Effects of Etanercept and Adalimumab on Serum Levels of Cartilage Remodeling Markers in Women with Rheumatoid Arthritis
Abstract
1. Introduction
2. Materials and Methods
2.1. Patients and Samples
2.2. Clinical Assessment of Anti-TNF-α Treatment Response
2.3. Immunoassay of Biochemical Cartilage Markers
2.4. Statistical Analysis
3. Results
3.1. Effects of TNFαI Therapy on Systemic Inflammation and Disease Activity
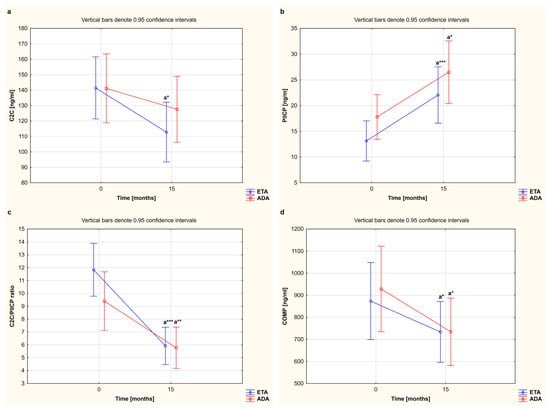
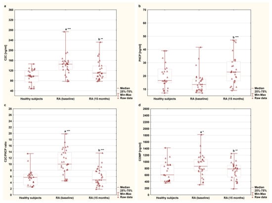
3.2. Effects of TNFαI Therapy on Cartilage Remodeling Markers
3.3. Correlations between Cartilage Remodeling Markers and Demographic Parameters as Well as Clinical and Laboratory Indicators of Disease Activity among Female RA Patients Receiving TNFαI Therapy
3.4. Determination of the Diagnostic Utility of Circulating Markers of Cartilage Turnover for the Evaluation of Anti-TNF-α Therapeutic Response
4. Discussion
4.1. Type II Collagen Biomarkers (C2C, PIICP, and C2C/PIICP Ratios) in Female RA Patients Undergoing TNFαI Therapy and in Healthy Subjects
4.2. MMP-3 as a Marker of Disease Activity and Cartilage Breakdown in Female RA Patients Undergoing TNFαI Therapy and in Healthy Subjects
4.3. COMP as a Non-Collagenous Biomarker of Cartilage Breakdown in Female RA Patients Undergoing TNFαI Therapy and in Healthy Subjects
5. Conclusions
Author Contributions
Funding
Institutional Review Board Statement
Informed Consent Statement
Data Availability Statement
Acknowledgments
Conflicts of Interest
References
- Zamanpoor, M. The genetic pathogenesis, diagnosis and therapeutic insight of rheumatoid arthritis. Clin. Genet. 2019, 95, 547–557. [Google Scholar] [CrossRef]
- Tateiwa, D.; Yoshikawa, H.; Kaito, T. Cartilage and bone destruction in arthritis: Pathogenesis and treatment strategy: A literature review. Cells 2019, 8, 818. [Google Scholar] [CrossRef] [PubMed]
- Fang, Q.; Zhou, C.; Nandakumar, K.S. Molecular and cellular pathways contributing to joint damage in rheumatoid arthritis. Mediat. Inflamm. 2020, 2020, 3830212. [Google Scholar] [CrossRef] [PubMed]
- Livshits, G.; Kalinkovich, A. Hierarchical, imbalanced pro-inflammatory cytokine networks govern the pathogenesis of chronic arthropathies. Osteoarthr. Cartil. 2018, 26, 7–17. [Google Scholar] [CrossRef] [PubMed]
- Elsaid, K.A.; Chichester, C.O. Review: Collagen markers in early arthritic diseases. Clin. Chim. Acta 2006, 365, 68–77. [Google Scholar] [CrossRef]
- Mort, J.S.; Billington, C.J. Articular cartilage and changes in arthritis: Matrix degradation. Arthritis Res. 2001, 3, 337–341. [Google Scholar] [CrossRef]
- Kumavat, R.; Kumar, V.; Malhotra, R.; Pandit, H.; Jones, E.; Ponchel, F.; Biswas, S. Biomarkers of joint damage in osteoarthritis: Current status and future directions. Mediat. Inflamm. 2021, 2021, 5574582. [Google Scholar] [CrossRef]
- Shiomi, T.; Lemaître, V.; D’Armiento, J.; Okada, Y. Matrix metalloproteinases, a disintegrin and metalloproteinases, and a disintegrin and metalloproteinases with thrombospondin motifs in non-neoplastic diseases. Pathol. Int. 2010, 60, 477–496. [Google Scholar] [CrossRef]
- Dénarié, D.; Constant, E.; Thomas, T.; Marotte, H. Could biomarkers of bone, cartilage or synovium turnover be used for relapse prediction in rheumatoid arthritis patients? Mediat. Inflamm. 2014, 2014, 537324. [Google Scholar] [CrossRef]
- Garvican, E.R.; Vaughan-Thomas, A.; Clegg, P.D.; Innes, J.F. Biomarkers of cartilage turnover. Part 2: Non-collagenous markers. Vet. J. 2010, 185, 43–49. [Google Scholar] [CrossRef] [PubMed]
- Rousseau, J.C.; Chapurlat, R.; Garnero, P. Soluble biological markers in osteoarthritis. Ther. Adv. Musculoskelet. Dis. 2021, 13, 1759720X211040300. [Google Scholar] [CrossRef]
- Aydın, E.; Turan, Y. Biochemical markers for osteoarthritis: Is there any promising candidate? Meandros Med. Dent. J. 2016, 17, 27–34. [Google Scholar] [CrossRef]
- Nguyen, L.T.; Sharma, A.R.; Chakraborty, C.; Saibaba, B.; Ahn, M.E.; Lee, S.S. Review of prospects of biological fluid biomarkers in osteoarthritis. Int. J. Mol. Sci. 2017, 18, 601. [Google Scholar] [CrossRef]
- Cipolletta, E.; Mandl, P.; Di Matteo, A.; Mashadi Mirza, R.; Passarini, G.; Grassi, W.; Filippucci, E. Sonographic assessment of cartilage damage at the metacarpal head in rheumatoid arthritis: Qualitative versus quantitative methods. Rheumatology 2022, 61, 1018–1025. [Google Scholar] [CrossRef]
- Hirose, J.; Nishioka, H.; Tsukano, M.; Matsubara, S.; Usuku, K.; Mizuta, H. Matrix changes in articular cartilage in the knee of patients with rheumatoid arthritis after biological therapy: 1-year follow-up evaluation by T2 and T1ρ MRI quantification. Clin. Radiol. 2018, 73, 984.e11–984.e18. [Google Scholar] [CrossRef]
- Behl, T.; Mehta, K.; Sehgal, A.; Singh, S.; Sharma, N.; Ahmadi, A.; Arora, S.; Bungau, S. Exploring the role of polyphenols in rheumatoid arthritis. Crit. Rev. Food. Sci. Nutr. 2022, 62, 5372–5393. [Google Scholar] [CrossRef] [PubMed]
- Bungau, S.G.; Behl, T.; Singh, A.; Sehgal, A.; Singh, S.; Chigurupati, S.; Vijayabalan, S.; Das, S.; Palanimuthu, V.R. Targeting probiotics in rheumatoid arthritis. Nutrients 2021, 13, 3376. [Google Scholar] [CrossRef]
- Ascef, B.O.; Almeida, M.O.; Medeiros-Ribeiro, A.C.; Oliveira de Andrade, D.C.; Oliveira Junior, H.A.; de Soárez, P.C. Therapeutic equivalence of biosimilar and reference biologic drugs in rheumatoid arthritis: A systematic review and meta-analysis. JAMA Netw. Open 2023, 6, e2315872. [Google Scholar] [CrossRef]
- Graudal, N.; Kaas-Hansen, B.S.; Guski, L.; Hubeck-Graudal, T.; Welton, N.J.; Jürgens, G. Different original and biosimilar TNF inhibitors similarly reduce joint destruction in rheumatoid arthritis-a network meta-analysis of 36 randomized controlled trials. Int. J. Mol. Sci. 2019, 20, 4350. [Google Scholar] [CrossRef] [PubMed]
- Kawai, V.K.; Stein, C.M.; Perrien, D.S.; Griffin, M.R. Effects of anti-tumor necrosis factor α agents on bone. Curr. Opin. Rheumatol. 2012, 24, 576–585. [Google Scholar] [CrossRef]
- Chisari, E.; Yaghmour, K.M.; Khan, W.S. The effects of TNF-alpha inhibition on cartilage: A systematic review of preclinical studies. Osteoarthr. Cartil. 2020, 28, 708–718. [Google Scholar] [CrossRef]
- Arnett, F.C.; Edworthy, S.M.; Bloch, D.A.; McShane, D.J.; Fries, J.F.; Cooper, N.S.; Healey, L.A.; Kaplan, S.R.; Liang, M.H.; Luthra, H.S. The American rheumatism association 1987 revised criteria for the classification of rheumatoid arthritis. Arthritis Rheum. 1988, 31, 315–324. [Google Scholar] [CrossRef]
- Aletaha, D.; Neogi, T.; Silman, A.J.; Funovits, J.; Felson, D.T.; Bingham, C.O., 3rd; Birnbaum, N.S.; Burmester, G.R.; Bykerk, V.P.; Cohen, M.D.; et al. 2010 rheumatoid arthritis classification criteria: An American college of rheumatology/European league against rheumatism collaborative initiative. Ann. Rheum. Dis. 2010, 69, 1580–1588. [Google Scholar] [CrossRef]
- Jura-Półtorak, A.; Szeremeta, A.; Olczyk, K.; Zoń-Giebel, A.; Komosińska-Vassev, K. Bone metabolism and RANKL/OPG ratio in rheumatoid arthritis women treated with TNF-α Inhibitors. J. Clin Med. 2021, 10, 2905. [Google Scholar] [CrossRef]
- Szeremeta, A.; Jura-Półtorak, A.; Zoń-Giebel, A.; Kopeć-Mędrek, M.; Kucharz, E.J.; Olczyk, K. Aggrecan turnover in women with rheumatoid arthritis treated with TNF-α inhibitors. J. Clin. Med. 2020, 9, 1377. [Google Scholar] [CrossRef]
- Fransen, J.; van Riel, P.L. The disease activity score and the EULAR response criteria. Rheum. Dis. Clin. N. Am. 2009, 35, 745–757. [Google Scholar] [CrossRef]
- Yasuda, T. Cartilage destruction by matrix degradation products. Mod. Rheumatol. 2006, 16, 197–205. [Google Scholar] [CrossRef]
- Fraser, A.; Fearon, U.; Billinghurst, R.C.; Ionescu, M.; Reece, R.; Barwick, T.; Emery, P.; Poole, A.R.; Veale, D.J. Turnover of type II collagen and aggrecan in cartilage matrix at the onset of inflammatory arthritis in humans: Relationship to mediators of systemic and local inflammation. Arthritis Rheum. 2003, 48, 3085–3095. [Google Scholar] [CrossRef]
- Poole, A.R.; Ionescu, M.; Fitzcharles, M.A.; Billinghurst, R.C. The assessment of cartilage degradation in vivo: Development of an immunoassay for the measurement in body fluids of type II collagen cleaved by collagenases. J. Immunol. Methods 2004, 294, 145–153. [Google Scholar] [CrossRef]
- Verstappen, S.M.; Poole, A.R.; Ionescu, M.; King, L.E.; Abrahamowicz, M.; Hofman, D.M.; Bijlsma, J.W.; Lafeber, F.P. Utrecht Rheumatoid Arthritis Cohort Study group (SRU). Radiographic joint damage in rheumatoid arthritis is associated with differences in cartilage turnover and can be predicted by serum biomarkers: An evaluation from 1 to 4 years after diagnosis. Arthritis Res. Ther. 2006, 8, R31. [Google Scholar] [CrossRef]
- Mullan, R.H.; Matthews, C.; Bresnihan, B.; FitzGerald, O.; King, L.; Poole, A.R.; Fearon, U.; Veale, D.J. Early changes in serum type II collagen biomarkers predict radiographic progression at one year in inflammatory arthritis patients after biologic therapy. Arthritis Rheum. 2007, 56, 2919–2928. [Google Scholar] [CrossRef]
- Sugiyama, S.; Itokazu, M.; Suzuki, Y.; Shimizu, K. Procollagen II C propeptide level in the synovial fluid as a predictor of radiographic progression in early knee osteoarthritis. Ann. Rheum. Dis. 2003, 62, 27–32. [Google Scholar] [CrossRef]
- Kopeć-Mędrek, M.; Kucharz, E.J. Fibulin-3 and other cartilage metabolism biomarkers in relationship to calprotectin (MRP8/14) and disease activity in rheumatoid arthritis patients treated with anti-TNF therapy. Adv. Clin. Exp. Med. 2018, 27, 383–389. [Google Scholar] [CrossRef]
- Nelson, F.; Dahlberg, L.; Laverty, S.; Reiner, A.; Pidoux, I.; Ionescu, M.; Fraser, G.L.; Brooks, E.; Tanzer, M.; Rosenberg, L.C.; et al. Evidence for altered synthesis of type II collagen in patients with osteoarthritis. J. Clin. Investig. 1998, 102, 2115–2125. [Google Scholar] [CrossRef]
- Månsson, B.; Carey, D.; Alini, M.; Ionescu, M.; Rosenberg, L.C.; Poole, A.R.; Heinegård, D.; Saxne, T. Cartilage and bone metabolism in rheumatoid arthritis. Differences between rapid and slow progression of disease identified by serum markers of cartilage metabolism. J. Clin. Investig. 1995, 95, 1071–1077. [Google Scholar] [CrossRef]
- Niki, Y.; Takeuchi, T.; Nakayama, M.; Nagasawa, H.; Kurasawa, T.; Yamada, H.; Toyama, Y.; Miyamoto, T. Clinical significance of cartilage biomarkers for monitoring structural joint damage in rheumatoid arthritis patients treated with anti-TNF therapy. PLoS ONE 2012, 7, e37447. [Google Scholar] [CrossRef]
- Kawashiri, S.Y.; Kawakami, A.; Ueki, Y.; Imazato, T.; Iwamoto, N.; Fujikawa, K.; Aramaki, T.; Tamai, M.; Nakamura, H.; Origuchi, T.; et al. Decrement of serum cartilage oligomeric matrix protein (COMP) in rheumatoid arthritis (RA) patients achieving remission after 6 months of etanercept treatment: Comparison with CRP, IgM-RF, MMP-3 and anti-CCP Ab. Jt. Bone Spine 2010, 77, 418–420. [Google Scholar] [CrossRef][Green Version]
- den Broeder, A.A.; Joosten, L.A.; Saxne, T.; Heinegård, D.; Fenner, H.; Miltenburg, A.M.; Frasa, W.L.; van Tits, L.J.; Buurman, W.A.; van Riel, P.L.; et al. Long term anti-tumour necrosis factor alpha monotherapy in rheumatoid arthritis: Effect on radiological course and prognostic value of markers of cartilage turnover and endothelial activation. Ann. Rheum. Dis. 2002, 61, 311–318. [Google Scholar] [CrossRef]
- Briot, K.; Roux, C.; Gossec, L.; Charni, N.; Kolta, S.; Dougados, M.; Garnero, P. Effects of etanercept on serum biochemical markers of cartilage metabolism in patients with spondyloarthropathy. J. Rheumatol. 2008, 35, 310–314. [Google Scholar]
- Hussein, R.; Aboukhamis, I. Serum matrix metalloproteinase-3 levels monitor the therapeutic efficacy in Syrian patients with rheumatoid arthritis. Heliyon 2023, 9, e14008. [Google Scholar] [CrossRef]
- Hattori, Y.; Kojima, T.; Kaneko, A.; Kida, D.; Hirano, Y.; Fujibayashi, T.; Yabe, Y.; Oguchi, T.; Kanayama, Y.; Miyake, H.; et al. High rate of improvement in serum matrix metalloproteinase-3 levels at 4 weeks predicts remission at 52 weeks in RA patients treated with adalimumab. Mod. Rheumatol. 2018, 28, 119–125. [Google Scholar] [CrossRef]
- Sun, S.; Bay-Jensen, A.C.; Karsdal, M.A.; Siebuhr, A.S.; Zheng, Q.; Maksymowych, W.P.; Christiansen, T.G.; Henriksen, K. The active form of MMP-3 is a marker of synovial inflammation and cartilage turnover in inflammatory joint diseases. BMC Musculoskelet. Disord. 2014, 15, 93. [Google Scholar] [CrossRef]
- Klimiuk, P.A.; Sierakowski, S.; Domyslawska, I.; Chwiecko, J. Effect of repeated infliximab therapy on serum matrix metalloproteinases and tissue inhibitors of metalloproteinases in patients with rheumatoid arthritis. J. Rheumatol. 2004, 31, 238–242. [Google Scholar]
- Catrina, A.I.; Lampa, J.; Ernestam, S.; af Klint, E.; Bratt, J.; Klareskog, L.; Ulfgren, A.K. Anti-tumour necrosis factor (TNF)-alpha therapy (etanercept) down-regulates serum matrix metalloproteinase (MMP)-3 and MMP-1 in rheumatoid arthritis. Rheumatology 2002, 41, 484–489. [Google Scholar] [CrossRef]
- Brennan, F.M.; Browne, K.A.; Green, P.A.; Jaspar, J.M.; Maini, R.N.; Feldmann, M. Reduction of serum matrix metalloproteinase 1 and matrix metalloproteinase 3 in rheumatoid arthritis patients following anti-tumour necrosis factor-alpha (cA2) therapy. Br. J. Rheumatol. 1997, 36, 643–650. [Google Scholar] [CrossRef]
- Szeremeta, A.; Jura-Półtorak, A.; Zoń-Giebel, A.; Olczyk, K.; Komosińska-Vassev, K. TNF-α inhibitors in combination with MTX reduce circulating levels of heparan sulfate/heparin and endothelial dysfunction biomarkers (sVCAM-1, MCP-1, MMP-9 and ADMA) in women with rheumatoid arthritis. J. Clin Med. 2022, 11, 4213. [Google Scholar] [CrossRef]
- Zwerina, J.; Hayer, S.; Tohidast-Akrad, M.; Bergmeister, H.; Redlich, K.; Feige, U.; Dunstan, C.; Kollias, G.; Steiner, G.; Smolen, J.; et al. Single and combined inhibition of tumor necrosis factor, interleukin-1, and RANKL pathways in tumor necrosis factor-induced arthritis: Effects on synovial inflammation, bone erosion, and cartilage destruction. Arthritis Rheum. 2004, 50, 277–290. [Google Scholar] [CrossRef]
- Kanbe, K.; Chiba, J.; Nakamura, A. Decrease of CD68 and MMP-3 expression in synovium by treatment of adalimumab for rheumatoid arthritis. Int. J. Rheum. Dis. 2011, 14, 261–266. [Google Scholar] [CrossRef]
- Manka, S.W.; Bihan, D.; Farndale, R.W. Structural studies of the MMP-3 interaction with triple-helical collagen introduce new roles for the enzyme in tissue remodelling. Sci. Rep. 2019, 9, 18785. [Google Scholar] [CrossRef]
- Ma, J.D.; Wei, X.N.; Zheng, D.H.; Mo, Y.Q.; Chen, L.F.; Zhang, X.; Li, J.H.; Dai, L. Continuously elevated serum matrix metalloproteinase-3 for 3 ~ 6 months predict one-year radiographic progression in rheumatoid arthritis: A prospective cohort study. Arthritis Res. Ther. 2015, 17, 289. [Google Scholar] [CrossRef]
- Ali, H.H.; Yaseen, M.M.; AL-Rawi, K.F.; Alaaraji, S.F.T.; Al-Hakeim, H.K. Inflammatory and bone biomarkers/composites as a predictive tool for clinical characteristics of rheumatoid arthritis patients. Acta Biol. Szeged. 2022, 65, 271–283. [Google Scholar] [CrossRef]
- Tuncer, T.; Kaya, A.; Gulkesen, A.; Kal, G.A.; Kaman, D.; Akgol, G. Matrix metalloproteinase-3 levels in relation to disease activity and radiological progression in rheumatoid arthritis. Adv. Clin. Exp. Med. 2019, 28, 665–670. [Google Scholar] [CrossRef]
- Prodanovic, S.Z.; Radunovic, G.; Babic, D.; Ristic, B.; Sefik-Bukilica, M.; Zlatanovic, M.; Simic-Pasalic, K.; Seric, S.; Vujasinovic-Stupar, N.; Samardzic, J.; et al. Matrix metalloproteinases-3 baseline serum levels in early rheumatoid arthritis patients without initial radiographic changes: A two-year ultrasonographic study. Med. Princ. Pract. 2018, 27, 378–386. [Google Scholar] [CrossRef]
- Fadda, S.; Abolkheir, E.; Afifi, R.; Gamal, M. Serum matrix metalloproteinase-3 in rheumatoid arthritis patients: Correlation with disease activity and joint destruction. Egypt. Rheumatol. 2016, 38, 153–159. [Google Scholar] [CrossRef]
- Lerner, A.; Neidhöfer, S.; Reuter, S.; Matthias, T. MMP3 is a reliable marker for disease activity, radiological monitoring, disease outcome predictability, and therapeutic response in rheumatoid arthritis. Best Pract. Res. Clin. Rheumatol. 2018, 32, 550–562. [Google Scholar] [CrossRef]
- Posthumus, M.D.; Limburg, P.C.; Westra, J.; Cats, H.A.; Stewart, R.E.; van Leeuwen, M.A.; van Rijswijk, M.H. Serum levels of matrix metalloproteinase-3 in relation to the development of radiological damage in patients with early rheumatoid arthritis. Rheumatology 1999, 38, 1081–1087. [Google Scholar] [CrossRef][Green Version]
- Ribbens, C.; Martin y Porras, M.; Franchimont, N.; Kaiser, M.J.; Jaspar, J.M.; Damas, P.; Houssiau, F.A.; Malaise, M.G. Increased matrix metalloproteinase-3 serum levels in rheumatic diseases: Relationship with synovitis and steroid treatment. Ann. Rheum. Dis. 2002, 61, 161–166. [Google Scholar] [CrossRef]
- Natoli, A.K.; Medley, T.L.; Ahimastos, A.A.; Drew, B.G.; Thearle, D.J.; Dilley, R.J.; Kingwell, B.A. Sex steroids modulate human aortic smooth muscle cell matrix protein deposition and matrix metalloproteinase expression. Hypertension 2005, 46, 1129–1134. [Google Scholar] [CrossRef]
- Cui, J.; Zhang, J. Cartilage Oligomeric Matrix Protein, Diseases, and Therapeutic Opportunities. Int. J. Mol. Sci. 2022, 23, 9253. [Google Scholar] [CrossRef]
- Koelling, S.; Clauditz, T.S.; Kaste, M.; Miosge, N. Cartilage oligomeric matrix protein is involved in human limb development and in the pathogenesis of osteoarthritis. Arthritis Res. Ther. 2006, 8, R56. [Google Scholar] [CrossRef]
- Acharya, C.; Yik, J.H.; Kishore, A.; Van Dinh, V.; Di Cesare, P.E.; Haudenschild, D.R. Cartilage oligomeric matrix protein and its binding partners in the cartilage extracellular matrix: Interaction, regulation and role in chondrogenesis. Matrix Biol. 2014, 37, 102–111. [Google Scholar] [CrossRef]
- Wisłowska, M.; Jabłońska, B. Serum cartilage oligomeric matrix protein (COMP) in rheumatoid arthritis and knee osteoarthritis. Clin. Rheumatol. 2005, 24, 278–284. [Google Scholar] [CrossRef]
- Saghafi, M.; Khodashahi, M.; Saadati, N.; Azarian, A.; Rezaieyazdi, Z.; Salehi, M.; Sahebari, M. Relationship between cartilage oligomeric matrix protein (COMP) and rheumatoid arthritis severity. Electron. Physician 2017, 9, 5940–5947. [Google Scholar] [CrossRef]
- Tseng, S.; Reddi, A.H.; Di Cesare, P.E. Cartilage oligomeric matrix protein (COMP): A biomarker of arthritis. Biomark. Insights 2009, 4, 33–44. [Google Scholar] [CrossRef]
- Andersson, M.L.; Svensson, B.; Petersson, I.F.; Hafström, I.; Albertsson, K.; Forslind, K.; Heinegård, D.; Saxne, T. Early increase in serum-COMP is associated with joint damage progression over the first five years in patients with rheumatoid arthritis. BMC Musculoskelet. Disord. 2013, 14, 229. [Google Scholar] [CrossRef]
- Sakthiswary, R.; Rajalingam, S.; Hussein, H.; Sridharan, R.; Asrul, A.W. Cartilage oligomeric matrix protein (COMP) in rheumatoid arthritis and its correlation with sonographic knee cartilage thickness and disease activity. Clin. Rheumatol. 2017, 36, 2683–2688. [Google Scholar] [CrossRef]
- Liu, F.; Wang, X.; Zhang, X.; Ren, C.; Xin, J. Role of serum cartilage oligomeric matrix protein (COMP) in the diagnosis of rheumatoid arthritis (RA): A case-control study. J. Int. Med. Res. 2016, 44, 940–949. [Google Scholar] [CrossRef]
- Crnkic, M.; Månsson, B.; Larsson, L.; Geborek, P.; Heinegård, D.; Saxne, T. Serum cartilage oligomeric matrix protein (COMP) decreases in rheumatoid arthritis patients treated with infliximab or etanercept. Arthritis Res. Ther. 2003, 5, R181–R185. [Google Scholar] [CrossRef]
- Hjeltnes, G.; Hollan, I.; Førre, Ø.; Wiik, A.; Lyberg, T.; Mikkelsen, K.; Agewall, S. Relations of serum COMP to cardiovascular risk factors and endothelial function in patients with rheumatoid arthritis treated with methotrexate and TNF-α inhibitors. J. Rheumatol. 2012, 39, 1341–1347. [Google Scholar] [CrossRef]
- Morozzi, G.; Fabbroni, M.; Bellisai, F.; Cucini, S.; Simpatico, A.; Galeazzi, M. Low serum level of COMP, a cartilage turnover marker, predicts rapid and high ACR70 response to adalimumab therapy in rheumatoid arthritis. Clin. Rheumatol. 2007, 26, 1335–1338. [Google Scholar] [CrossRef]
- Idriss, N.K.; Gamal, R.M.; Gaber, M.A.; El-Hakeim, E.H.; Hammam, N.; Ghandour, A.M.; Abdelaziz, M.M.; Goma, S.H. Joint remodeling outcome of serum levels of Dickkopf-1 (DKK1), cartilage oligomeric matrix protein (COMP), and C-telopeptide of type II collagen (CTXII) in rheumatoid arthritis. Cent. Eur. J. Immunol. 2020, 45, 73–79. [Google Scholar] [CrossRef]






| Before TNFαI Therapy and after Starting TNFαI Therapy | ||||
|---|---|---|---|---|
| T0 (Baseline) | T1 (3 Months) | T2 (9 Months) | T3 (15 Months) | |
| The demographic variables | ||||
| Women with RA, n (%) | 29 (100) | |||
| Premenopausal females, n (%) | 16 (55.17) | |||
| Postmenopausal females, n (%) | 13 (44.83) | |||
| Age [years], mean (SD) | 46.72 (12.03) | |||
| Disease duration [years], Me (IQR) | 5 (3–10) | |||
| RF-positive [n], (%) | 26 (89.66) | |||
| Anti-CCP-positive [n], (%) | 24 (82.76) | |||
| The anthropometric variables | ||||
| Growth [cm], mean (SD) | 164.03 (6.76) | |||
| Weight [kg], Me (IQR) | 64.00 (59.00–70.00) | |||
| BMI [kg/m2], Me (IQR) | 24.09 (21.09–25.91) | |||
| The clinical variables | ||||
| SJC28 [n], Me (IQR) | 7 (5–10) | 2 (0–3) a | 0 (0–0) a, b | 0 (0–0) a, b, c |
| TJC28 [n], Me (IQR) | 12 (9–16) | 4 (2–7) a | 1 (0–2) a, b | 0 (0–0) a, b, c |
| VAS [0–100 mm], Me (IQR) | 80 (80–80) | 40 (30–50) a | 20 (10–30) a, b | 10 (5–20) a, b, c |
| DAS28-ESR, Me (IQR) | 5.84 (5.68–6.24) | 3.92 (3.08–4.42) a | 2.75 (2.24–3.13) a, b | 2.13 (1.75–2.51) a, b, c |
| The disease activity | ||||
| Disease activity [n], (%) | ||||
| High (>5.1) | 29 (100) | 2 (6.90) | 0 (0) | 0 (0) |
| Moderate (>3.2 and ≤5.1) | 0 (0) | 18 (62.09) | 3 (10.34) | 0 (0) |
| Low (≤3.2 and >2.6) | 0 (0) | 5 (17.24) | 13 (44.83) | 5 (17.24) |
| Remission (≤2.6) | 0 (0) | 4 (13.77) | 13 (44.83) | 24 (82.76) |
| The inflammatory parameters | ||||
| ESR [mm/h], Me (IQR) | 17.0 (11.0–34.0) | 12.0 (9.0–23.0) a | 13.0 (9.0–18.0) a | 12.0 (8.0–16.0) a |
| CRP [mg/L], Me (IQR) | 6.47 (3.10–14.0) | 4.00 (2.0–7.44) | 4.0 (2.0–4.3) a | 4.0 (1.5–5.0) a |
| MMP-3 [ng/mL], Me (IQR) | 36.69 (19.89–49.97) | 16.32 (6.79–19.89) a,* | ||
| The type of TNF-α inhibitor | ||||
| TNFαI therapy [n], (%) | ||||
| Etanercept (Enbrel®) | 16 (55.17) | |||
| Adalimumab (Humira®) | 13 (44.83) | |||
| Type of TNF-α Inhibitor | ||||
|---|---|---|---|---|
| Etanercept | Adalimumab | |||
| T0 (Baseline) | T3 (15 Months) | T0 (Baseline) | T3 (15 Months) | |
| The demographic variables | ||||
| Women with RA, n (%) | 16 (55.17) | 13 (44.83) | ||
| Premenopausal females, n (%) | 8 (50) | 8 (61.54) | ||
| Postmenopausal females, n (%) | 8 (50) | 5 (38.46) | ||
| Age [years], mean (SD) | 44.44 (13.66) | 49.54 (9.42) | ||
| Disease duration [years], Me (IQR) | 5.00 (3.00–11.00) | 3.00 (3.00–9.00) | ||
| RF positive [n], (%) | 14 (87.50) | 12 (92.31) | ||
| Anti-CCP positive [n], (%) | 13 (81.25) | 11 (84.62) | ||
| The anthropometric variables | ||||
| Growth [cm], mean (SD) | 164.56 (7.36) | 163.38 (6.19) | ||
| Weight [kg], mean (SD) or Me (IQR) | 64.50 (58.00–73.80) | 64.38 (10.24) | ||
| BMI [kg/m2], mean (SD) or Me (IQR) | 24.37 (20.69–27.92) | 24.07 (3.27) | ||
| The clinical variables | ||||
| SJC28 [n], mean (SD) or Me (IQR) | 7.31 (4.09) | 0.13 (0.34) a,** | 6.00 (6.00–10.00) | 0 (0–0) a,* |
| TJC28 [n], mean (SD) | 14.00 (5.98) | 0.19 (0.40) a,** | 11.38 (3.55) | 0.46 (1.13) a,** |
| VAS [0–100 mm], mean (SD) or Me (IQR) | 80.00 (77.50–80.00) | 10.00 (2.50–20.00) a,** | 78.85 (11.02) | 14.62 (12.16) a,** |
| DAS28-ESR, mean (SD) | 6.00 (0.48) | 1.99 (0.68) a,** | 5.85 (0.53) | 2.09 (0.58) a,** |
| The disease activity | ||||
| Disease activity [n], (%) | ||||
| High (>5.1) | 16 (100) | 0 (0) | 13 (100) | 0 (0) |
| Moderate (>3.2 and ≤5.1) | 0 (0) | 0 (0) | 0 (0) | 0 (0) |
| Low (≤3.2 and >2.6) | 0 (0) | 3 (18.75) | 0 (0) | 2 (15.38) |
| Remission (≤2.6) | 0 (0) | 13 (81.25) | 0 (0) | 11 (84.62) |
| The inflammatory parameters | ||||
| ESR [mm/h], Me (IQR) | 19.00 (8.00–40.00) | 12.50 (6.00–16.50) a,* | 17.00 (12.00–32.00) | 12.00 (9.00–16.00) a,* |
| CRP [mg/L], Me (IQR) | 6.39 (3.29–10.15) | 4.00 (1.95–5.50) t | 9.80 (3.10–20.00) | 2.00 (1.20–4.10) a,* |
| MMP-3 [ng/mL], mean (SD) or Me (IQR) | 36.07 (15.62–51.62) | 14.93 (6.09–20.18) a,** | 35.81 (20.34) | 17.22 (10.63) a,** |
| Parameter | RA Patients (n = 29) | |||
|---|---|---|---|---|
| T0 (Before TNFαI Therapy) | ||||
| C2C [ng/mL] | PIICP [ng/mL] | C2C/PIICP | COMP [ng/mL] | |
| AGE [years] | r = 0.115; p = 0.552 | r = −0.026; p = 0.895 | r = 0.071; p = 0.714 | r = 0.391; p = 0.036 |
| Disease duration [years] | r = 0.058; p = 0.765 | r = 0.063; p = 0.745 | r = −0.062; p = 0.748 | r = 0.134; p = 0.487 |
| CRP [mg/L] | r = 0.169; p = 0.382 | r = 0.142; p = 0.463 | r = −0.126; p = 0.514 | r = 0.041; p = 0.834 |
| ESR [mm/h] | r = −0.025; p = 0.899 | r = −0.001; p = 0.996 | r = −0.020; p = 0.917 | r = −0.066; p = 0.735 |
| MMP-3 [ng/mL] | r = 0.082; p = 0.673 | r = 0.017; p = 0.931 | r = 0.100; p = 0.620 | r= 0.083; p = 0.670 |
| DAS28-ESR | r = 0.104; p = 0.592 | r = −0.042; p = 0.827 | r = 0.061; p = 0.755 | r = 0.418; p = 0.024 |
| SJC28 [n] | r = −0.270; p = 0.157 | r = 0.032; p = 0.870 | r = −0.191; p = 0.320 | r = 0.364; p = 0.052 |
| TJC28 [n] | r = 0.149; p = 0.440 | r = −0.023; p = 0.906 | r = 0.050; p = 0.800 | r = 0.167; p = 0.387 |
| VAS [0–100 mm] | r = −0.103; p = 0.595 | r = −0.135; p = 0.486 | r = 0.094; p = 0.626 | r = 0.101; p = 0.601 |
| T3 (15 Months After Starting TNFαI Therapy) | ||||
| CRP [mg/L] | r = 0.071; p = 0.714 | r = −0.157; p = 0.417 | r = 0.136; p = 0.483 | r = −0.131; p = 0.500 |
| ESR [mm/h] | r = −0.083; p = 0.669 | r = 0.013; p = 0.947 | r = 0.007; p = 0.971 | r = −0.107; p = 0.580 |
| MMP-3 [ng/mL] | r = −0.051; p = 0.792 | r = 0.066; p = 0.733 | r = −0.072; p = 0.711 | r = 0.020; p = 0.917 |
| DAS28-ESR | r = 0.140; p = 0.469 | r = −0.015; p = 0.938 | r = 0.154; p = 0.425 | r = 0.081; p = 0.675 |
| SJC28 [n] | r = 0.189; p = 0.325 | r = 0.284; p = 0.135 | r = −0.189; p = 0.325 | r = 0.162; p = 0.400 |
| TJC28 [n] | r = 0.220; p = 0.251 | r = 0.001; p = 0.997 | r = 0.209; p = 0.277 | r = 0.143; p = 0.461 |
| VAS [0–100 mm] | r = 0.171; p = 0.375 | r = −0.098; p = 0.615 | r = 0.142; p = 0.463 | r = 0.162; p = 0.400 |
| Parameter | COMP in RA Patients (n = 29) at Baseline (T0) | |
|---|---|---|
| β | p-Value | |
| AGE [years] | 8.01 | 0.101 |
| DAS28-ESR | 287.74 | 0.022 |
| SJC28 [n] | 7.44 | 0.661 |
Disclaimer/Publisher’s Note: The statements, opinions and data contained in all publications are solely those of the individual author(s) and contributor(s) and not of MDPI and/or the editor(s). MDPI and/or the editor(s) disclaim responsibility for any injury to people or property resulting from any ideas, methods, instructions or products referred to in the content. |
© 2023 by the authors. Licensee MDPI, Basel, Switzerland. This article is an open access article distributed under the terms and conditions of the Creative Commons Attribution (CC BY) license (https://creativecommons.org/licenses/by/4.0/).
Share and Cite
Szeremeta, A.; Jura-Półtorak, A.; Zoń-Giebel, A.; Olczyk, K.; Komosińska-Vassev, K. Effects of Etanercept and Adalimumab on Serum Levels of Cartilage Remodeling Markers in Women with Rheumatoid Arthritis. J. Clin. Med. 2023, 12, 5185. https://doi.org/10.3390/jcm12165185
Szeremeta A, Jura-Półtorak A, Zoń-Giebel A, Olczyk K, Komosińska-Vassev K. Effects of Etanercept and Adalimumab on Serum Levels of Cartilage Remodeling Markers in Women with Rheumatoid Arthritis. Journal of Clinical Medicine. 2023; 12(16):5185. https://doi.org/10.3390/jcm12165185
Chicago/Turabian StyleSzeremeta, Anna, Agnieszka Jura-Półtorak, Aleksandra Zoń-Giebel, Krystyna Olczyk, and Katarzyna Komosińska-Vassev. 2023. "Effects of Etanercept and Adalimumab on Serum Levels of Cartilage Remodeling Markers in Women with Rheumatoid Arthritis" Journal of Clinical Medicine 12, no. 16: 5185. https://doi.org/10.3390/jcm12165185
APA StyleSzeremeta, A., Jura-Półtorak, A., Zoń-Giebel, A., Olczyk, K., & Komosińska-Vassev, K. (2023). Effects of Etanercept and Adalimumab on Serum Levels of Cartilage Remodeling Markers in Women with Rheumatoid Arthritis. Journal of Clinical Medicine, 12(16), 5185. https://doi.org/10.3390/jcm12165185

