Cold Plasma Therapy in Chronic Wounds—A Multicenter, Randomized Controlled Clinical Trial (Plasma on Chronic Wounds for Epidermal Regeneration Study): Preliminary Results
Abstract
1. Introduction
2. Materials and Methods
2.1. Study Design
2.2. Patients
2.3. CPT Device
2.4. Statistical Analysis
3. Results
3.1. Baseline Characteristics
3.2. Reduction of Wound Size
3.3. GLS Model Regression for Evaluating Wound Closure
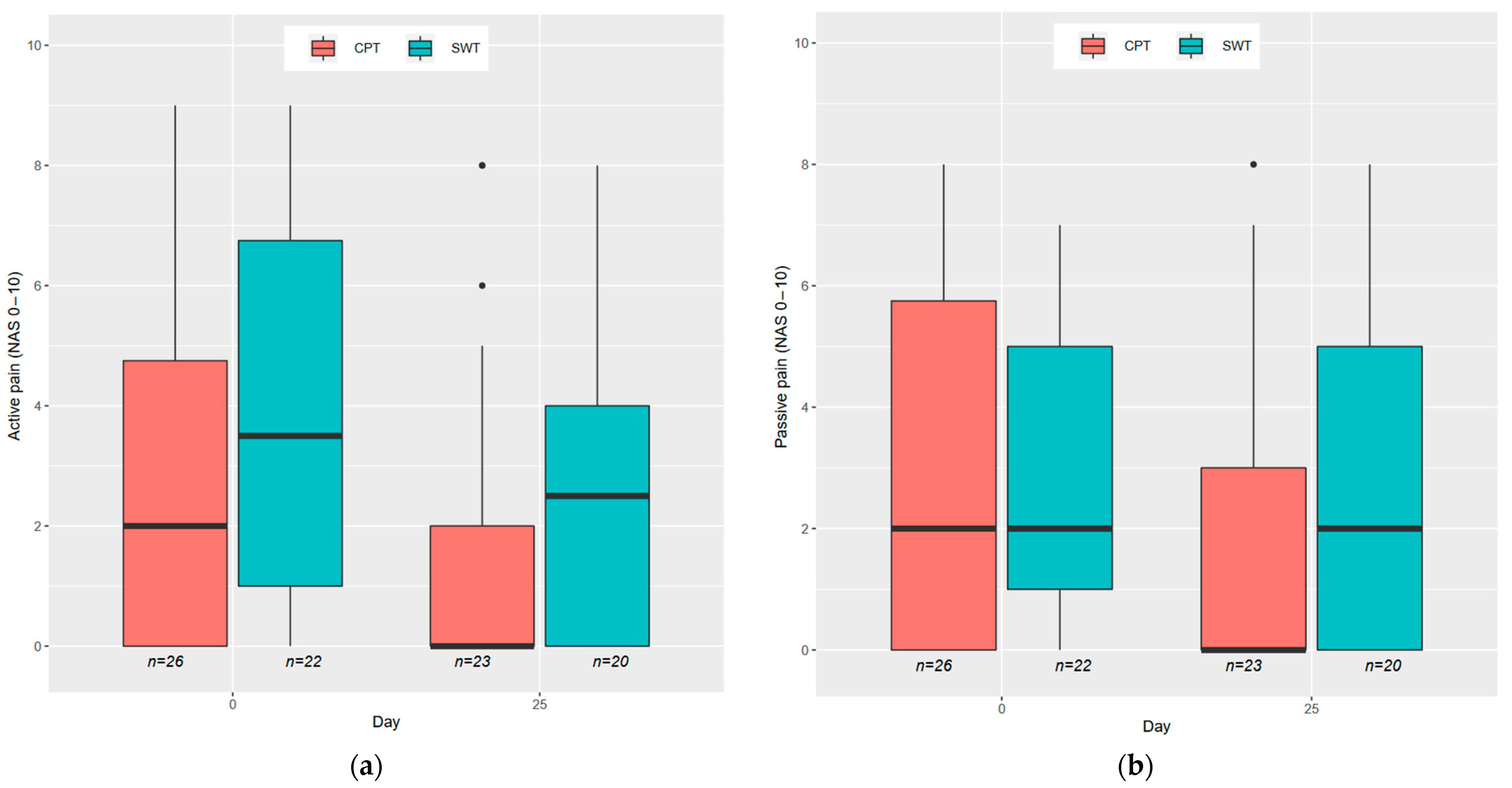
3.4. Ordinal Mixed Model for Evaluating Wound Pain
3.5. Frequency Analysis of Antibiotic Therapies in the Groups
3.6. Quality of Life (QoL)
4. Discussion
5. Conclusions
Supplementary Materials
Author Contributions
Funding
Institutional Review Board Statement
Informed Consent Statement
Data Availability Statement
Acknowledgments
Conflicts of Interest
Appendix A

Appendix B
- -
- Operating voltage: 7 kV
- -
- Operating frequency: 6 kHz
- -
- Operation in pulsed mode: duty cycle 10%
- -
- Plasma power: about 10 W
- -
- Treatment area: 11 cm × 11 cm = 121 cm2
- -
- Treatment time fix: 2 min
- -
- Operating gas for plasma: ambient air
Appendix C
Appendix D
| R syntax |
| Initial model |
| gls(Area ~ treatment * visit + baseline + age + gender + site + diabetes, data = MyData, correlation =corCAR1(form = ~visit | patient )) |
| Final model |
| gls(Area ~ treatment * visit + baseline + age + gender + site + diabetes, data = MyData, correlation =corRatio(nugget=TRUE, form = ~visit | patient ), weights = varPower(form= ~baseline)) |
| Square root model (sensitivity analysis) |
| gls(sqrt(Area) ~ treatment * visit + sqrt(baseline) + age + gender + site + diabetes, data = MyData, correlation =corRatio(nugget=TRUE, form = ~visit | patient )) |
| In R, “treatment * visit” means “treatment * visit + treatment + visit”. |
Appendix E
| Stata syntax |
| meologit pain i.treatment##c.visit pain0 age i.gender i.site i.diabetes ||patient: |
Appendix F

References
- Olsson, M.; Järbrink, K.; Divakar, U.; Bajpai, R.; Upton, Z.; Schmidtchen, A.; Car, J. The humanistic and economic burden of chronic wounds: A systematic review. Wound Repair Regen. Off. Publ. Wound Heal. Soc. Eur. Tissue Repair Soc. 2019, 27, 114–125. [Google Scholar] [CrossRef] [PubMed]
- Martinengo, L.; Olsson, M.; Bajpai, R.; Soljak, M.; Upton, Z.; Schmidtchen, A.; Car, J.; Järbrink, K. Prevalence of chronic wounds in the general population: Systematic review and meta-analysis of observational studies. Ann. Epidemiol. 2019, 29, 8–15. [Google Scholar] [CrossRef] [PubMed]
- Dissemond, J.; Bültemann, A.; Gerber, V.; Jäger, B.; Kröger, K.; Münter, C. Diagnosis and treatment of chronic wounds: Current standards of Germany’s Initiative for Chronic Wounds e. V. J. Wound Care 2017, 26, 727–732. [Google Scholar] [CrossRef] [PubMed]
- Burckhardt, M.; Gregor, S.; Kleijnen, J.; Köpke, S.; Kopp, I.; Maier-Hasselmann, A.; Meyer, G.; Misso, K.; Nink-Grebe, B.; Rüttermann, M. Leitlinienreport. S3-Leitlinie Lokaltherapie Chronischer Wunden Bei Patienten MIT Den Risiken Periphere Arterielle Verschlusskrankheit, Diabetes Mellitus, Chronische Venöse Insuffizienz; Deutsche Gesellschaft für Wundheilung und Wundbehandlung: Gießen, Germany, 2012. [Google Scholar]
- Raeder, K.; Jachan, D.E.; Müller-Werdan, U.; Lahmann, N.A. Prevalence and risk factors of chronic wounds in nursing homes in Germany: A Cross-Sectional Study. Int. Wound J. 2020, 17, 1128–1134. [Google Scholar] [CrossRef]
- Rondas, A.A.L.M.; Schols, J.M.G.A.; Stobberingh, E.E.; Halfens, R.J.G. Prevalence of chronic wounds and structural quality indicators of chronic wound care in Dutch nursing homes. Int. Wound J. 2015, 12, 630–635. [Google Scholar] [CrossRef]
- Braný, D.; Dvorská, D.; Halašová, E.; Škovierová, H. Cold Atmospheric Plasma: A Powerful Tool for Modern Medicine. Int. J. Mol. Sci. 2020, 21, 2932. [Google Scholar] [CrossRef]
- Hoffmann, C.; Berganza, C.; Zhang, J. Cold Atmospheric Plasma: Methods of production and application in dentistry and oncology. Med. Gas Res. 2013, 3, 21. [Google Scholar] [CrossRef]
- Gay-Mimbrera, J.; García, M.C.; Isla-Tejera, B.; Rodero-Serrano, A.; García-Nieto, A.V.; Ruano, J. Clinical and Biological Principles of Cold Atmospheric Plasma Application in Skin Cancer. Adv. Ther. 2016, 33, 894–909. [Google Scholar] [CrossRef]
- Gan, L.; Zhang, S.; Poorun, D.; Liu, D.; Lu, X.; He, M.; Duan, X.; Chen, H. Medical applications of nonthermal atmospheric pressure plasma in dermatology. J. Dtsch. Dermatol. Ges. J. Ger. Soc. Dermatol. JDDG 2018, 16, 7–13. [Google Scholar] [CrossRef]
- Klebes, M.; Ulrich, C.; Kluschke, F.; Patzelt, A.; Vandersee, S.; Richter, H.; Bob, A.; von Hutten, J.; Krediet, J.T.; Kramer, A.; et al. Combined antibacterial effects of tissue-tolerable plasma and a modern conventional liquid antiseptic on chronic wound treatment. J. Biophotonics 2015, 8, 382–391. [Google Scholar] [CrossRef]
- Gan, L.; Jiang, J.; Duan, J.W.; Wu, X.J.Z.; Zhang, S.; Duan, X.R.; Song, J.Q.; Chen, H.X. Cold atmospheric plasma applications in dermatology: A systematic review. J. Biophotonics 2021, 14, e202000415. [Google Scholar] [CrossRef]
- Jungbauer, G.; Moser, D.; Müller, S.; Pfister, W.; Sculean, A.; Eick, S. The Antimicrobial Effect of Cold Atmospheric Plasma against Dental Pathogens-A Systematic Review of In-Vitro Studies. Antibiotics 2021, 10, 211. [Google Scholar] [CrossRef]
- Bunz, O.; Mese, K.; Funk, C.; Wulf, M.; Bailer, S.M.; Piwowarczyk, A.; Ehrhardt, A. Cold atmospheric plasma as antiviral therapy—Effect on human herpes simplex virus type 1. J. Gen. Virol. 2020, 101, 208–215. [Google Scholar] [CrossRef]
- Arndt, S.; Unger, P.; Berneburg, M.; Bosserhoff, A.-K.; Karrer, S. Cold atmospheric plasma (CAP) activates angiogenesis-related molecules in skin keratinocytes, fibroblasts and endothelial cells and improves wound angiogenesis in an autocrine and paracrine mode. J. Dermatol. Sci. 2018, 89, 181–190. [Google Scholar] [CrossRef]
- Guo, J.; Huang, Y.; Xu, B.; Yang, J. Efficacy of Cold Atmospheric Plasma Therapy on Chronic Wounds: An Updated Systematic Review and Meta-Analysis of RCTs. Comput. Math. Methods Med. 2022, 2022, 5798857. [Google Scholar] [CrossRef]
- Assadian, O.; Ousey, K.J.; Daeschlein, G.; Kramer, A.; Parker, C.; Tanner, J.; Leaper, D.J. Effects and safety of atmospheric low-temperature plasma on bacterial reduction in chronic wounds and wound size reduction: A systematic review and meta-analysis. Int. Wound J. 2019, 16, 103–111. [Google Scholar] [CrossRef]
- Hartrick, C.T.; Kovan, J.P.; Shapiro, S. The numeric rating scale for clinical pain measurement: A ratio measure? Pain Pract. Off. J. World Inst. Pain 2003, 3, 310–316. [Google Scholar] [CrossRef]
- Harrell, F.E. Regression Modeling Strategies: With Applications to Linear Models, Logistic Regression, and Survival Analysis; Springer: Berlin/Heidelberg, Germany, 2001. [Google Scholar]
- Pinheiro, J.C.; Bates, D.M. Mixed-Effects Models in S and S-PLUS; Springer: New York, NY, USA, 2000; 538p. [Google Scholar]
- Greenland, S.; Senn, S.J.; Rothman, K.J.; Carlin, J.B.; Poole, C.; Goodman, S.N.; Altman, D.G. Statistical tests, P values, confidence intervals, and power: A guide to misinterpretations. Eur. J. Epidemiol. 2016, 31, 337–350. [Google Scholar] [CrossRef]
- Wasserstein, R.L.; Lazar, N.A. The ASA Statement on p-Values: Context, Process, and Purpose. Am. Stat. 2016, 70, 129–133. [Google Scholar] [CrossRef]
- Gelman, A.B.; Hill, J.; Vehtari, A. Regression and Other Stories, 1st ed.; Cambridge University Press: Cambridge, UK, 2021. [Google Scholar]
- Verbeke, G. Linear Mixed Models for Longitudinal Data. In Linear Mixed Models in Practice; Springer: New York, NY, USA, 1997; pp. 63–153. [Google Scholar]
- Imbens, G.W.; Rubin, D.B. Causal Inference in Statistics, Social, and Biomedical Sciences: An Introduction; Cambridge University Press: Cambridge, UK, 2015. [Google Scholar]
- Carroll, R.J.; Ruppert, D. Transformation and Weighting in Regression; Carroll, R.J., Ruppert, D., Eds.; Chapman and Hall: London, UK, 1989. [Google Scholar]
- Pekár, S.; Brabec, M. Marginal Models Via GLS: A Convenient Yet Neglected Tool for the Analysis of Correlated Data in the Behavioural Sciences. Ethology 2016, 122, 621–631. [Google Scholar] [CrossRef]
- Bland, J.M.; Altman, D.G. The use of transformation when comparing two means. BMJ 1996, 312, 1153. [Google Scholar] [CrossRef]
- Morfeld, M.; Kirchberger, I.; Bullinger, M. SF-36 Fragebogen zum Gesundheitszustand: Deutsche Version des Short Form-36 Health Survey; Hogrefe: Boston, MA, USA, 2011. [Google Scholar]
- Wickham, H. ggplot2: Elegant Graphics for Data Analysis; Springer: New York, NY, USA, 2016. [Google Scholar]
- Charlson, M.E.; Pompei, P.; Ales, K.L.; MacKenzie, C.R. A new method of classifying prognostic comorbidity in longitudinal studies: Development and validation. J. Chronic Dis. 1987, 40, 373–383. [Google Scholar] [CrossRef] [PubMed]
- Zhao, R.; Liang, H.; Clarke, E.; Jackson, C.; Xue, M. Inflammation in Chronic Wounds. Int. J. Mol. Sci. 2016, 17, 2085. [Google Scholar] [CrossRef] [PubMed]
- Goldberg, S.R.; Diegelmann, R.F. What Makes Wounds Chronic. Surg. Clin. N. Am. 2020, 100, 681–693. [Google Scholar] [CrossRef] [PubMed]
- Boekema, B.; Stoop, M.; Vlig, M.; van Liempt, J.; Sobota, A.; Ulrich, M.; Middelkoop, E. Antibacterial and safety tests of a flexible cold atmospheric plasma device for the stimulation of wound healing. Appl. Microbiol. Biotechnol. 2021, 105, 2057–2070. [Google Scholar] [CrossRef]
- Mohd Nasir, N.; Lee, B.K.; Yap, S.S.; Thong, K.L.; Yap, S.L. Cold plasma inactivation of chronic wound bacteria. Arch. Biochem. Biophys. 2016, 605, 76–85. [Google Scholar] [CrossRef]
- Faramarzi, F.; Zafari, P.; Alimohammadi, M.; Golpour, M.; Ghaffari, S.; Rafiei, A. Inhibitory Effects of Cold Atmospheric Plasma on Inflammation and Tumor-Like Feature of Fibroblast-Like Synoviocytes from Patients with Rheumatoid Arthritis. Inflammation 2022, 45, 2433–2448. [Google Scholar] [CrossRef]
- Isbary, G.; Morfill, G.; Schmidt, H.U.; Georgi, M.; Ramrath, K.; Heinlin, J.; Karrer, S.; Landthaler, M.; Shimizu, T.; Steffes, B.; et al. A first prospective randomized controlled trial to decrease bacterial load using cold atmospheric argon plasma on chronic wounds in patients. Br. J. Dermatol. 2010, 163, 78–82. [Google Scholar] [CrossRef]
- Brehmer, F.; Haenssle, H.A.; Daeschlein, G.; Ahmed, R.; Pfeiffer, S.; Görlitz, A.; Simon, D.; Schön, M.P.; Wandke, D.; Emmert, S. Alleviation of chronic venous leg ulcers with a hand-held dielectric barrier discharge plasma generator (PlasmaDerm(®) VU-2010): Results of a monocentric, two-armed, open, prospective, randomized and controlled trial (NCT01415622). J. Eur. Acad. Dermatol. Venereol. JEADV 2015, 29, 148–155. [Google Scholar] [CrossRef]
- Isbary, G.; Heinlin, J.; Shimizu, T.; Zimmermann, J.L.; Morfill, G.; Schmidt, H.-U.; Monetti, R.; Steffes, B.; Bunk, W.; Li, Y.; et al. Successful and safe use of 2 min cold atmospheric argon plasma in chronic wounds: Results of a randomized controlled trial. Br. J. Dermatol. 2012, 167, 404–410. [Google Scholar] [CrossRef]
- Llor, C.; Bjerrum, L. Antimicrobial resistance: Risk associated with antibiotic overuse and initiatives to reduce the problem. Ther. Adv. Drug Saf. 2014, 5, 229–241. [Google Scholar] [CrossRef]
- Bowler, P.G. Antibiotic resistance and biofilm tolerance: A combined threat in the treatment of chronic infections. J. Wound Care 2018, 27, 273–277. [Google Scholar] [CrossRef]
- Tzaneva, V.; Mladenova, I.; Todorova, G.; Petkov, D. Antibiotic treatment and resistance in chronic wounds of vascular origin. Clujul Med. 2016, 89, 365–370. [Google Scholar] [CrossRef]
- Jung, J.M.; Yoon, H.K.; Jung, C.J.; Jo, S.Y.; Hwang, S.G.; Lee, H.J.; Lee, W.J.; Chang, S.E.; Won, C.H. Cold Plasma Treatment Promotes Full-thickness Healing of Skin Wounds in Murine Models. Int. J. Low. Extrem. Wounds 2023, 22, 77–84. [Google Scholar] [CrossRef]
- Epstein, E.H.; Munderloh, N.H. Human skin collagen. Presence of type I and type III at all levels of the dermis. J. Biol. Chem. 1978, 253, 1336–1337. [Google Scholar] [CrossRef]
- Meigel, W.N.; Gay, S.; Weber, L. Dermal architecture and collagen type distribution. Arch. Dermatol. Res. Arch. Fur Dermatol. Forsch. 1977, 259, 1–10. [Google Scholar] [CrossRef]
- Stratmann, B.; Costea, T.-C.; Nolte, C.; Hiller, J.; Schmidt, J.; Reindel, J.; Masur, K.; Motz, W.; Timm, J.; Kerner, W.; et al. Effect of Cold Atmospheric Plasma Therapy vs Standard Therapy Placebo on Wound Healing in Patients With Diabetic Foot Ulcers: A Randomized Clinical Trial. JAMA Netw. Open 2020, 3, e2010411. [Google Scholar] [CrossRef]
- Strohal, R.; Dietrich, S.; Mittlböck, M.; Hämmerle, G. Chronic wounds treated with cold atmospheric plasmajet versus best practice wound dressings: A multicenter, randomized, non-inferiority trial. Sci. Rep. 2022, 12, 3645, Correction in Sci. Rep. 2022, 12, 6732. [Google Scholar] [CrossRef]
- Martin, J.L.; Murphy, E.; Crowe, J.A.; Norris, B.J. Capturing user requirements in medical device development: The role of ergonomics. Physiol. Meas. 2006, 27, R49–R62. [Google Scholar] [CrossRef]
- Price, P.E.; Fagervik-Morton, H.; Mudge, E.J.; Beele, H.; Ruiz, J.C.; Nystrøm, T.H.; Lindholm, C.; Maume, S.; Melby-Østergaard, B.; Peter, Y.; et al. Dressing-related pain in patients with chronic wounds: An international patient perspective. Int. Wound J. 2008, 5, 159–171. [Google Scholar] [CrossRef]
- Newbern, S. Identifying Pain and Effects on Quality of Life from Chronic Wounds Secondary to Lower-Extremity Vascular Disease: An Integrative Review. Adv. Ski. Wound Care 2018, 31, 102–108. [Google Scholar] [CrossRef] [PubMed]
- Gandek, B.; Ware, J.E.; Aaronson, N.K.; Apolone, G.; Bjorner, J.B.; Brazier, J.E.; Bullinger, M.; Kaasa, S.; Leplege, A.; Prieto, L.; et al. Cross-validation of item selection and scoring for the SF-12 Health Survey in nine countries: Results from the IQOLA Project. International Quality of Life Assessment. J. Clin. Epidemiol. 1998, 51, 1171–1178. [Google Scholar] [CrossRef] [PubMed]
- Gouin, J.-P.; Kiecolt-Glaser, J.K. The impact of psychological stress on wound healing: Methods and mechanisms. Immunol. Allergy Clin. N. Am. 2011, 31, 81–93. [Google Scholar] [CrossRef] [PubMed]
- Yang, S.; Chang, M.C. Chronic Pain: Structural and Functional Changes in Brain Structures and Associated Negative Affective States. Int. J. Mol. Sci. 2019, 20, 3130. [Google Scholar] [CrossRef]
- Liddell, T.M.; Kruschke, J.K. Analyzing ordinal data with metric models: What could possibly go wrong? J. Exp. Soc. Psychol. 2018, 79, 328–348. [Google Scholar] [CrossRef]
- Rabe-Hesketh, S.; Skrondal, A. Multilevel and Longitudinal Modeling Using Stata, 2nd ed.; Stata Press: College Station, TX, USA, 2008. [Google Scholar]





| Parameter | Overall | CPT | SWT | p-Value |
|---|---|---|---|---|
| (n = 47) | (n = 25) | (n = 22) | ||
| Gender, n (%) | ||||
| male | 29 (62) | 15 (60) | 14 (64) | 0.8 |
| female | 18 (38) | 10 (40) | 8 (36) | |
| Age, y | ||||
| mean (± SD) | 69.5 (±11.3) | 72.2 (±10.9) | 66.5 (±11.2) | 0.08 |
| median (Q1, Q3) | 70 (64, 77.5) | 73 (69, 80) | 66.5 (60, 72) | |
| median (range) | 70 (45–87) | 73 (45–87) | 66.5 (46–86) | |
| BMI, kg/m2 | ||||
| mean (± SD) | 32.4 (±8.6) | 32.2 (±8.4) | 32.6 (±9) | >0.9 |
| median (Q1, Q3) | 30.9 (26.9, 35.1) | 32.7 (25.6, 35.1) | 30.5 (27.4–34.9) | |
| median (range) | 30.9 (21.5–58.1) | 32.7 (21.9–58) | 30.5 (21.5–58.1) | |
| Baseline wound size, cm2 | ||||
| mean (± SD) | 17.3 (±13.2) | 18.7 (±13.9) | 15.7 (±12.5) | |
| median (Q1, Q3) | 14.8 (7.1, 20.8) | 17.0 (7.2, 25.6) | 13.3 (6.28, 19.3) | 0.4 |
| median (range) | 14.8 (3.30–55.4) | 17.0 (3.3–52.8) | 13.3 (3.4–55.4) | |
| Diabetes mellitus, n (%) | ||||
| no | 34 (72) | 15 (60) | 19 (86) | 0.1 |
| yes | 13 (28) | 10 (40) | 3 (14) | |
| Wound type, n (%) | ||||
| venous | 39 (83) | 18 (75) | 21 (91) | 0.14 |
| arterial | 8 (17) | 6 (25) | 2 (9) | |
| CCI score | ||||
| median (Q1, Q3) | 3 (2,4) | 3.5 (2,5) | 3 (2,4) | 0.5 |
| Parameter | CPT (n = 25) | SWT (n = 22) |
|---|---|---|
| ≥90% reduction of the wound area, n (%) | 4 (16) | 0 (0) |
| ≥60% reduction of the wound area, n (%) | 7 (28) | 0 (0) |
| ≥40% reduction of the wound area, n (%) | 10 (40) | 4 (18) |
| ≥25% reduction of the wound area, n (%) | 14 (56) | 6 (27) |
Disclaimer/Publisher’s Note: The statements, opinions and data contained in all publications are solely those of the individual author(s) and contributor(s) and not of MDPI and/or the editor(s). MDPI and/or the editor(s) disclaim responsibility for any injury to people or property resulting from any ideas, methods, instructions or products referred to in the content. |
© 2023 by the authors. Licensee MDPI, Basel, Switzerland. This article is an open access article distributed under the terms and conditions of the Creative Commons Attribution (CC BY) license (https://creativecommons.org/licenses/by/4.0/).
Share and Cite
Abu Rached, N.; Kley, S.; Storck, M.; Meyer, T.; Stücker, M. Cold Plasma Therapy in Chronic Wounds—A Multicenter, Randomized Controlled Clinical Trial (Plasma on Chronic Wounds for Epidermal Regeneration Study): Preliminary Results. J. Clin. Med. 2023, 12, 5121. https://doi.org/10.3390/jcm12155121
Abu Rached N, Kley S, Storck M, Meyer T, Stücker M. Cold Plasma Therapy in Chronic Wounds—A Multicenter, Randomized Controlled Clinical Trial (Plasma on Chronic Wounds for Epidermal Regeneration Study): Preliminary Results. Journal of Clinical Medicine. 2023; 12(15):5121. https://doi.org/10.3390/jcm12155121
Chicago/Turabian StyleAbu Rached, Nessr, Susanne Kley, Martin Storck, Thomas Meyer, and Markus Stücker. 2023. "Cold Plasma Therapy in Chronic Wounds—A Multicenter, Randomized Controlled Clinical Trial (Plasma on Chronic Wounds for Epidermal Regeneration Study): Preliminary Results" Journal of Clinical Medicine 12, no. 15: 5121. https://doi.org/10.3390/jcm12155121
APA StyleAbu Rached, N., Kley, S., Storck, M., Meyer, T., & Stücker, M. (2023). Cold Plasma Therapy in Chronic Wounds—A Multicenter, Randomized Controlled Clinical Trial (Plasma on Chronic Wounds for Epidermal Regeneration Study): Preliminary Results. Journal of Clinical Medicine, 12(15), 5121. https://doi.org/10.3390/jcm12155121

