Biologic Treatment Modification Efficacy in Concurrent Inflammatory Bowel Disease and Ankylosing Spondylitis: A Retrospective Cohort Study at a Single Tertiary Center
Abstract
:1. Introduction
2. Methods
2.1. Study Design and Population
2.2. Outcomes and Measures
2.3. Other Variables
- IBD-related medications: This includes 5-aminosalicylic acid (5-ASA), corticosteroids, and immunomodulators like azathioprine, mercaptopurine, and methotrexate.
- AS-related medications: This includes NSAIDs, sulfasalazine, and methotrexate.
- Biologicals agents for either AS or IBD treatment: This includes anti-TNF agents, tofacitinib, ustekinumab, secukinumab, and certolizumab pegol.
2.4. Statistical Analysis
3. Results
4. Discussion
Author Contributions
Funding
Institutional Review Board Statement
Informed Consent Statement
Data Availability Statement
Conflicts of Interest
References
- Shrestha, S.; Brand, J.S.; Järås, J.; Schoultz, I.; Montgomery, S.; Askling, J.; Ludvigsson, J.F.; Olen, O.; Halfvarson, J.; Olsson, M.; et al. Association Between Inflammatory Bowel Disease and Spondyloarthritis: Findings from a Nationwide Study in Sweden. J. Crohns Colitis. 2022, 16, 1540–1550. [Google Scholar] [CrossRef] [PubMed]
- Sieper, J.; Poddubnyy, D. Axial spondyloarthritis. Lancet 2017, 390, 73–84. [Google Scholar] [CrossRef] [PubMed]
- Smith, J.A. Update on ankylosing spondylitis: Current concepts in pathogenesis. Curr. Allergy Asthma Rep. 2015, 15, 489. [Google Scholar] [CrossRef]
- Braun, J.; Sieper, J. Ankylosing spondylitis. Lancet 2007, 369, 1379–1390. [Google Scholar] [CrossRef]
- Laukens, D.; Peeters, H.; Marichal, D.; Cruyssen, B.V.; Mielants, H.; Elewaut, D.; Demetter, P.; Cuvelier, C.; Berghe, M.V.D.; Rottiers, P.; et al. CARD15 gene polymorphisms in patients with spondyloarthropathies identify a specific phenotype previously related to Crohn’s disease. Ann. Rheum. Dis. 2005, 64, 930–935. [Google Scholar] [CrossRef] [PubMed]
- Danoy, P.; Pryce, K.; Hadler, J.; Bradbury, L.A.; Farrar, C.; Pointon, J.; Ward, M.; Weisman, M.; Reveille, J.D.; Wordsworth, B.P.; et al. Association of variants at 1q32 and STAT3 with ankylosing spondylitis suggests genetic overlap with Crohn’s disease. PLoS Genet. 2010, 6, e1001195. [Google Scholar] [CrossRef]
- Kopylov, U.; Starr, M.; Watts, C.; Dionne, S.; Girardin, M.; Seidman, E.G. Detection of Crohn disease in patients with spondyloarthropathy: The SpACE capsule study. J. Rheumatol. 2018, 45, 498–505. [Google Scholar] [CrossRef]
- Ahn, S.M.; Kim, Y.-G.; Bae, S.-H.; Lim, D.-H.; Hong, S.; Park, S.H.; Lee, C.-K.; Yoo, B. Ileocolonoscopic findings in patients with ankylosing spondylitis: A single center retrospective study. Korean J. Intern. Med. 2017, 32, 916–922. [Google Scholar] [CrossRef]
- Harbord, M.; Annese, V.; Vavricka, S.R.; Allez, M.; Acosta, M.B.-D.; Boberg, K.M.; Burisch, J.; De Vos, M.; De Vries, A.-M.; Dick, A.D.; et al. The first european evidence-based consensus on extra-intestinal manifestations in inflammatory bowel disease. J. Crohns Colitis. 2016, 10, 239–254. [Google Scholar] [CrossRef]
- Lee, Y.H.; Ji, J.D.; Kim, J.S.; Bak, Y.T.; Lee, C.H.; Kim, C.H.; Chae, Y.S.; Song, G.G. Ileocolonoscopic and histologic studies of Korean patients with ankylosing spondylitis. Scand. J. Rheumatol. 1997, 26, 473–476. [Google Scholar] [CrossRef]
- Islam, M.N.; Chowdhury, M.M.H.; Haq, S.A.; Kamal, M.; Kabir, A.; Hasan, M.; Rasker, J.J. The colon in patients with ankylosing spondylitis and in normal controls in Bangladesh: A macroscopic and microscopic study. Clin. Rheumatol. 2010, 29, 13–18. [Google Scholar] [CrossRef]
- Van Praet, L.; Bosch, F.E.V.D.; Jacques, P.; Carron, P.; Jans, L.; Colman, R.; Glorieus, E.; Peeters, H.; Mielants, H.; De Vos, M.; et al. Microscopic gut inflammation in axial spondyloarthritis: A multiparametric predictive model. Ann. Rheum. Dis. 2013, 72, 414–417. [Google Scholar] [CrossRef]
- Ramiro, S.; Nikiphorou, E.; Sepriano, A.; Ortolan, A.; Webers, C.; Baraliakos, X.; Landewé, R.B.; van der Heijde, D. ASAS-EULAR recommendations for the management of axial spondyloarthritis: 2022 update. Ann. Rheum. Dis. 2023, 82, 19–34. [Google Scholar] [CrossRef] [PubMed]
- Mowat, C.; Cole, A.; Windsor, A.; Ahmad, T.; Arnott, I.; Driscoll, R.; Mitton, S.; Orchard, T.; Rutter, M.; Younge, L.; et al. Guidelines for the management of inflammatory bowel disease in adults. Gut 2011, 60, 571–607. [Google Scholar] [CrossRef] [PubMed]
- Braun, J.; Kiltz, U.; Bühring, B.; Baraliakos, X. Secukinumab in axial spondyloarthritis: A narrative review of clinical evidence. Ther. Adv. Musculoskelet. Dis. 2021, 13, 1759720X211041854. [Google Scholar] [CrossRef] [PubMed]
- Lozano, M.J.F.; Giménez, R.S.; Fernández, M.C. Emergence of Inflammatory Bowel Disease During Treatment With Secukinumab. J. Crohns Colitis. 2018, 12, 1131–1133. [Google Scholar]
- Sands, B.E.; Sandborn, W.J.; Panaccione, R.; O’brien, C.D.; Zhang, H.; Johanns, J.; Adedokun, O.J.; Li, K.; Peyrin-Biroulet, L.; Van Assche, G.; et al. Ustekinumab as Induction and Maintenance Therapy for Ulcerative Colitis. N. Engl. J. Med. 2019, 381, 1201–1214. [Google Scholar] [CrossRef]
- Webers, C.; Ortolan, A.; Sepriano, A.; Falzon, L.; Baraliakos, X.; Landewé, R.B.M.; Nikiphorou, E. Efficacy and safety of biological DMARDs: A systematic literature review informing the 2022 update of the ASAS-EULAR recommendations for the management of axial spondyloarthritis. Ann. Rheum Dis. 2023, 82, 130–141. [Google Scholar] [CrossRef]
- Fragoulis, G.E.; Liava, C.; Daoussis, D.; Akriviadis, E.; Garyfallos, A.; Dimitroulas, T. Inflammatory bowel diseases and spondyloarthropathies: From pathogenesis to treatment. World J. Gastroenterol. 2019, 25, 2162–2176. [Google Scholar] [CrossRef]
- Sandborn, W.J.; Hanauer, S.B.; Katz, S.; Safdi, M.; Wolf, D.G.; Baerg, R.D.; Zinsmeister, A.R. Etanercept for active Crohn’s disease: A randomized, double-blind, placebo-controlled trial. Gastroenterology 2001, 121, 1088–1094. [Google Scholar] [CrossRef]
- Gordon, H.; Burisch, J.; Ellul, P.; Karmiris, K.; Katsanos, K.; Allocca, M.; Bamias, G.; Acosta, M.B.-D.; Braithwaite, T.; Greuter, T.; et al. ECCO Guidelines on Extraintestinal Manifestations in Inflammatory Bowel Disease. J. Crohns Colitis. 2023. Available online: https://pubmed.ncbi.nlm.nih.gov/37351850/ (accessed on 16 September 2023).
- Raine, T.; Bonovas, S.; Burisch, J.; Kucharzik, T.; Adamina, M.; Annese, V.; Bachmann, O.; Bettenworth, D.; Chaparro, M.; Czuber-Dochan, W.; et al. ECCO Guidelines on Therapeutics in Ulcerative Colitis: Medical Treatment. J. Crohns Colitis. 2022, 16, 2–17. [Google Scholar] [CrossRef] [PubMed]
- Nam, E.J.; Lee, W.K. Early Improvements in Disease Activity Indices Predict Long-Term Clinical Remission Suggested by the Treat-to-Target Strategy in Patients with Ankylosing Spondylitis Receiving TNF-α Inhibitor Treatment. J. Clin. Med. 2021, 10, 4279. [Google Scholar] [CrossRef]
- Zittan, E.; Kabakchiev, B.; Kelly, O.B.; Milgrom, R.; Nguyen, G.C.; Croitoru, K.; Steinhart, A.H.; Silverberg, M.S. Development of the Harvey-Bradshaw Index-pro (HBI-PRO) Score to Assess Endoscopic Disease Activity in Crohn’s Disease. J. Crohns Colitis. 2017, 11, 543–548. [Google Scholar] [CrossRef] [PubMed]
- Harvey, R.F.; Bradshaw, J.M. A simple index of Crohn’s-disease activity. Lancet 1980, 315, 514. [Google Scholar] [CrossRef] [PubMed]
- Walsh, A.; Ghosh, A.; Brain, A.; Buchel, O.; Burger, D.; Thomas, S.; White, L.; Collins, G.; Keshav, S.; Travis, S. Comparing disease activity indices in ulcerative colitis. J. Crohns Colitis. 2014, 8, 318–325. [Google Scholar] [CrossRef]
- Long, M.D.; Kappelman, M.D.; Martin, C.F.; Chen, W.; Anton, K.; Sandler, R.S. Role of Nonsteroidal Anti-Inflammatory Drugs in Exacerbations of Inflammatory Bowel Disease. J. Clin. Gastroenterol. 2016, 50, 152–156. [Google Scholar] [CrossRef]
- Takeuchi, K.; Smale, S.; Premchand, P.; Maiden, L.; Sherwood, R.; Thjodleifsson, B.; Bjornsson, E.; Bjarnason, I. Prevalence and mechanism of nonsteroidal anti-inflammatory drug-induced clinical relapse in patients with inflammatory bowel disease. Clin. Gastroenterol. Hepatol. 2006, 4, 196–202. [Google Scholar] [CrossRef]
- Felder, J.B.; Korelitz, B.I.; Rajapakse, R.; Schwarz, S.; Horatagis, A.P.; Gleim, G. Effects of nonsteroidal antiinflammatory drugs on inflammatory bowel disease: A case-control study. Am. J. Gastroenterol. 2000, 95, 1949–1954. [Google Scholar] [CrossRef]
- Meyer, A.M.; Ramzan, N.N.; Heigh, R.I.; Leighton, J.A. Relapse of inflammatory bowel disease associated with use of nonsteroidal anti-inflammatory drugs. Dig. Dis. Sci. 2006, 51, 168–172. [Google Scholar] [CrossRef]
- Bonner, G.F.; Fakhri, A.; Vennamaneni, S.R. A long-term cohort study of nonsteroidal anti-inflammatory drug use and disease activity in outpatients with inflammatory bowel disease. Inflamm. Bowel Dis. 2004, 10, 751–757. [Google Scholar] [CrossRef]
- El-Miedany, Y.; Youssef, S.; Ahmed, I.; El Gaafary, M. The gastrointestinal safety and effect on disease activity of etoricoxib, a selective cox-2 inhibitor in inflammatory bowel diseases. Am. J. Gastroenterol. 2006, 101, 311–317. [Google Scholar] [CrossRef] [PubMed]
- Reinisch, W.; Miehsler, W.; Dejaco, C.; Harrer, M.; Waldhoer, T.; Lichtenberger, C.; Vogelsang, H. An open-label trial of the selective cyclo-oxygenase-2 inhibitor, rofecoxib, in inflammatory bowel disease-associated peripheral arthritis and arthralgia. Aliment. Pharmacol. Ther. 2003, 17, 1371–1380. [Google Scholar] [CrossRef] [PubMed]
- Liu, Z.; Bai, X.; Zhang, H.; Wang, Z.; Yang, H.; Qian, J. Sex-specific comparison of clinical characteristics and prognosis in Crohn’s disease: A retrospective cohort study of 611 patients in China. Front. Physiol. 2022, 13, 972038. [Google Scholar] [CrossRef] [PubMed]
- Sharif, K.; Bridgewood, C.; Dubash, S.; McGonagle, D. Intestinal and enthesis innate immunity in early axial spondyloarthropathy. Rheumatology 2020, 59 (Suppl. 4), IV67–IV78. [Google Scholar] [CrossRef] [PubMed]
- Zhu, W.; He, X.; Cheng, K.; Zhang, L.; Chen, D.; Wang, X.; Weng, X. Ankylosing spondylitis: Etiology, pathogenesis, and treatments. Bone Res. 2019, 7, 22. [Google Scholar] [CrossRef]





| Cohort Characteristics | Entire Cohort (n = 68) |
|---|---|
| Male gender | 40 (58.8) |
| Age, years | 43.0 (31–55) |
| Smoking, current or former | 22 (32.3) |
| Age at IBD diagnosis, years | 27.0 (22.0–39.0) |
| Interval between the two diagnoses, years | 4.0 (1.0–9.5) |
| CD | 53 (77.9) |
| CD extent, n (% of CD patients) | |
| L1 (ileal) | 33 (62.3) |
| L2 (colonic) | 6 (11.3) |
| L3 (ileo-colonic) | 14 (26.4) |
| Perianal disease | 7 (13.2) |
| CD phenotype, n (% of CD patients) | |
| B1 (non-structuring non-penetrating) | 42 (79.2) |
| B2 (structuring) | 6 (11.3) |
| B3 (penetrating) | 5 (9.4) |
| UC extent, n (% of UC patients) | |
| E1 (proctitis) | 2 (2.9) |
| E2 (left-sided) | 5 (7.4) |
| E3 (extensive) | 8 (11.8) |
| Clinical extraintestinal manifestation | |
| Psoriasis | 3 (4.4) |
| Uveitis | 7 (10.3) |
| Peripheral arthritis | 16 (23.5) |
| CRP at time of second diagnosis | 18.0 (7.2–49) |
| IBD activity at time of second diagnosis | |
| Low | 23 (33.8) |
| Moderate | 25 (36.8) |
| High Very high | 19 (27.9) 1 (1.4) |
| AS activity at time of second diagnosis | |
| Low | 5 (7.4) |
| Moderate | 27 (39.7) |
| High | 36 (52.9) |
| Previous biologic therapy | 17 (25.0) |
| Ongoing treatment during second diagnosis | |
| Biologic regimen | 26 (38.2) |
| Corticosteroids | 6 (8.8) |
| 5-ASA | 14 (20.6) |
| Immunomodulators (azathioprine/mercaptopurine/MTX) | 8 (11.8) |
| NSAIDS | 12 (17.6) |
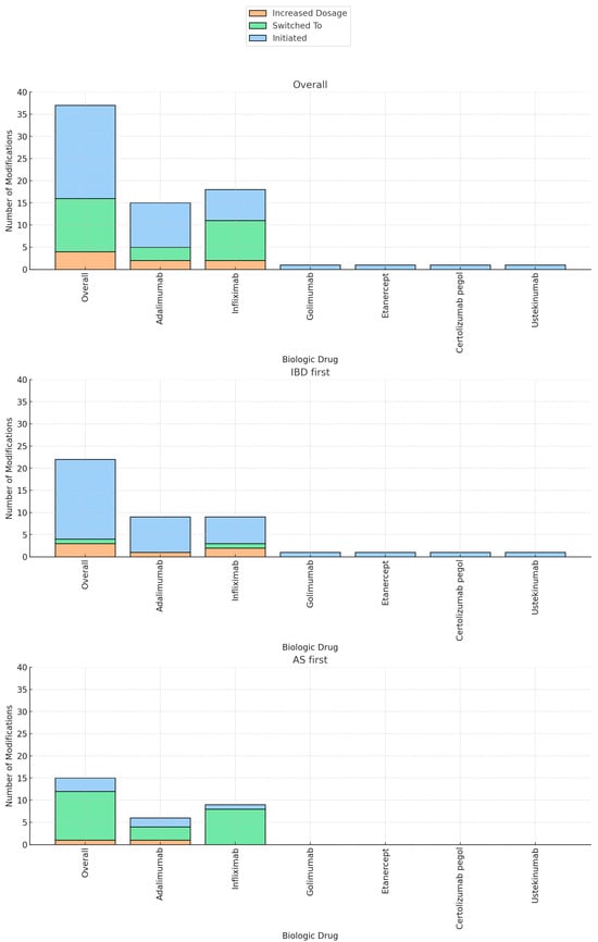
| Treatment modification at time of second diagnosis | 58 (85.3) |
| 5-ASA initiated/increased dosage | 4 (5.9) |
| Immunomodulators (azathioprine/mercaptopurine/MTX) initiated | 6 (9.1) |
| NSAIDS stopped | 11 (16.2) |
| Biologic initiated | 21 (28.4) |
| Biologic switched | 12 (17.6) |
| Biologic increased dosage | 4 (5.9) |
| Cohort Characteristics | IBD First Diagnosis (n = 41) | AS First Diagnosis (n = 27) | p-Value |
|---|---|---|---|
| Male gender | 24 (58.5) | 16 (59.3) | 0.57 |
| Age, years | 43.0 (35–56) | 36.0 (25–48) | 0.04 |
| Smoking, current or former | 15 (36.5) | 7 (25.9) | 0.50 |
| Age at IBD diagnosis, years | 27.5 (19.2–39.0) | 27.0 (22.0–39.0) | 0.79 |
| Interval between the two diagnoses, years | 6.0 (2.0–11.5) | 3.0 (1.0–6.0) | 0.03 |
| CD | 28 (68.3) | 25 (92.6) | 0.02 |
| CD extent, n (% of CD patients) | 0.28 | ||
| L1 (ileal) | 16 (57.1) | 17 (68.0) | |
| L2 (colonic) | 5 (17.9) | 1 (4.0) | |
| L3 (ileo-colonic) | 7 (25) | 7 (28.0) | |
| Perianal disease | 6 (21.4) | 1 (4.0) | 0.10 |
| CD phenotype, n (% of CD patients) | 0.25 | ||
| B1 (non-structuring non-penetrating) | 20 (71.4) | 22 (88.0) | |
| B2 (structuring) | 5 (17.9) | 1 (4.0) | |
| B3 (penetrating) | 3 (10.7) | 2 (8.0) | |
| UC extent, n (% of UC patients) | 0.25 | ||
| E1 (proctitis) | 1 (2.4) | 1 (3.7) | |
| E2 (left-sided) | 5 (12.2) | 0 | |
| E3 (extensive) | 7 (17.1) | 1 (3.7) | |
| Clinical extraintestinal manifestation | |||
| Psoriasis | 2 (4.9) | 1 (3.7) | 0.81 |
| Uveitis | 4 (9.8) | 3 (11.1) | 0.85 |
| Peripheral arthritis | 5 (12.2) | 11 (40.7) | 0.78 |
| CRP at time of second diagnosis | 14.5 (7–37.5) | 22.6 (11.3–66) | 0.48 |
| IBD activity at time of second diagnosis | 0.09 | ||
| Low | 20 (48.8) | 3 (11.1) | |
| Moderate | 13 (31.7) | 12 (44.4) | |
| High Very high | 8 (19.5) 0 | 11 (40.7) 1(3.7) | |
| HBI at time of second diagnosis | 5.0 (2.0–7.0) | 2.0 (1.0–6.0) | 0.23 |
| SCCAI at time of second diagnosis | 7.0 (5.0–8.0) | 5.5 (4.3–6.8) | 0.22 |
| AS activity at time of second diagnosis | <0.01 | ||
| Low | 0 (0) | 5 (18.5) | |
| Moderate | 11 (26.8) | 16 (59.3) | |
| High | 30 (73.2) | 6 (22.2) | |
| Previous biologic therapy | 9 (22).0 | 8 (29.6) | 0.57 |
| Ongoing treatment during second diagnosis | |||
| Biologic regimen | 12 (29.3) | 14 (51.9) | 0.07 |
| Current corticosteroids therapy | 3 (7.3) | 3 (11.1) | 0.67 |
| Current 5-ASA therapy | 14 (34.1) | 0 (0) | N/A |
| Current immunomodulatory therapy (azathioprine/mercaptopurine/MTX) | 7 (17.0) | 1 (3.7) | N/A |
| Current NSAIDS therapy | 0 (0) | 12 (44.4) | N/A |
| Treatment modification at time of second diagnosis | 32 (78) | 26 (96.3) | 0.04 |
| 5-ASA initiated/increased dosage | 3 (7.3) | 1 (3.7) | 0.48 |
| Immunomodulators (azathioprine/mercaptopurine/MTX) initiated | 3 (7.7) | 3 (11.1) | 0.64 |
| NSAIDS stopped | 0 | 11 (40.7) | <0.01 |
| Biologic initiated | 18 (43.9%) | 3 (11.1%) | <0.01 |
| Biologic switched | 1 (2.4) | 11 (40.7) | <0.01 |
| Biologic increased dosage | 3 (7.3) | 1 (3.7) | 1.0 |
| Characteristics (n = 68) | Patients with Biologic Initiation/Switch/Increased Dosage (n = 37) | Patients without Biologic Treatment Modification (n = 31) | p-Value |
|---|---|---|---|
| Male gender | 27 (73) | 13 (42) | 0.01 |
| Age, years | 39 (28–47) | 43 (33–57) | 0.48 |
| Smoking, current or former | 9 (24.3) | 13 (42) | 0.64 |
| Age at IBD diagnosis, years | 27 (22–36) | 33 (22–50) | 0.1 |
| Interval between the two diagnoses, years | 5 (2–11) | 3 (1–11) | 0.62 |
| CD | 28 (75.7) | 25 (80.6) | 0.77 |
| CD extent, n (% of CD patients) | 0.67 | ||
| L1 (ileal) | 16 (57.1) | 17 (68.0) | |
| L2 (colonic) | 4 (14.3) | 2 (8.0) | |
| L3 (ileo-colonic) | 8 (28.6) | 6 (24.0) | |
| CD perianal disease, n (% of CD patients) | 6 (21.4) | 1(4.0) | 0.1 |
| CD phenotype, n (% of CD patients) | 0.3 | ||
| B1 (non-structuring non-penetrating) | 22 (78.6) | 20 (80.0) | |
| B2 (structuring) | 2 (7.1) | 4 (16.0) | |
| B3 (penetrating) | 4 (14.3) | 1 (4.0) | |
| UC extent, n (% of UC patients) | 0.05 | ||
| E1 (proctitis) | 0 | 2 (33.3) | |
| E2 (left-sided) | 4 (44.4) | 1 (16.7) | |
| E3 (extensive) | 5 (55.6) | 3 (50.0) | |
| Clinical extraintestinal manifestation | |||
| Psoriasis | 3 (8.1) | 0 | 0.245 |
| Uveitis | 4 (10.8) | 3 (9.7) | 1.0 |
| Peripheral arthritis | 11 (29.7) | 5 (16.1) | 0.23 |
| CRP at time of second diagnosis | 14.5 (5–42) | 29.0 (10–70) | 0.58 |
| IBD activity at time of second diagnosis | 0.46 | ||
| Low | 10 (27.0) | 13 (41.9) | |
| Moderate | 14 (37.8) | 11 (35.5) | |
| High | 12 (32.4) | 7 (22.6) | |
| Very high | 1 (2.7) | 0 | |
| AS activity at time of second diagnosis | 0.92 | ||
| Low | 3 (8.1) | 2 (6.5) | |
| Moderate | 14 (37.8) | 13 (41.9) | |
| High | 20 (54.1) | 16 (51.6) | |
| Previous biologic therapy | 8 (11.8) | 9 (13.2) | 0.37 |
| Ongoing treatment during second diagnosis | |||
| Biologic regimen | 16 (43.2) | 10 (32.3) | 0.45 |
| Corticosteroids | 4 (10.8) | 3 (9.6) | 0.68 |
| 5-ASA | 6 (16.2) | 8 (25.8) | 0.33 |
| Immunomodulators (azathioprine/mercaptopurine/MTX) | 4 (10.8) | 3 (9.6) | 0.67 |
| NSAIDS | 5 (13.5) | 7 (22.6) | 0.26 |
| IBD Improvement at 3-Month Follow-Up Visit | AS Improvement at 3-Month Follow-Up Visit | Either IBD or AS Improvement at 3-Month Follow-Up Visit | |||||||
|---|---|---|---|---|---|---|---|---|---|
| n/N (%) in patients with biologic treatment modification (initiation/switch/increased dosage) | n/N (%) in patients without biologic treatment modification | p-value | n/N (%) in patients with biologic treatment modification (initiation/switch/increased dosage) | n/N (%) in patients without biologic treatment modification | p-value | n/N (%) in patients with biologic treatment modification (initiation/switch/increased dosage) | n/N (%) in patients without biologic treatment modification | p-value | |
| IBD first then AS (n = 41) | 8/22 (36.4%) | 0/19 (0.0%) | 0.003 | 13/22 (59.1%) | 6/19 (31.6%) | 0.078 | 16/22 (72.7%) | 6/19 (31.6%) | 0.008 |
| AS first then IBD (n = 27) | 8/15 (53.3%) | 3/12 (25.0%) | 0.137 | 4/15 (26.7%) | 2/12 (16.7%) | 0.535 | 9/15 (60.0%) | 4/12 (33.3%) | 0.168 |
| Overall (n = 68) | 16/37 (43.2%) | 3/31 (9.7%) | 0.002 | 17/37 (45.9%) | 8/31 (25.8%) | 0.086 | 25/37 (67.6%) | 10/31 (32.3%) | 0.004 |
| Univariate | Multivariate | |||||
|---|---|---|---|---|---|---|
| Characteristic | Odds Ratio | 95% Confidence Interval | p-Value | Odds Ratio | 95% Confidence Interval | p-Value |
| Male gender | 1.8 | 0.68–4.79 | 0.236 | |||
| Smoking | 1.58 | 0.57–4.40 | 0.386 | |||
| Interval between the two diagnoses (cut-off = 4 years) | 1.11 | 0.42–2.91 | 0.839 | |||
| CD vs. UC | 1.81 | 0.57–5.82 | 0.317 | |||
| IBD vs. AS first diagnosis | 1.25 | 0.47–3.29 | 0.657 | |||
| Treatment was changed at time of second diagnosis | 1.07 | 0.28–4.10 | 0.92 | |||
| Biologic treatment modification (initiation/switch/increased dosage) | 4.38 | 1.58–12.14 | 0.005 | 3.69 | 1.08–12.58 | 0.037 |
| Current biologic treatment | 3.14 | 1.02–9.65 | 0.046 | 1.27 | 0.32–5.130 | 0.736 |
| Current corticosteroids treatment | 2 | 0.72–5.53 | 0.182 | |||
| IBD severity at time of second diagnosis | 3 | 0.99–9.13 | 0.053 | 2.64 | 0.80–8.650 | 0.108 |
| AS severity at time of second diagnosis | 1.12 | 0.43–2.89 | 0.819 | |||
Disclaimer/Publisher’s Note: The statements, opinions and data contained in all publications are solely those of the individual author(s) and contributor(s) and not of MDPI and/or the editor(s). MDPI and/or the editor(s) disclaim responsibility for any injury to people or property resulting from any ideas, methods, instructions or products referred to in the content. |
© 2023 by the authors. Licensee MDPI, Basel, Switzerland. This article is an open access article distributed under the terms and conditions of the Creative Commons Attribution (CC BY) license (https://creativecommons.org/licenses/by/4.0/).
Share and Cite
Savin, E.; Ben-Shabat, N.; Levartovsky, A.; Lahat, A.; Omar, M.; Gendelman, O.; Lidar, M.; Watad, A.; Ben-Horin, S.; Kopylov, U.; et al. Biologic Treatment Modification Efficacy in Concurrent Inflammatory Bowel Disease and Ankylosing Spondylitis: A Retrospective Cohort Study at a Single Tertiary Center. J. Clin. Med. 2023, 12, 7151. https://doi.org/10.3390/jcm12227151
Savin E, Ben-Shabat N, Levartovsky A, Lahat A, Omar M, Gendelman O, Lidar M, Watad A, Ben-Horin S, Kopylov U, et al. Biologic Treatment Modification Efficacy in Concurrent Inflammatory Bowel Disease and Ankylosing Spondylitis: A Retrospective Cohort Study at a Single Tertiary Center. Journal of Clinical Medicine. 2023; 12(22):7151. https://doi.org/10.3390/jcm12227151
Chicago/Turabian StyleSavin, Einat, Niv Ben-Shabat, Asaf Levartovsky, Adi Lahat, Mahmud Omar, Omer Gendelman, Merav Lidar, Abdulla Watad, Shomron Ben-Horin, Uri Kopylov, and et al. 2023. "Biologic Treatment Modification Efficacy in Concurrent Inflammatory Bowel Disease and Ankylosing Spondylitis: A Retrospective Cohort Study at a Single Tertiary Center" Journal of Clinical Medicine 12, no. 22: 7151. https://doi.org/10.3390/jcm12227151
APA StyleSavin, E., Ben-Shabat, N., Levartovsky, A., Lahat, A., Omar, M., Gendelman, O., Lidar, M., Watad, A., Ben-Horin, S., Kopylov, U., & Sharif, K. (2023). Biologic Treatment Modification Efficacy in Concurrent Inflammatory Bowel Disease and Ankylosing Spondylitis: A Retrospective Cohort Study at a Single Tertiary Center. Journal of Clinical Medicine, 12(22), 7151. https://doi.org/10.3390/jcm12227151

