The German Multicenter Registry for ME/CFS (MECFS-R)
Abstract
1. Introduction
2. Materials and Methods
2.1. Participating Institutions and Target Population
2.2. Ethical Considerations
2.3. Data Entry System
2.4. Data Protection
2.5. Clinical Phenotyping
2.6. Patient-Reported Outcome Measures
2.7. Collection and Storage of Supplementary Biosamples
2.8. Statistical Analyses
3. Results
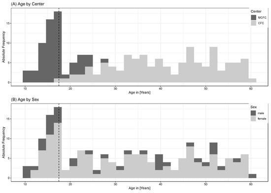
3.1. Baseline Characteristics
3.2. Participation
3.3. Onset of ME/CFS
3.4. Diagnostic Criteria and Post-Exertional Malaise
3.5. Patient-Reported Outcome Measures
4. Discussion
4.1. Aim and Structure of the Registry Study
4.2. Clinical Characterization of Pilot Study Participants
4.3. Strengths and Limitations
5. Conclusions
Author Contributions
Funding
Institutional Review Board Statement
Informed Consent Statement
Data Availability Statement
Conflicts of Interest
References
- David, A.S.; Wessely, S.; Pelosi, A.J. Postviral fatigue syndrome: Time for a new approach. Br. Med. J. (Clin. Res. Ed.) 1988, 296, 696–699. [Google Scholar] [CrossRef] [PubMed]
- Rowe, P.C.; Underhill, R.A.; Friedman, K.J.; Gurwitt, A.; Medow, M.S.; Schwartz, M.S.; Speight, N.; Stewart, J.M.; Vallings, R.; Rowe, K.S. Myalgic Encephalomyelitis/Chronic Fatigue Syndrome Diagnosis and Management in Young People: A Primer. Front. Pediatr. 2017, 5, 121. [Google Scholar] [CrossRef] [PubMed]
- Lim, E.J.; Ahn, Y.C.; Jang, E.S.; Lee, S.W.; Lee, S.H.; Son, C.G. Systematic review and meta-analysis of the prevalence of chronic fatigue syndrome/myalgic encephalomyelitis (CFS/ME). J. Transl. Med. 2020, 18, 100. [Google Scholar] [CrossRef] [PubMed]
- IQWiG. Myalgische Enzephalomyelitis/Chronic Fatigue Syndrome (ME/CFS): Aktueller Kenntnisstand. 2023. Available online: https://www.iqwig.de/download/n21-01_me-cfs-aktueller-kenntnisstand_abschlussbericht_v1-0.pdf (accessed on 15 January 2024).
- Cairns, R.; Hotopf, M. A systematic review describing the prognosis of chronic fatigue syndrome. Occup. Med. 2005, 55, 20–31. [Google Scholar] [CrossRef] [PubMed]
- Bakken, I.J.; Tveito, K.; Gunnes, N.; Ghaderi, S.; Stoltenberg, C.; Trogstad, L.; Håberg, S.E.; Magnus, P. Two age peaks in the incidence of chronic fatigue syndrome/myalgic encephalomyelitis: A population-based registry study from Norway 2008–2012. BMC Med. 2014, 12, 167. [Google Scholar]
- Bested, A.C.; Marshall, L.M. Review of Myalgic Encephalomyelitis/Chronic Fatigue Syndrome: An evidence-based approach to diagnosis and management by clinicians. Rev. Environ. Health 2015, 30, 223–249. [Google Scholar] [CrossRef] [PubMed]
- Pricoco, R.; Meidel, P.; Hofberger, T.; Zietemann, H.; Mueller, Y.; Wiehler, K.; Michel, K.; Paulick, J.; Leone, A.; Haegele, M.; et al. One-year follow-up of young people with ME/CFS following infectious mononucleosis by Epstein-Barr virus. Front. Pediatr. 2023, 11, 1266738. [Google Scholar] [CrossRef]
- Buchwald, D.; Cheney, P.R.; Peterson, D.L.; Henry, B.; Wormsley, S.B.; Geiger, A.; Ablashi, D.V.; Salahuddin, S.Z.; Saxinger, C.; Biddle, R.; et al. A chronic illness characterized by fatigue, neurologic and immunologic disorders, and active human herpesvirus type 6 infection. Ann. Intern. Med. 1992, 116 (Suppl. S1), S103–S113. [Google Scholar] [CrossRef]
- Hickie, I.; Davenport, T.; Wakefield, D.; Vollmer-Conna, U.; Cameron, B.; Vernon, S.D.; Reeves, W.C.; Lloyd, A. Post-infective and chronic fatigue syndromes precipitated by viral and non-viral pathogens: Prospective cohort study. Bmj 2006, 333, 575. [Google Scholar] [CrossRef] [PubMed]
- Wu, Y.; Ma, S.; Zhang, L.; Zu, D.; Gu, F.; Ding, X.; Zhang, L. Clinical manifestations and laboratory results of 61 children with infectious mononucleosis. J. Int. Med. Res. 2020, 48, 300060520924550. [Google Scholar] [CrossRef]
- Pedersen, M.; Asprusten, T.T.; Godang, K.; Leegaard, T.M.; Osnes, L.T.; Skovlund, E.; Tjade, T.; Oie, M.G.; Wyller, V.B.B. Predictors of chronic fatigue in adolescents six months after acute Epstein-Barr virus infection: A prospective cohort study. Brain Behav. Immun. 2019, 75, 94–100. [Google Scholar] [CrossRef] [PubMed]
- Dunmire, S.K.; Hogquist, K.A.; Balfour, H.H. Infectious Mononucleosis. Curr. Top. Microbiol. Immunol. 2015, 390 Pt 1, 211–240. [Google Scholar] [PubMed]
- Katz, B.Z.; Shiraishi, Y.; Mears, C.J.; Binns, H.J.; Taylor, R. Chronic fatigue syndrome after infectious mononucleosis in adolescents. Pediatrics 2009, 124, 189–193. [Google Scholar] [CrossRef]
- Jason, L.A.; Dorri, J.A. ME/CFS and Post-Exertional Malaise among Patients with Long COVID. Neurol. Int. 2022, 15, 1–11. [Google Scholar] [CrossRef] [PubMed]
- González-Hermosillo, J.A.; Martínez-López, J.P.; Carrillo-Lampón, S.A.; Ruiz-Ojeda, D.; Herrera-Ramírez, S.; Amezcua-Guerra, L.M.; Martínez-Alvarado, M.d.R. Post-Acute COVID-19 Symptoms, a Potential Link with Myalgic Encephalomyelitis/Chronic Fatigue Syndrome: A 6-Month Survey in a Mexican Cohort. Brain Sci. 2021, 11, 760. [Google Scholar] [CrossRef] [PubMed]
- Bonilla, H.; Quach, T.C.; Tiwari, A.; Bonilla, A.E.; Miglis, M.; Yang, P.C.; Eggert, L.E.; Sharifi, H.; Horomanski, A.; Subramanian, A.; et al. Myalgic Encephalomyelitis/Chronic Fatigue Syndrome is common in post-acute sequelae of SARS-CoV-2 infection (PASC): Results from a post-COVID-19 multidisciplinary clinic. Front. Neurol. 2023, 14, 1090747. [Google Scholar] [CrossRef] [PubMed]
- Reuken, P.A.; Besteher, B.; Finke, K.; Fischer, A.; Holl, A.; Katzer, K.; Lehmann-Pohl, K.; Lemhöfer, C.; Nowka, M.; Puta, C.; et al. Longterm course of neuropsychological symptoms and ME/CFS after SARS-CoV-2-infection: A prospective registry study. Eur. Arch. Psychiatry Clin. Neurosci. 2023. [Google Scholar] [CrossRef] [PubMed]
- Peo, L.C.; Wiehler, K.; Paulick, J.; Gerrer, K.; Leone, A.; Viereck, A.; Haegele, M.; Stojanov, S.; Warlitz, C.; Augustin, S.; et al. Pediatric and adult patients with ME/CFS following COVID-19: A structured approach to diagnosis using the Munich Berlin Symptom Questionnaire (MBSQ). Eur. J. Pediatr. 2024, 183, 1265–1276. [Google Scholar] [CrossRef] [PubMed]
- Komaroff, A.L.; Bateman, L. Will COVID-19 Lead to Myalgic Encephalomyelitis/Chronic Fatigue Syndrome? Front. Med. 2020, 7, 606824. [Google Scholar] [CrossRef] [PubMed]
- Mirin, A.A.; Dimmock, M.E.; Jason, L.A. Updated ME/CFS prevalence estimates reflecting post-COVID increases and associated economic costs and funding implications. Fatigue Biomed. Health Behav. 2022, 10, 83–93. [Google Scholar] [CrossRef]
- Scheibenbogen, C.; Freitag, H.; Blanco, J.; Capelli, E.; Lacerda, E.; Authier, J.; Meeus, M.; Castro Marrero, J.; Nora-Krukle, Z.; Oltra, E.; et al. The European ME/CFS Biomarker Landscape project: An initiative of the European network Euromene. J. Transl. Med. 2017, 15, 162. [Google Scholar] [CrossRef] [PubMed]
- Mensah, F.K.F.; Bansal, A.S.; Ford, B.; Cambridge, G. Chronic fatigue syndrome and the immune system: Where are we now? Neurophysiol. Clin. 2017, 47, 131–138. [Google Scholar] [CrossRef] [PubMed]
- Sulheim, D.; Fagermoen, E.; Winger, A.; Andersen, A.M.; Godang, K.; Müller, F.; Rowe, P.C.; Saul, J.P.; Skovlund, E.; Øie, M.G.; et al. Disease mechanisms and clonidine treatment in adolescent chronic fatigue syndrome: A combined cross-sectional and randomized clinical trial. JAMA Pediatr. 2014, 168, 351–360. [Google Scholar] [CrossRef] [PubMed]
- Klimas, N.G.; Broderick, G.; Fletcher, M.A. Biomarkers for chronic fatigue. Brain Behav. Immun. 2012, 26, 1202–1210. [Google Scholar] [CrossRef] [PubMed]
- Scheibenbogen, C.; Loebel, M.; Freitag, H.; Krueger, A.; Bauer, S.; Antelmann, M.; Doehner, W.; Scherbakov, N.; Heidecke, H.; Reinke, P.; et al. Immunoadsorption to remove ss2 adrenergic receptor antibodies in Chronic Fatigue Syndrome CFS/ME. PLoS ONE 2018, 13, e0193672. [Google Scholar] [CrossRef] [PubMed]
- Sotzny, F.; Blanco, J.; Capelli, E.; Castro-Marrero, J.; Steiner, S.; Murovska, M.; Scheibenbogen, C. Myalgic Encephalomyelitis/Chronic Fatigue Syndrome—Evidence for an autoimmune disease. Autoimmun. Rev. 2018, 17, 601–609. [Google Scholar] [CrossRef] [PubMed]
- Yang, C.A.; Bauer, S.; Ho, Y.C.; Sotzny, F.; Chang, J.G.; Scheibenbogen, C. The expression signature of very long non-coding RNA in myalgic encephalomyelitis/chronic fatigue syndrome. J. Transl. Med. 2018, 16, 231. [Google Scholar] [CrossRef] [PubMed]
- Hajdarevic, R.; Lande, A.; Mehlsen, J.; Rydland, A.; Sosa, D.D.; Strand, E.B.; Mella, O.; Pociot, F.; Fluge, O.; Lie, B.A.; et al. Genetic association study in myalgic encephalomyelitis/chronic fatigue syndrome (ME/CFS) identifies several potential risk loci. Brain Behav. Immun. 2022, 102, 362–369. [Google Scholar] [CrossRef] [PubMed]
- Kachuri, L.; Francis, S.S.; Morrison, M.L.; Wendt, G.A.; Bosse, Y.; Cavazos, T.B.; Rashkin, S.R.; Ziv, E.; Witte, J.S. The landscape of host genetic factors involved in immune response to common viral infections. Genome Med. 2020, 12, 93. [Google Scholar] [CrossRef] [PubMed]
- Ariza, M.E. Myalgic Encephalomyelitis/Chronic Fatigue Syndrome: The Human Herpesviruses Are Back! Biomolecules 2021, 11, 185. [Google Scholar] [CrossRef] [PubMed]
- Carruthers, B.M.; Jain, A.K.; De Meirleir, K.L.; Peterson, D.L.; Klimas, N.G.; Lemer, A.M.; Bested, A.C.; Flor-Henry, P.; Joshi, P.; Powles, A.C.P.; et al. Myalgic encephalomyelitis/chronic fatigue syndrome: Clinical working case definition, diagnostic and treatment protocols. J. Chronic Fatigue Syndr. 2003, 11, 7–115. [Google Scholar] [CrossRef]
- Beyond Myalgic Encephalomyelitis/Chronic Fatigue Syndrome: Redefining an Illness. Mil. Med. 2015, 180, 721–723. [CrossRef] [PubMed]
- Jason, L.A.; Sunnquist, M. The Development of the DePaul Symptom Questionnaire: Original, Expanded, Brief, and Pediatric Versions. Front. Pediatr. 2018, 6, 330. [Google Scholar] [CrossRef] [PubMed]
- Nacul, L.; Authier, F.J.; Scheibenbogen, C.; Lorusso, L.; Helland, I.B.; Martin, J.A.; Sirbu, C.A.; Mengshoel, A.M.; Polo, O.; Behrends, U.; et al. European Network on Myalgic Encephalomyelitis/Chronic Fatigue Syndrome (EUROMENE): Expert Consensus on the Diagnosis, Service Provision, and Care of People with ME/CFS in Europe. Medicina 2021, 57, 510. [Google Scholar] [CrossRef] [PubMed]
- Baum, E.; Lindner, N.; Andreas, S.; Behrends, U.; Scheibenbogen, C.; Christmann, T.; Horneber, M.; Klassen, O.; Geisler, P.; Maisel, P. S3-Leitlinie Müdigkeit. AWMF-Register-Nr. 053-002. 2022 November. Available online: https://register.awmf.org/assets/guidelines/053-002l_S3_Muedigkeit_2023-01_01.pdf (accessed on 14 May 2024).
- Froehlich, L.; Hattesohl, D.B.R.; Cotler, J.; Jason, L.A.; Scheibenbogen, C.; Behrends, U. Causal attributions and perceived stigma for myalgic encephalomyelitis/chronic fatigue syndrome. J. Health Psychol. 2021, 27, 2291–2304. [Google Scholar] [CrossRef] [PubMed]
- Fennell, P.A.; Dorr, N.; George, S.S. Elements of Suffering in Myalgic Encephalomyelitis/Chronic Fatigue Syndrome: The Experience of Loss, Grief, Stigma, and Trauma in the Severely and Very Severely Affected. Healthcare 2021, 9, 553. [Google Scholar] [CrossRef] [PubMed]
- MRI Chronic Fatigue Center for Young People in Munich (MCFC). Available online: https://www.mri.tum.de/chronische-fatigue-centrum-fuer-junge-menschen-mcfc (accessed on 7 May 2024).
- Charité Fatigue Center (CFC). Available online: https://cfc.charite.de (accessed on 7 May 2024).
- Rothgang, M.; Cantner, U.; Dehio, J.; Engel, D.; Fertig, M.; Graf, H.; Hinzmann, S.; Linshalm, E.; Ploder, M.; Scholz, A.M.; et al. Cluster policy: Insights from the German leading edge cluster competition. J. Open Innov. Technol. Mark. Complex. 2017, 3, 18. [Google Scholar] [CrossRef]
- Prasser, F.; Kohlbacher, O.; Mansmann, U.; Bauer, B.; Kuhn, K.A. Data Integration for Future Medicine (DIFUTURE). Methods Inf. Med. 2018, 57, e57–e65. [Google Scholar] [CrossRef] [PubMed]
- Centers of Disease Control and Prevention (CDC). Available online: https://www.cdc.gov (accessed on 7 May 2024).
- Jason, L.A.; Jordan, K.; Miike, T.; Bell, D.S.; Lapp, C.; Torres-Harding, S.; Rowe, K.; Gurwitt, A.; De Meirleir, K.; Van Hoof, E.L.S. A Pediatric Case Definition for Myalgic Encephalomyelitis and Chronic Fatigue Syndrome. J. Chronic Fatigue Syndr. 2006, 13, 1–44. [Google Scholar] [CrossRef]
- Bell, D.S. The Doctor’s Guide to Chronic Fatigue Syndrome: Understanding, Treating, and Living with CFIDS; Addison-Wesley Pub. Co: Boston, MA, USA, 1995. [Google Scholar]
- Ware, J.E., Jr.; Sherbourne, C.D. The MOS 36-item short-form health survey (SF-36). I. Conceptual framework and item selection. Med. Care 1992, 30, 473–483. [Google Scholar] [CrossRef] [PubMed]
- Suarez, G.A.; Opfer-Gehrking, T.L.; Offord, K.P.; Atkinson, E.J.; O’Brien, P.C.; Low, P.A. The Autonomic Symptom Profile: A new instrument to assess autonomic symptoms. Neurology 1999, 52, 523–528. [Google Scholar] [CrossRef] [PubMed]
- Spitzer, R.L.; Kroenke, K.; Williams, J.B. Validation and utility of a self-report version of PRIME-MD: The PHQ primary care study. Primary Care Evaluation of Mental Disorders. Patient Health Questionnaire. Jama 1999, 282, 1737–1744. [Google Scholar] [CrossRef] [PubMed]
- Achenbach, T.M. Manual for ASEBA School-Age Forms & Profiles; University of Vermont, Research Center for Children, Youth & Families: Burlington, VT, USA, 2001. [Google Scholar]
- Derogatis, L.R. SCL-90-R: Administration, Scoring and Procedures; Manual II for the R (evised) Version and Other Instruments of the Psychopathology Rating Scale Series; Clinical Psychometric Research: Towson, MD, USA, 1983. [Google Scholar]
- Spitzer, R.L.; Kroenke, K.; Williams, J.B.; Löwe, B. A brief measure for assessing generalized anxiety disorder: The GAD-7. Arch. Intern. Med. 2006, 166, 1092–1097. [Google Scholar] [CrossRef] [PubMed]
- Zigmond, A.S.; Snaith, R.P. The hospital anxiety and depression scale. Acta Psychiatr. Scand. 1983, 67, 361–370. [Google Scholar] [CrossRef] [PubMed]
- Gierk, B.; Kohlmann, S.; Kroenke, K.; Spangenberg, L.; Zenger, M.; Brähler, E.; Löwe, B. The Somatic Symptom Scale–8 (SSS-8): A Brief Measure of Somatic Symptom Burden. JAMA Intern. Med. 2014, 174, 399–407. [Google Scholar] [CrossRef] [PubMed]
- Toussaint, A.; Murray, A.M.; Voigt, K.; Herzog, A.; Gierk, B.; Kroenke, K.; Rief, W.; Henningsen, P.; Löwe, B. Development and Validation of the Somatic Symptom Disorder-B Criteria Scale (SSD-12). Psychosom. Med. 2016, 78, 5–12. [Google Scholar] [CrossRef] [PubMed]
- Kleinstäuber, M.; Hiller, W.; Rief, W. The Screening of Somatoform Disorders (SOMS): Development of a new distress index [Das Screening für somatoforme Störungen: Entwicklung eines neuen Beeinträchtigungsindex]. Verhal. Verhal. 2013, 34, 361–377. [Google Scholar]
- Cohen, S.; Kamarck, T.; Mermelstein, R. A global measure of perceived stress. J. Health Soc. Behav. 1983, 24, 385–396. [Google Scholar] [CrossRef]
- Sinclair, V.G.; Wallston, K.A. The development and psychometric evaluation of the Brief Resilient Coping Scale. Assessment 2004, 11, 94–101. [Google Scholar] [CrossRef] [PubMed]
- Siegrist, J. Adverse health effects of high-effort/low-reward conditions. J. Occup. Health Psychol. 1996, 1, 27–41. [Google Scholar] [CrossRef]
- Cameron, R.P.; Gusman, D. The primary care PTSD screen (PC-PTSD): Development and operating characteristics. Prim. Care Psychiatry 2003, 9, 9–14. [Google Scholar]
- Morfeld, M.; Kirchberger, I.; Bullinger, M. SF-36 Fragebogen zum Gesundheitszustand: Deutsche Version des Short Form-36 Health Survey; Hogrefe: Göttingen, Germany, 2011. [Google Scholar]
- Chalder, T.; Berelowitz, G.; Pawlikowska, T.; Watts, L.; Wessely, S.; Wright, D.; Wallace, E.P. Development of a fatigue scale. J. Psychosom. Res. 1993, 37, 147–153. [Google Scholar] [CrossRef] [PubMed]
- Hilz, M.-J.; Wang, R.; Singer, W. Validation of the Composite Autonomic Symptom Score 31 in the German language. Neurol. Sci. 2022, 43, 365–371. [Google Scholar] [CrossRef] [PubMed]
- Komaroff, A.L.; Lipkin, W.I. ME/CFS and Long COVID share similar symptoms and biological abnormalities: Road map to the literature. Front. Med. 2023, 10, 1187163. [Google Scholar] [CrossRef] [PubMed]
- Kedor, C.; Freitag, H.; Meyer-Arndt, L.; Wittke, K.; Hanitsch, L.G.; Zoller, T.; Steinbeis, F.; Haffke, M.; Rudolf, G.; Heidecker, B.; et al. A prospective observational study of post-COVID-19 chronic fatigue syndrome following the first pandemic wave in Germany and biomarkers associated with symptom severity. Nat. Commun. 2022, 13, 5104. [Google Scholar] [CrossRef] [PubMed]
- Scheibenbogen, C.; Bellmann-Strobl, J.T.; Heindrich, C.; Wittke, K.; Stein, E.; Franke, C.; Prüss, H.; Preßler, H.; Machule, M.-L.; Audebert, H.; et al. Fighting Post-COVID and ME/CFS—Development of curative therapies. Front. Med. 2023, 10, 1194754. [Google Scholar] [CrossRef] [PubMed]
- Bateman, L.; Bested, A.C.; Bonilla, H.F.; Chheda, B.V.; Chu, L.; Curtin, J.M.; Dempsey, T.T.; Dimmock, M.E.; Dowell, T.G.; Felsenstein, D.; et al. Myalgic Encephalomyelitis/Chronic Fatigue Syndrome: Essentials of Diagnosis and Management. Mayo Clin. Proc. 2021, 96, 2861–2878. [Google Scholar] [CrossRef]
- Nacul, L.; Lacerda, E.M.; Kingdon, C.C.; Curran, H.; Bowman, E.W. How have selection bias and disease misclassification undermined the validity of myalgic encephalomyelitis/chronic fatigue syndrome studies? J. Health Psychol. 2019, 24, 1765–1769. [Google Scholar] [CrossRef] [PubMed]
- Malato, J.; Graça, L.; Sepúlveda, N. Impact of Misdiagnosis in Case-Control Studies of Myalgic Encephalomyelitis/Chronic Fatigue Syndrome. Diagnostics 2023, 13, 531. [Google Scholar] [CrossRef] [PubMed]
- Clayton, E.W. Beyond myalgic encephalomyelitis/chronic fatigue syndrome: An IOM report on redefining an illness. JAMA 2015, 313, 1101–1102. [Google Scholar] [CrossRef] [PubMed]
- Haywood, K.L.; Collin, S.M.; Crawley, E. Assessing severity of illness and outcomes of treatment in children with Chronic Fatigue Syndrome/Myalgic Encephalomyelitis (CFS/ME): A systematic review of patient-reported outcome measures (PROMs). Child. Care Health Dev. 2014, 40, 806–824. [Google Scholar] [CrossRef] [PubMed]
- Vyas, J.; Muirhead, N.; Singh, R.; Ephgrave, R.; Finlay, A.Y. Impact of myalgic encephalomyelitis/chronic fatigue syndrome (ME/CFS) on the quality of life of people with ME/CFS and their partners and family members: An online cross-sectional survey. BMJ Open 2022, 12, e058128. [Google Scholar] [CrossRef] [PubMed]
- Bretherick, A.; McGrath, S.; Devereux-Cooke, A.; Leary, S.; Northwood, E.; Redshaw, A.; Stacey, P.; Tripp, C.; Wilson, J.; Chowdhury, S.; et al. Typing myalgic encephalomyelitis by infection at onset: A DecodeME study [version 4; peer review: 2 approved]. NIHR Open Res. 2023, 3, 20. [Google Scholar] [CrossRef] [PubMed]
- Jason, L.A.; Barker, K.; Brown, A. Pediatric Myalgic Encephalomyelitis/Chronic Fatigue Syndrome. Rev. Health Care 2012, 3, 257–270. [Google Scholar] [CrossRef] [PubMed]
- Rasa, S.; Nora-Krukle, Z.; Henning, N.; Eliassen, E.; Shikova, E.; Harrer, T.; Scheibenbogen, C.; Murovska, M.; Prusty, B.K. Chronic viral infections in myalgic encephalomyelitis/chronic fatigue syndrome (ME/CFS). J. Transl. Med. 2018, 16, 268. [Google Scholar] [CrossRef] [PubMed]
- Crawley, E.M.; Emond, A.M.; Sterne, J.A.C. Unidentified Chronic Fatigue Syndrome/myalgic encephalomyelitis (CFS/ME) is a major cause of school absence: Surveillance outcomes from school-based clinics. BMJ Open 2011, 1, e000252. [Google Scholar] [CrossRef] [PubMed]
- Núñez, M.; Núñez, E.; del Val, J.L.; Fernández-Huerta, J.M.; Alegre, C.; Bonet, M.; Roig, D.; Gomez, E.; Godás, T.; Fernández-Solà, J. Health-related quality of life in chronic fatigue syndrome versus rheumatoid arthritis as control group. J. Chronic Fatigue Syndr. 2007, 14, 31. [Google Scholar] [CrossRef]
- Nacul, L.C.; Lacerda, E.M.; Campion, P.; Pheby, D.; Drachler, M.d.L.; Leite, J.C.; Poland, F.; Howe, A.; Fayyaz, S.; Molokhia, M. The functional status and well being of people with myalgic encephalomyelitis/chronic fatigue syndrome and their carers. BMC Public. Health 2011, 11, 402. [Google Scholar] [CrossRef] [PubMed]
- Falk Hvidberg, M.; Brinth, L.S.; Olesen, A.V.; Petersen, K.D.; Ehlers, L. The Health-Related Quality of Life for Patients with Myalgic Encephalomyelitis/Chronic Fatigue Syndrome (ME/CFS). PLoS ONE 2015, 10, e0132421. [Google Scholar] [CrossRef] [PubMed]
- Kemp, J.; Sunnquist, M.; Jason, L.A.; Newton, J.L. Autonomic dysfunction in myalgic encephalomyelitis and chronic fatigue syndrome: Comparing self-report and objective measures. Clin. Auton. Res. 2019, 29, 475–477. [Google Scholar] [CrossRef] [PubMed]
- Lacerda, E.M.; Bowman, E.W.; Cliff, J.M.; Kingdon, C.C.; King, E.C.; Lee, J.S.; Clark, T.G.; Dockrell, H.M.; Riley, E.M.; Curran, H.; et al. The UK ME/CFS Biobank for biomedical research on Myalgic Encephalomyelitis/Chronic Fatigue Syndrome (ME/CFS) and Multiple Sclerosis. Open J. Bioresour. 2017, 4, 4. [Google Scholar] [CrossRef] [PubMed]
- Katz, B.Z.; Collin, S.M.; Murphy, G.; Moss-Morris, R.; Wyller, V.B.; Wensaas, K.A.; Hautvast, J.L.A.; Bleeker-Rovers, C.P.; Vollmer-Conna, U.; Buchwald, D.; et al. The International Collaborative on Fatigue Following Infection (COFFI). Fatigue 2018, 6, 106–121. [Google Scholar] [CrossRef] [PubMed]




| Demographics | Medical History | Therapy | Physical Examination | Laboratory Evaluation | Functional Tests and Consultations | Questionnaires | Biosamples |
|---|---|---|---|---|---|---|---|
| Date of visit Date of birth Gender Occupation High school diploma Domestic support Limitations in daily life, social and educational participation Changes in health status | Symptoms of ME/CFS Information on the onset of ME/CFS (trigger, time, medical consultations, laboratory findings, progression/duration of symptoms) Medical history Vaccination status Previous diagnosis/comorbidities Allergies Food intolerance Susceptibility to infection Previous infectious diseases Medications Family history | Non-pharmaceutical Interventions Self-management Medical aids Food supplements Medications Support at school/education/work Degree of disability Degree of care | Hypermobile Ehlers–Danlos syndrome screening Body height Body weight BMI Body temperature Cardiorespiratory examination Abdominal examination Neurological examination Musculoskeletal examination | Hematology Clinical chemistry Microbiology Virology Serology Urine status Blood gas analysis | Oxygen saturation 10 min passive standing test (blood pressure, heart rate) 6 min walking test Hand-grip strength ECG ECHO Cranial MRI Abdominal sonography EEG Ophthalmological consultation Ear, nose, and throat consultation Pain therapy consultation Psychological consultation | MBSQ Fatigue Severity Scale Chalder Fatigue Scale DSQ-PEM Bell Score SF-36 COMPASS-31 PHQ-4/9 YSR/11-18R SCL-90-S CBCL/6-18R GAD-7 HADS-D SSS-8 SSD-12 SOMS-KJ 2 PSS-10 BRCS ERI PC-PTSD JTCI 12-18R | Time point of collection Type (serum, plasma, PBMC) Number of aliquots |
| All (n = 128) | Adolescents (n = 15) | Adults (n = 113) | Healthy Population 1 (n = 20) | ||
|---|---|---|---|---|---|
| Domain | Mean (SD) | Mean (SD) | Mean (SD) | p-Value | Mean (SD) |
| Orthostatic intolerance | 13.8 (11.2) | 21.6 (10.0) | 12.8 (11.0) | 0.004 | 5.1 (7.5) |
| Vasomotor | 1.0 (1.6) | 0.9 (1.4) | 1.0 (1.6) | 0.986 | 0.3 (0.7) |
| Secretomotor | 3.3 (3.0) | 2.0 (2.4) | 3.5 (3.1) | 0.093 | 1.4 (2.1) |
| Gastrointestinal | 8.1 (5.1) | 3.5 (3.0) | 8.8 (5.0) | <0.001 | 3.8 (2.9) |
| Bladder | 1.2 (1.7) | 0.1 (0.6) | 1.4 (1.8) | 0.002 | 0.3 (0.9) |
| Pupillomotor | 2.7 (1.3) | 1.9 (1.0) | 2.9 (1.3) | 0.002 | 0.9 (0.9) |
| Total | 40.1 (15.9) | 29.9 (11.7) | 41.5 (15.9) | 0.007 | 11.2 (9.1) |
Disclaimer/Publisher’s Note: The statements, opinions and data contained in all publications are solely those of the individual author(s) and contributor(s) and not of MDPI and/or the editor(s). MDPI and/or the editor(s) disclaim responsibility for any injury to people or property resulting from any ideas, methods, instructions or products referred to in the content. |
© 2024 by the authors. Licensee MDPI, Basel, Switzerland. This article is an open access article distributed under the terms and conditions of the Creative Commons Attribution (CC BY) license (https://creativecommons.org/licenses/by/4.0/).
Share and Cite
Hieber, H.; Pricoco, R.; Gerrer, K.; Heindrich, C.; Wiehler, K.; Mihatsch, L.L.; Haegele, M.; Schindler, D.; Donath, Q.; Christa, C.; et al. The German Multicenter Registry for ME/CFS (MECFS-R). J. Clin. Med. 2024, 13, 3168. https://doi.org/10.3390/jcm13113168
Hieber H, Pricoco R, Gerrer K, Heindrich C, Wiehler K, Mihatsch LL, Haegele M, Schindler D, Donath Q, Christa C, et al. The German Multicenter Registry for ME/CFS (MECFS-R). Journal of Clinical Medicine. 2024; 13(11):3168. https://doi.org/10.3390/jcm13113168
Chicago/Turabian StyleHieber, Hannah, Rafael Pricoco, Katrin Gerrer, Cornelia Heindrich, Katharina Wiehler, Lorenz L. Mihatsch, Matthias Haegele, Daniela Schindler, Quirin Donath, Catharina Christa, and et al. 2024. "The German Multicenter Registry for ME/CFS (MECFS-R)" Journal of Clinical Medicine 13, no. 11: 3168. https://doi.org/10.3390/jcm13113168
APA StyleHieber, H., Pricoco, R., Gerrer, K., Heindrich, C., Wiehler, K., Mihatsch, L. L., Haegele, M., Schindler, D., Donath, Q., Christa, C., Grabbe, A., Kircher, A., Leone, A., Mueller, Y., Zietemann, H., Freitag, H., Sotzny, F., Warlitz, C., Stojanov, S., ... Behrends, U. (2024). The German Multicenter Registry for ME/CFS (MECFS-R). Journal of Clinical Medicine, 13(11), 3168. https://doi.org/10.3390/jcm13113168

