The Compensation Index Is Better Associated with DSA ASITN Collateral Score Compared to the Cerebral Blood Volume Index and Hypoperfusion Intensity Ratio
Abstract
:1. Background
2. Methods
2.1. Study Design
2.2. Study Participants
2.3. Data Collection
2.4. CTP Image Acquisition
2.5. Image Analysis
2.6. Statistical Analysis
3. Results
4. Spearman Correlation Analyses
4.1. CI and ASITN Collateral Score
4.2. HIR and ASITN Collateral Score
4.3. CBV Index and ASITN Collateral Score
5. Discussion
Author Contributions
Funding
Institutional Review Board Statement
Data Availability Statement
Acknowledgments
Conflicts of Interest
Abbreviations
| AIS | Acute ischemic stroke |
| CI | Compensation Index |
| CS | Collateral status |
| CBV | Cerebral blood volume |
| DWI | Diffusion-weighted imaging |
| HIR | Hypoperfusion intensity ratio |
| LVO | Large vessel occlusion |
| mRS | Modified Rankin score |
| MT | Mechanical thrombectomy |
References
- Xu, Y.; Guo, S.; Jiang, H.; Han, H.; Sun, J.; Wu, X. Collateral Status and Clinical Outcomes after Mechanical Thrombectomy in Patients with Anterior Circulation Occlusion. J. Healthc. Eng. 2022, 2022, 7796700. [Google Scholar] [CrossRef]
- Gensicke, H.; Al-Ajlan, F.; Fladt, J.; Campbell, B.C.; Majoie, C.B.; Bracard, S.; Hill, M.D.; Muir, K.W.; Demchuk, A.; Román, L.S.; et al. Comparison of Three Scores of Collateral Status for Their Association With Clinical Outcome: The HERMES Collaboration. Stroke 2022, 53, 3548–3556. [Google Scholar] [CrossRef]
- Sperti, M.; Arba, F.; Acerbi, A.; Busto, G.; Fainardi, E.; Sarti, C. Determinants of cerebral collateral circulation in acute ischemic stroke due to large vessel occlusion. Front. Neurol. 2023, 14, 1181001. [Google Scholar] [CrossRef] [PubMed]
- Peisker, T.; Vaško, P.; Mikulenka, P.; Lauer, D.; Kožnar, B.; Sulženko, J.; Roháč, F.; Kučera, D.; Girsa, D.; Kremeňová, K.; et al. Clinical and radiological factors predicting stroke outcome after successful mechanical intervention in anterior circulation. Eur. Heart J. Suppl. 2022, 24 (Suppl. B), B48–B52. [Google Scholar] [CrossRef] [PubMed]
- Wang, Y.; Wang, J.; Qiu, J.; Li, W.; Sun, X.; Zhao, Y.; Liu, X.; Zhao, Z.; Liu, L.; Nguyen, T.N.; et al. Association between collaterals, cerebral circulation time and outcome after thrombectomy of stroke. Ann. Clin. Transl. Neurol. 2023, 10, 266–275. [Google Scholar] [CrossRef] [PubMed]
- Prasetya, H.; Tolhuisen, M.L.; Koopman, M.S.; Kappelhof, M.; Meijer, F.J.A.; Yo, L.S.F.; Nijeholt, G.J.L.; van Zwam, W.H.; van der Lugt, A.; Roos, Y.B.W.E.M.; et al. Value of CT Perfusion for Collateral Status Assessment in Patients with Acute Ischemic Stroke. Diagnostics 2022, 12, 3014. [Google Scholar] [CrossRef]
- Lin, L.; Chen, C.; Tian, H.; Bivard, A.; Spratt, N.; Levi, C.R.; Parsons, M.W. Perfusion Computed Tomography Accurately Quantifies Collateral Flow After Acute Ischemic Stroke. Stroke 2020, 51, 1006–1009. [Google Scholar] [CrossRef]
- Shi, F.; Gong, X.; Liu, C.; Zeng, Q.; Zhang, M.; Chen, Z.; Yan, S.; Lou, M. Acute Stroke: Prognostic Value of Quantitative Collateral Assessment at Perfusion CT. Radiology 2019, 290, 760–768. [Google Scholar] [CrossRef]
- Nael, K.; Sakai, Y.; Larson, J.; Goldstein, J.; Deutsch, J.; Awad, A.J.; Pawha, P.; Aggarwal, A.; Fifi, J.; Deleacy, R.; et al. CT Perfusion collateral index in assessment of collaterals in acute ischemic stroke with delayed presentation: Comparison to single phase CTA. J. Neuroradiol. 2022, 49, 198–204. [Google Scholar] [CrossRef]
- Shuaib, A.; Butcher, K.; Mohammad, A.A.; Saqqur, M.; Liebeskind, D.S. Collateral blood vessels in acute ischaemic stroke: A potential therapeutic target. Lancet Neurol. 2011, 10, 909–921. [Google Scholar] [CrossRef]
- Singer, O.C.; Berkefeld, J.; Nolte, C.H.; Bohner, G.; Reich, A.; Wiesmann, M.; Groeschel, K.; Boor, S.; Neumann-Haefelin, T.; Hofmann, E.; et al. Collateral vessels in proximal middle cerebral artery occlusion: The ENDOSTROKE study. Radiology 2015, 274, 851–858. [Google Scholar] [CrossRef] [PubMed]
- Karamchandani, R.R.; Strong, D.; Rhoten, J.B.; Prasad, T.; Selig, J.; Defilipp, G.; Asimos, A.W. Cerebral blood volume index as a predictor of functional independence after basilar artery thrombectomy. J. Neuroimaging 2022, 32, 171–178. [Google Scholar] [CrossRef] [PubMed]
- Wang, C.M.; Chang, Y.M.; Sung, P.S.; Chen, C.H. Hypoperfusion Index Ratio as a Surrogate of Collateral Scoring on CT Angiogram in Large Vessel Stroke. J. Clin. Med. 2021, 10, 1296. [Google Scholar] [CrossRef] [PubMed]
- Arenillas, J.F.; Cortijo, E.; García-Bermejo, P.; Levy, E.I.; Jahan, R.; Liebeskind, D.; Goyal, M.; Saver, J.L.; Albers, G.W. Relative cerebral blood volume is associated with collateral status and infarct growth in stroke patients in SWIFT PRIME. J. Cereb. Blood Flow Metab. 2018, 38, 1839–1847. [Google Scholar] [CrossRef] [PubMed]
- Guenego, A.; Mlynash, M.; Christensen, S.; Kemp, S.; Heit, J.J.; Lansberg, M.G.; Albers, G.W. Hypoperfusion ratio predicts infarct growth during transfer for thrombectomy. Ann. Neurol. 2018, 84, 616–620. [Google Scholar] [CrossRef]
- Rao, V.L.; Mlynash, M.; Christensen, S.; Yennu, A.; Kemp, S.; Zaharchuk, G.; Heit, J.J.; Marks, M.P.; Lansberg, M.G.; Albers, G.W. Collateral status contributes to differences between observed and predicted 24-h infarct volumes in DEFUSE 3. J. Cereb. Blood Flow Metab. 2020, 40, 1966–1974. [Google Scholar] [CrossRef]
- Elijovich, L.; Goyal, N.; Mainali, S.; Hoit, D.; Arthur, A.S.; Whitehead, M.; Choudhri, A.F. CTA collateral score predicts infarct volume and clinical outcome after endovascular therapy for acute ischemic stroke: A retrospective chart review. J. Neurointerv. Surg. 2016, 8, 559–562. [Google Scholar] [CrossRef]
- Kimmel, E.R.; Al Kasab, S.; Harvey, J.B.; Bathla, G.; Ortega-Gutierrez, S.; Toth, G.; Jaksich, E.M.; Sheharyar, A.; Roa, J.; Hasan, D.M.; et al. Absence of Collaterals is Associated with Larger Infarct Volume and Worse Outcome in Patients with Large Vessel Occlusion and Mild Symptoms. J. Stroke Cerebrovasc. Dis. 2019, 28, 1987–1992. [Google Scholar] [CrossRef]
- Kurmann, C.; Kaesmacher, J.; Pilgram-Pastor, S.; Piechowiak, E.; Scutelnic, A.; Heldner, M.; Dobrocky, T.; Gralla, J.; Mordasini, P. Correlation of Collateral Scores Derived from Whole-Brain Time-Resolved Flat Panel Detector Imaging in Acute Ischemic Stroke. AJNR Am. J. Neuroradiol. 2022, 43, 1627–1632. [Google Scholar] [CrossRef]
- Kamalian, S.; Kamalian, S.; Konstas, A.; Maas, M.; Payabvash, S.; Pomerantz, S.; Schaefer, P.; Furie, K.; González, R.; Lev, M. CT perfusion mean transit time maps optimally distinguish benign oligemia from true “at-risk” ischemic penumbra, but thresholds vary by postprocessing technique. AJNR Am. J. Neuroradiol. 2012, 33, 545–549. [Google Scholar] [CrossRef]
- Simera, I.; Moher, D.; Hoey, J.; Schulz, K.F.; Altman, D.G. A catalogue of reporting guidelines for health research. Eur. J. Clin. Investig. 2010, 40, 35–53. [Google Scholar] [CrossRef]
- Waqas, M.; Mokin, M.; Primiani, C.T.; Gong, A.D.; Rai, H.H.; Chin, F.; Rai, A.T.; Levy, E.I.; Siddiqui, A.H. Large Vessel Occlusion in Acute Ischemic Stroke Patients: A Dual-Center Estimate Based on a Broad Definition of Occlusion Site. J. Stroke Cerebrovasc. Dis. 2020, 29, 104504. [Google Scholar] [CrossRef]
- Higashida, R.T.; Furlan, A.J.; Roberts, H.; Tomsick, T.; Connors, B.; Barr, J.; Dillon, W.; Warach, S.; Broderick, J.; Tilley, B.; et al. Trial design and reporting standards for intra-arterial cerebral thrombolysis for acute ischemic stroke. Stroke 2003, 34, e109–e137. [Google Scholar] [CrossRef] [PubMed]
- Adams, H.P., Jr.; Bendixen, B.H.; Kappelle, L.J.; Biller, J.; Love, B.B.; Gordon, D.L.; Marsh, E.E., 3rd. Classification of subtype of acute ischemic stroke. Definitions for use in a multicenter clinical trial. TOAST. Trial of Org 10172 in Acute Stroke Treatment. Stroke 1993, 24, 35–41. [Google Scholar] [CrossRef]
- Liu, L.; Ding, J.; Leng, X.; Pu, Y.; Huang, L.-A.; Xu, A.; Wong, K.S.L.; Wang, X.; Wang, Y. Guidelines for evaluation and management of cerebral collateral circulation in ischaemic stroke 2017. Stroke Vasc. Neurol. 2018, 3, 117–130. [Google Scholar] [CrossRef] [PubMed]
- Liebeskind, D.S.; Tomsick, T.A.; Foster, L.D.; Yeatts, S.D.; Carrozzella, J.; Demchuk, A.M.; Jovin, T.G.; Khatri, P.; von Kummer, R.; Sugg, R.M.; et al. Collaterals at angiography and outcomes in the Interventional Management of Stroke (IMS) III trial. Stroke 2014, 45, 759–764. [Google Scholar] [CrossRef] [PubMed]
- Liebeskind, D.S. Collateral lessons from recent acute ischemic stroke trials. Neurol. Res. 2014, 36, 397–402. [Google Scholar] [CrossRef]
- Marks, M.P.; Lansberg, M.G.; Mlynash, M.; Olivot, J.-M.; Straka, M.; Kemp, S.; McTaggart, R.; Inoue, M.; Zaharchuk, G.; Bammer, R.; et al. Effect of collateral blood flow on patients undergoing endovascular therapy for acute ischemic stroke. Stroke 2014, 45, 1035–1039. [Google Scholar] [CrossRef]
- Bang, O.Y.; Saver, J.L.; Buck, B.H.; Alger, J.R.; Starkman, S.; Ovbiagele, B.; Kim, D.; Jahan, R.; Duckwiler, G.R.; Yoon, S.R.; et al. Impact of collateral flow on tissue fate in acute ischaemic stroke. J. Neurol. Neurosurg. Psychiatry 2008, 79, 625–629. [Google Scholar] [CrossRef]
- Khunte, M.; Wu, X.; Avery, E.W.; Gandhi, D.; Payabvash, S.; Matouk, C.; Heit, J.J.; Wintermark, M.; Albers, G.W.; Sanelli, P.; et al. Impact of collateral flow on cost-effectiveness of endovascular thrombectomy. J. Neurosurg. 2022, 137, 1801–1810. [Google Scholar] [CrossRef]
- Murray, N.M.; Culbertson, C.J.; Wolman, D.N.; Mlynash, M.; Lansberg, M.G. Hypoperfusion Intensity Ratio Predicts Malignant Edema and Functional Outcome in Large-Vessel Occlusive Stroke with Poor Revascularization. Neurocrit. Care 2021, 35, 79–86. [Google Scholar] [CrossRef] [PubMed]
- Fainardi, E.; Busto, G.; Rosi, A.; Scola, E.; Casetta, I.; Bernardoni, A.; Saletti, A.; Arba, F.; Nencini, P.; Limbucci, N.; et al. Tmax Volumes Predict Final Infarct Size and Functional Outcome in Ischemic Stroke Patients Receiving Endovascular Treatment. Ann. Neurol. 2022, 91, 878–888. [Google Scholar] [CrossRef] [PubMed]
- Monteiro, A.; Cortez, G.M.; Greco, E.; Aghaebrahim, A.; Sauvageau, E.; Hanel, R.A. Hypoperfusion intensity ratio for refinement of elderly patient selection for endovascular thrombectomy. J. Neurointerv. Surg. 2022, 14, 242–247. [Google Scholar] [CrossRef] [PubMed]
- Schaefer, P.W.; Souza, L.; Kamalian, S.; Hirsch, J.A.; Yoo, A.J.; Kamalian, S.; Gonzalez, R.G.; Lev, M.H. Limited reliability of computed tomographic perfusion acute infarct volume measurements compared with diffusion-weighted imaging in anterior circulation stroke. Stroke 2015, 46, 419–424. [Google Scholar] [CrossRef]
- Chu, Y.; Ma, G.; Xu, X.Q.; Lu, S.-S.; Cao, Y.-Z.; Shi, H.-B.; Liu, S.; Wu, F.-Y. Total and regional ASPECT score for non-contrast CT, CT angiography, and CT perfusion: Inter-rater agreement and its association with the final infarction in acute ischemic stroke patients. Acta Radiol. 2022, 63, 1093–1101. [Google Scholar] [CrossRef]
- Zussman, B.; Jabbour, P.; Talekar, K.; Gorniak, R.; Flanders, A.E. Sources of variability in computed tomography perfusion: Implications for acute stroke management. Neurosurg. Focus 2011, 30, E8. [Google Scholar] [CrossRef]
- Vagal, A.; Aviv, R.; Sucharew, H.; Reddy, M.; Hou, Q.; Michel, P.; Jovin, T.; Tomsick, T.; Wintermark, M.; Khatri, P. Collateral Clock Is More Important than Time Clock for Tissue Fate. Stroke 2018, 49, 2102–2107. [Google Scholar] [CrossRef]
- Bang, O.Y.; Goyal, M.; Liebeskind, D.S. Collateral Circulation in Ischemic Stroke: Assessment Tools and Therapeutic Strategies. Stroke 2015, 46, 3302–3309. [Google Scholar] [CrossRef]
- Uniken Venema, S.M.; Dankbaar, J.W.; van der Lugt, A.; Dippel, D.W.J.; van der Worp, H.B. Cerebral Collateral Circulation in the Era of Reperfusion Therapies for Acute Ischemic Stroke. Stroke 2022, 53, 3222–3234. [Google Scholar] [CrossRef]
- Liebeskind, D.S.; Jahan, R.; Nogueira, R.G.; Zaidat, O.O.; Saver, J.L.; Investigators, S. Impact of collaterals on successful revascularization in Solitaire FR with the intention for thrombectomy. Stroke 2014, 45, 2036–2040. [Google Scholar] [CrossRef]
- Menon, B.K.; Qazi, E.; Nambiar, V.; Foster, L.D.; Yeatts, S.D.; Liebeskind, D.; Jovin, T.G.; Goyal, M.; Hill, M.D.; Tomsick, T.A.; et al. Differential Effect of Baseline Computed Tomographic Angiography Collaterals on Clinical Outcome in Patients Enrolled in the Interventional Management of Stroke III Trial. Stroke 2015, 46, 1239–1244. [Google Scholar] [CrossRef] [PubMed]
- Guenego, A.; Farouki, Y.; Mine, B.; Bonnet, T.; Hulscher, F.; Wang, M.; Elens, S.; Suarez, J.V.; Jodaitis, L.; Ligot, N.; et al. Hypoperfusion Intensity Ratio Predicts Infarct Growth After Successful Thrombectomy for Distal Medium Vessel Occlusion. Clin. Neuroradiol. 2022, 32, 849–856. [Google Scholar] [CrossRef] [PubMed]
- Wan, Z.; Meng, Z.; Xie, S.; Fang, J.; Li, L.; Chen, Z.; Liu, J.; Jiang, G. Correlation between Hypoperfusion Intensity Ratio and Functional Outcome in Large-Vessel Occlusion Acute Ischemic Stroke: Comparison with Multi-Phase CT Angiography. J. Clin. Med. 2022, 11, 5274. [Google Scholar] [CrossRef] [PubMed]
- Guenego, A.; Marcellus, D.G.; Martin, B.W.; Christensen, S.; Albers, G.W.; Lansberg, M.G.; Marks, M.P.; Wintermark, M.; Heit, J.J. Hypoperfusion Intensity Ratio Is Correlated With Patient Eligibility for Thrombectomy. Stroke 2019, 50, 917–922. [Google Scholar] [CrossRef]
- Winkelmeier, L.; Heit, J.J.; Adusumilli, G.; Geest, V.; Christensen, S.; Kniep, H.; van Horn, N.; Steffen, P.; Bechstein, M.; Sporns, P.; et al. Hypoperfusion Intensity Ratio Is Correlated With the Risk of Parenchymal Hematoma After Endovascular Stroke Treatment. Stroke 2023, 54, 135–143. [Google Scholar] [CrossRef] [PubMed]
- Wu, R.R.; Lu, S.S.; Cao, Y.Z.; Xu, X.-Q.; Jia, Z.-Y.; Zhao, L.-B.; Liu, S.; Shi, H.-B.; Wu, F.-Y. Hypoperfusion intensity ratio correlates with clinical outcome of endovascular thrombectomy in acute ischaemic stroke patients with late therapeutic window. Clin. Radiol. 2022, 77, 570–576. [Google Scholar] [CrossRef]
- Imaoka, Y.; Shindo, S.; Miura, M.; Terasaki, T.; Mukasa, A.; Todaka, T. Hypoperfusion intensity ratio and CBV index as predictive parameters to identify underlying intracranial atherosclerotic stenosis in endovascular thrombectomy. J. Neuroradiol. 2023, 50, 424–430. [Google Scholar] [CrossRef]
- Guenego, A.; Fahed, R.; Albers, G.W.; Kuraitis, G.; Sussman, E.S.; Martin, B.W.; Marcellus, D.G.; Olivot, J.; Marks, M.P.; Lansberg, M.G.; et al. Hypoperfusion intensity ratio correlates with angiographic collaterals in acute ischaemic stroke with M1 occlusion. Eur. J. Neurol. 2020, 27, 864–870. [Google Scholar] [CrossRef]
- Ai, Z.; Jiang, L.; Zhao, B.; Su, H.; Yin, X.; Chen, Y.C. Hypoperfusion Intensity Ratio Correlates with Angiographic Collaterals and Infarct Growth in Acute Stroke with Thrombectomy. Curr. Med. Imaging 2023, 19, 1561–1569. [Google Scholar] [CrossRef]
- Li, B.H.; Wang, J.H.; Yang, S.; Wang, D.-Z.; Zhang, Q.; Cheng, X.-D.; Yu, N.-W.; Guo, F.-Q. Cerebral blood volume index may be a predictor of independent outcome of thrombectomy in stroke patients with low ASPECTS. J. Clin. Neurosci. 2022, 103, 188–192. [Google Scholar] [CrossRef]
- Maguida, G.; Shuaib, A. Collateral Circulation in Ischemic Stroke: An Updated Review. J. Stroke 2023, 25, 179–198. [Google Scholar] [CrossRef]
- Ben Hassen, W.; Malley, C.; Boulouis, G.; Clarençon, F.; Bartolini, B.; Bourcier, R.; Régent, C.R.; Bricout, N.; Labeyrie, M.A.; Gentric, J.C.; et al. Inter- and intraobserver reliability for angiographic leptomeningeal collateral flow assessment by the American Society of Interventional and Therapeutic Neuroradiology/Society of Interventional Radiology (ASITN/SIR) scale. J. Neurointerv. Surg. 2019, 11, 338–341. [Google Scholar] [CrossRef] [PubMed]
- Bendszus, M.; Bonekamp, S.; Berge, E.; Boutitie, F.; Brouwer, P.; Gizewski, E.; Krajina, A.; Pierot, L.; Randall, G.; Simonsen, C.Z.; et al. A randomized controlled trial to test efficacy and safety of thrombectomy in stroke with extended lesion and extended time window. Int. J. Stroke 2019, 14, 87–93. [Google Scholar] [CrossRef] [PubMed]
- Sarraj, A.; Hassan, A.E.; Abraham, M.G.; Ortega-Gutierrez, S.; Kasner, S.E.; Hussain, M.S.; Chen, M.; Blackburn, S.; Sitton, C.W.; Churilov, L.; et al. Trial of Endovascular Thrombectomy for Large Ischemic Strokes. N. Engl. J. Med. 2023, 388, 1259–1271. [Google Scholar] [CrossRef] [PubMed]
- Yoshimura, S.; Sakai, N.; Yamagami, H.; Uchida, K.; Beppu, M.; Toyoda, K.; Matsumaru, Y.; Matsumoto, Y.; Kimura, K.; Takeuchi, M.; et al. Endovascular Therapy for Acute Stroke with a Large Ischemic Region. N. Engl. J. Med. 2022, 386, 1303–1313. [Google Scholar] [CrossRef]
- Huo, X.; Ma, G.; Tong, X.; Zhang, X.; Pan, Y.; Nguyen, T.N.; Yuan, G.; Han, H.; Chen, W.; Wei, M.; et al. Trial of Endovascular Therapy for Acute Ischemic Stroke with Large Infarct. N. Engl. J. Med. 2023, 388, 1272–1283. [Google Scholar] [CrossRef]




| Study Demographics | Total (n = 223) | DSA ASITN CS (0–2) (n = 151) | DSA ASITN CS (3–4) (n = 72) | p Value |
|---|---|---|---|---|
| Age in Years (mean ± standard deviation) | 67.77 ± 15.76 | 68.17 ± 15.90 | 66.93 ± 15.53 | 0.583 |
| Sex (Numbers (%)) | 0.636 | |||
| Female | 125 (56.05%) | 83 (54.97%) | 42 (58.33%) | |
| Male | 98 (43.95%) | 68 (45.03%) | 30 (41.67%) | |
| Race (Numbers (%)) | 0.268 | |||
| African American | 90 (40.36%) | 62 (41.06%) | 28 (38.89%) | |
| Caucasian | 117 (52.47%) | 78 (51.66%) | 39 (54.17%) | |
| Asian | 7 (3.14%) | 3 (1.99%) | 4 (5.56%) | |
| Other | 9 (4.04%) | 8 (5.30%) | 1 (1.39%) | |
| Pertinent Details at Presentation | ||||
| Prior history of stroke or Transient Ischemic Attack (Numbers (%)) | 44 (19.73%) | 29 (19.21%) | 15 (20.83%) | 0.775 |
| Admission NIH Stroke Scale (mean ± standard deviation) | 15.65 ± 6.82 | 16.30 ± 6.82 | 14.29 ± 6.66 | 0.040 * |
| Premorbid modified Rankin score (mRS) (mean ± standard deviation) | 0.63 ± 1.07 | 0.55 ± 1.02 | 0.80 ± 1.14 | 0.105 |
| Admission Alberta stroke program early CT score (ASPECTS) (mean ± standard deviation) | 8.64 ± 1.86 | 8.43 ± 2.03 | 9.07 ± 1.30 | 0.005 * |
| Intravenous tissue plasminogen activator administered (IV tPA) (Numbers (%)) | 80 (35.87%) | 51 (33.77%) | 29 (40.28%) | 0.344 |
| Segment Occlusion (Number (%)) | <0.001 * | |||
| Supraclinoid Internal Carotid Artery | 16 (7.17%) | 14 (9.27%) | 2 (2.78%) | |
| Middle Cerebral Artery, M1 segment | 162 (72.65%) | 122 (80.79%) | 40 (55.56%) | |
| Middle Cerebral Artery, Proximal M2 segment | 60 (19.3%) | 24 (11.3%) | 36 (36.4%) | |
| Relevant Time Parameters | ||||
| Door to CT time (in minutes, mean ± standard deviation) | 61.13 ± 144.10 | 65.72 ± 169.41 | 52.05 ± 74.02 | 0.645 |
| Door-to-groin puncture time (in minutes, mean ± standard deviation) | 211.50 ± 208.26 | 212.30 ± 224.78 | 209.59 ± 166.50 | 0.959 |
| CT-to-groin puncture time (in minutes, mean ± standard deviation) | 174.68 ± 174.67 | 172.60 ± 180.94 | 179.50 ± 163.16 | 0.878 |
| Door to recanalization time (in minutes, mean ± standard deviation) | 404.06 ± 419.30 | 346.49 ± 335.381 | 542.77 ± 559.01 | 0.065 |
| CT Perfusion Parameters | ||||
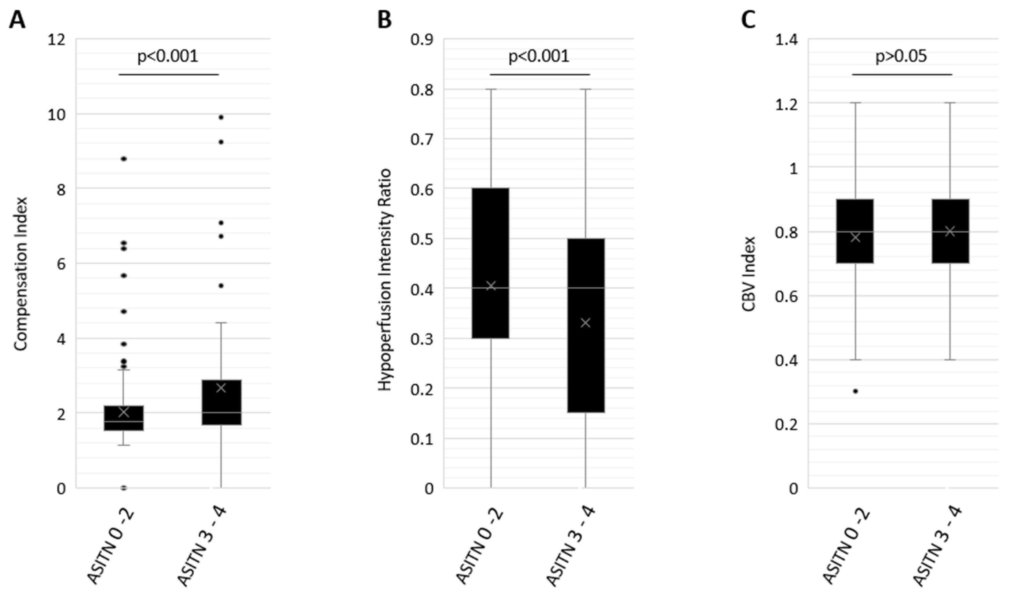
| Compensation Index (CI) | 2.24 ± 1.39 | 2.03 ± 1.04 | 2.67 ± 1.85 | p = 0.001 |
| Hypoperfusion Intensity Ratio (HIR) | 0.38 ± 0.22 | 0.41 ± 0.21 | 0.32 ± 0.22 | p < 0.05 |
| Cerebral Blood Volume (CBV) Index | 0.79 ± 0.16 | 0.78 ± 0.15 | 0.80 ± 0.16 | p = 0.42 |
| Variables | Univariate Analysis Unadjusted Odds Ratio (OR (95% Confidence Interval)) | Multivariate Logistic Regression Analysis | |||
|---|---|---|---|---|---|
| Adjusted OR | 95% Confidence Interval | p Value | |||
| Lower | Upper | ||||
| Compensation Index (CI) | 1.39 (1.10–1.74) | 1.387 | 1.090 | 1.766 | 0.008 |
| Age | 0.99 (0.98–1.01) | 0.989 | 0.966 | 1.013 | 0.366 |
| Sex | 0.80 (0.49–1.30) | 0.932 | 0.493 | 1.761 | 0.827 |
| Race | 0.99 (0.72–1.40) | 0.917 | 0.579 | 1.453 | 0.714 |
| Hypertension | 0.74 (0.41–1.27) | 0.625 | 0.289 | 1.354 | 0.234 |
| Hyperlipidemia | 1.05 (0.65–1.70) | 1.136 | 0.599 | 2.155 | 0.696 |
| Diabetes Mellitus | 1.16 (0.68–2.00) | 1.159 | 0.555 | 2.423 | 0.694 |
| Heart Disease | 1.01 (0.63–1.64) | 0.914 | 0.446 | 1.873 | 0.806 |
| Atrial Fibrillation | 1.17 (0.72–1.91) | 1.548 | 0.740 | 3.236 | 0.245 |
| Prior Stroke or Transient Ischemic Attack | 1.06 (0.59–1.91) | 1.048 | 0.486 | 2.258 | 0.906 |
| Intravenous Tissue Plasminogen Activator Administered (IV tPA) | 1.24 (0.76–2.04) | 1.298 | 0.676 | 2.492 | 0.433 |
| Admission National Institute of Health (NIH) Stroke Scale | 0.96 (0.93–0.99) | 0.957 | 0.912 | 1.005 | 0.076 |
| Premorbid Modified Rankin Score (mRS) | 1.17 (0.94–1.46) | 1.312 | 0.963 | 1.787 | 0.085 |
| Admission Alberta Stroke Program Early CT Score (ASPECTS) | 1.25 (1.06–1.45) | 1.143 | 0.937 | 1.395 | 0.188 |
| Variables | Univariate Analysis Unadjusted Odds Ratio (OR (95% Confidence Interval)) | Multivariate Logistic Regression Analysis | |||
|---|---|---|---|---|---|
| Adjusted OR | 95% Confidence Interval | p Value | |||
| Lower | Upper | ||||
| Hypoperfusion Intensity Ratio (HIR) | 3.37 (2.0–5.65) | 0.378 | 0.081 | 1.757 | 0.215 |
| Age | 0.99 (0.98–1.01) | 0.990 | 0.967 | 1.013 | 0.383 |
| Sex | 0.80 (0.49–1.30) | 0.957 | 0.504 | 1.816 | 0.893 |
| Race | 0.99 (0.72–1.40) | 0.869 | 0.553 | 1.365 | 0.542 |
| Hypertension | 0.74 (0.41–1.27) | 0.626 | 0.293 | 1.339 | 0.227 |
| Hyperlipidemia | 1.05 (0.65–1.70) | 1.140 | 0.608 | 2.139 | 0.683 |
| Diabetes Mellitus | 1.16 (0.68–2.00) | 1.077 | 0.523 | 2.219 | 0.840 |
| Heart Disease | 1.01 (0.63–1.64) | 0.885 | 0.435 | 1.801 | 0.736 |
| Atrial Fibrillation | 1.17 (0.72–1.91) | 1.588 | 0.773 | 3.262 | 0.208 |
| Prior Stroke or Transient Ischemic Attack | 1.06 (0.59–1.91) | 1.030 | 0.481 | 2.205 | 0.940 |
| Intravenous Tissue Plasminogen Activator Administered (IV tPA) | 1.24 (0.76–2.04) | 1.163 | 0.610 | 2.217 | 0.646 |
| Admission National Institute of Health (NIH) Stroke Scale | 0.96 (0.93–0.99) | 0.960 | 0.914 | 1.009 | 0.108 |
| Premorbid Modified Rankin Score (mRS) | 1.17 (0.94–1.46) | 1.308 | 0.964 | 1.775 | 0.085 |
| Admission Alberta Stroke Program Early CT Score (ASPECTS) | 1.25 (1.06–1.45) | 1.168 | 0.959 | 1.423 | 0.122 |
Disclaimer/Publisher’s Note: The statements, opinions and data contained in all publications are solely those of the individual author(s) and contributor(s) and not of MDPI and/or the editor(s). MDPI and/or the editor(s) disclaim responsibility for any injury to people or property resulting from any ideas, methods, instructions or products referred to in the content. |
© 2023 by the authors. Licensee MDPI, Basel, Switzerland. This article is an open access article distributed under the terms and conditions of the Creative Commons Attribution (CC BY) license (https://creativecommons.org/licenses/by/4.0/).
Share and Cite
Lakhani, D.A.; Balar, A.B.; Koneru, M.; Wen, S.; Hoseinyazdi, M.; Greene, C.; Xu, R.; Luna, L.; Caplan, J.; Dmytriw, A.A.; et al. The Compensation Index Is Better Associated with DSA ASITN Collateral Score Compared to the Cerebral Blood Volume Index and Hypoperfusion Intensity Ratio. J. Clin. Med. 2023, 12, 7365. https://doi.org/10.3390/jcm12237365
Lakhani DA, Balar AB, Koneru M, Wen S, Hoseinyazdi M, Greene C, Xu R, Luna L, Caplan J, Dmytriw AA, et al. The Compensation Index Is Better Associated with DSA ASITN Collateral Score Compared to the Cerebral Blood Volume Index and Hypoperfusion Intensity Ratio. Journal of Clinical Medicine. 2023; 12(23):7365. https://doi.org/10.3390/jcm12237365
Chicago/Turabian StyleLakhani, Dhairya A., Aneri B. Balar, Manisha Koneru, Sijin Wen, Meisam Hoseinyazdi, Cynthia Greene, Risheng Xu, Licia Luna, Justin Caplan, Adam A. Dmytriw, and et al. 2023. "The Compensation Index Is Better Associated with DSA ASITN Collateral Score Compared to the Cerebral Blood Volume Index and Hypoperfusion Intensity Ratio" Journal of Clinical Medicine 12, no. 23: 7365. https://doi.org/10.3390/jcm12237365
APA StyleLakhani, D. A., Balar, A. B., Koneru, M., Wen, S., Hoseinyazdi, M., Greene, C., Xu, R., Luna, L., Caplan, J., Dmytriw, A. A., Guenego, A., Wintermark, M., Gonzalez, F., Urrutia, V., Huang, J., Nael, K., Rai, A. T., Albers, G. W., Heit, J. J., & Yedavalli, V. S. (2023). The Compensation Index Is Better Associated with DSA ASITN Collateral Score Compared to the Cerebral Blood Volume Index and Hypoperfusion Intensity Ratio. Journal of Clinical Medicine, 12(23), 7365. https://doi.org/10.3390/jcm12237365

