] [CrossRef]
- Vannucci, L.; Fossi, C.; Quattrini, S.; Guasti, L.; Pampaloni, B.; Gronchi, G.; Giusti, F.; Romagnoli, C.; Cianferotti, L.; Marcucci, G.; et al. Calcium Intake in Bone Health: A Focus on Calcium-Rich Mineral Waters. Nutrients 2018, 10, 1930. [Google Scholar] [CrossRef]
- Fraser, W.D.; Colston, K.W.; Stevenson, J.C. Bone and Calcium Metabolism. In The Immunoassay Handbook: Theory and Applications of Ligand Binding, ELISA and Related Techniques; Elsevier: Amsterdam, The Netherlands, 2013; pp. 705–720. [Google Scholar]
- Lips, P.; Van Schoor, N.M. The effect of vitamin D on bone and osteoporosis. Best Pract. Res. Clin. Endocrinol. Metab. 2011, 25, 585–591. [Google Scholar] [CrossRef]
- Anderson, J.J. Symposium: Nutritional Advances in Human Bone Metabolism. J. Nutr. 1996, 126, 1150S. [Google Scholar] [CrossRef]
- Yu, F.; Laura, B.; Buzatu, R.; Buzatu, R.; Luca, M.M. Impact of Vitamin D on Osseointegration in Dental Implants: A Systematic Review of Human Studies. Nutrients 2024, 16, 209. [Google Scholar] [CrossRef]
- Gómez-De Diego, R.; Del, M.; Mang-De La Rosa, R.; Romero-Pérez, M.J.; Cutando-Soriano, A.; López-Valverde-Centeno, A. Indications and contraindications of dental implants in medically compromised patients: Update. Med. Oral Patol. Oral Cir. Buccal 2014, 19, 483–492. [Google Scholar] [CrossRef]
- Darby, I. Risk factors for periodontitis & peri-implantitis. Periodontology 2000, 90, 9–12. [Google Scholar]
- Do, T.A.; Le, H.S.; Shen, Y.W.; Huang, H.L.; Fuh, L.J. Risk Factors related to Late Failure of Dental Implant-A Systematic Review of Recent Studies. Int. J. Environ. Res. Public Health 2020, 17, 3931. [Google Scholar] [CrossRef] [PubMed]
- Kullar, A.S.; Miller, C.S. Are There Contraindications for Placing Dental Implants? Dent. Clin. 2019, 63, 345–362. [Google Scholar] [CrossRef] [PubMed]








| Inclusion Criteria |
|---|
| 18 years of age |
| Bleeding on gingival probing < 20% |
| Probing depth ≤ 3 mm |
| Good oral hygiene |
| Regular follow up’s |
| 2D RTG images taken during the regular check |
| Laboratory test: PTH, TSH, ions Ca2+, HbA1c, vitamin D |
| Bone densitometry |
| Smoking |
| Exclusion Criteria |
|---|
| Lack of X-rays |
| Defective X-ray images in the visual assessment |
| Lack of laboratory tests |
Uncontrolled internal co-morbidity:
|
| A history of oral radiation therapy |
| Past or current use of cytostatic drugs |
| Soft and bone tissue augmentation |
| Low quality or lack of follow-up radiographs |
| Median Value | Standard Deviation | |
|---|---|---|
| MBL03M | 0 mm | ±0.78 mm |
| CI00M | 146.2 | ±98.02 |
| CI03M | 170.6 | ±112.65 |
| BMI [kg/m2] | 26.05 | ±4.26 |
| PTH [pg/mL] | 38 | ±20.05 |
| TSH [mIU/mL] | 1.56 | ±1.62 |
| Calcium level in blood serum | 9.5 | ±2.63 |
| Phosphates level in blood serum | 3.3 | ±7.90 |
| Vit 25(OH)D level in blood serum | 23.75 | ±13.55 |
| LDL | 131 | ±34.09 |
| HDL | 64 | ±15.94 |
| Triglycerides | 94 | ±50.52 |
| Marginal Bone Loss after 3 Months | Corticalization Index in the Day of Surgery | Corticalization Index after 3 Months | ||||
|---|---|---|---|---|---|---|
| p Value | Correlation Coefficient | p Value | Correlation Coefficient | p Value | Correlation Coefficient | |
| BMI [kg/m2] | 0.49 | 0.09 | 0.02 | −0.11 | 0.042 | −0.10 |
| PTH [pg/mL] | 0.18 | 0.14 | 0.0043 | 0.12 | 0.0022 | 0.13 |
| TSH [mIU/mL] | 0.13 | 0.16 | 0.04 | −0.08 | 0.02 | 0.10 |
| Calcium level in blood serum | 0.23 | 0.13 | 0.02 | 0.09 | 0.31 | 0.04 |
| Phosphates level in blood serum | 0.03 | 0.24 | 0.0007 | −0.14 | 0.0000 | −0.23 |
| Vit 25(OH)D level in blood serum | 0.0004 | 0.75 | 0.03 | 0.29 | 0.08 | −0.25 |
| LDL | 0.07 | −0.60 | 0.06 | 0.28 | 0.06 | −0.26 |
| HDL | - | - | 0.06 | 0.29 | 0.14 | −0.22 |
| Triglycerides | 0.07 | −0.60 | 0.00 | 0.63 | 0.0000 | 0.78 |
Disclaimer/Publisher’s Note: The statements, opinions and data contained in all publications are solely those of the individual author(s) and contributor(s) and not of MDPI and/or the editor(s). MDPI and/or the editor(s) disclaim responsibility for any injury to people or property resulting from any ideas, methods, instructions or products referred to in the content. |
© 2024 by the authors. Licensee MDPI, Basel, Switzerland. This article is an open access article distributed under the terms and conditions of the Creative Commons Attribution (CC BY) license (https://creativecommons.org/licenses/by/4.0/).
Share and Cite
Wach, T.; Szymor, P.; Trybek, G.; Sikora, M.; Michcik, A.; Kozakiewicz, M. Bone Metabolism and Dental Implant Insertion as a Correlation Affecting on Marginal Bone Remodeling: Texture Analysis and the New Corticalization Index, Predictor of Marginal Bone Loss—3 Months of Follow-Up. J. Clin. Med. 2024, 13, 3212. https://doi.org/10.3390/jcm13113212
Wach T, Szymor P, Trybek G, Sikora M, Michcik A, Kozakiewicz M. Bone Metabolism and Dental Implant Insertion as a Correlation Affecting on Marginal Bone Remodeling: Texture Analysis and the New Corticalization Index, Predictor of Marginal Bone Loss—3 Months of Follow-Up. Journal of Clinical Medicine. 2024; 13(11):3212. https://doi.org/10.3390/jcm13113212
Chicago/Turabian StyleWach, Tomasz, Piotr Szymor, Grzegorz Trybek, Maciej Sikora, Adam Michcik, and Marcin Kozakiewicz. 2024. "Bone Metabolism and Dental Implant Insertion as a Correlation Affecting on Marginal Bone Remodeling: Texture Analysis and the New Corticalization Index, Predictor of Marginal Bone Loss—3 Months of Follow-Up" Journal of Clinical Medicine 13, no. 11: 3212. https://doi.org/10.3390/jcm13113212
APA StyleWach, T., Szymor, P., Trybek, G., Sikora, M., Michcik, A., & Kozakiewicz, M. (2024). Bone Metabolism and Dental Implant Insertion as a Correlation Affecting on Marginal Bone Remodeling: Texture Analysis and the New Corticalization Index, Predictor of Marginal Bone Loss—3 Months of Follow-Up. Journal of Clinical Medicine, 13(11), 3212. https://doi.org/10.3390/jcm13113212

