Effectiveness and Adverse Events of Gabapentinoids as Analgesics for Patients with Burn Injuries: A Systematic Review with Meta-Analysis and Trial Sequential Analysis
Abstract
1. Introduction
2. Materials and Methods
2.1. Protocol and Registration
2.2. Search Strategy
2.3. Selection Criteria
- (i)
- Population: patients with burn wounds;
- (ii)
- Intervention: gabapentinoids (gabapentin, pregabalin or mirogabalin);
- (iii)
- Comparison: control group regimen;
- (iv)
- Outcomes: (a) pain score, (b) opioid consumption and (c) adverse effects.
2.4. Data Extraction
2.5. Statistical Analysis
2.6. Quality Assessment and Certainty of Evidence
3. Results
3.1. Literature Search
3.2. Study Characteristics
3.3. Risk of Bias Assessment
3.4. Primary Outcomes: Pain Score
3.5. Primary Outcomes: Opioid Consumption
3.6. Secondary Outcomes: Adverse Events
3.7. CoE by GRADE Methodology
4. Discussion
5. Conclusions
Supplementary Materials
Author Contributions
Funding
Institutional Review Board Statement
Informed Consent Statement
Data Availability Statement
Acknowledgments
Conflicts of Interest
Appendix A


References
- Morgan, M.; Deuis, J.; Frøsig-Jørgensen, M.; Lewis, R.; Cabot, P.; Gray, P.D.; Vetter, I. Burn Pain: A Systematic and Critical Review of Epidemiology, Pathophysiology, and Treatment. Pain Med. 2017, 19, 708–734. [Google Scholar] [CrossRef]
- Romanowski, K.S.; Carson, J.; Pape, K.; Bernal, E.; Sharar, S.; Wiechman, S.; Carter, D.; Liu, Y.M.; Nitzschke, S.; Bhalla, P.; et al. American Burn Association Guidelines on the Management of Acute Pain in the Adult Burn Patient: A Review of the Literature, a Compilation of Expert Opinion and Next Steps. J. Burn. Care Res. 2020, 41, 1152–1164. [Google Scholar] [CrossRef] [PubMed]
- James, D.L.; Jowza, M. Principles of Burn Pain Management. Clin. Plast. Surg. 2017, 44, 737–747. [Google Scholar] [CrossRef]
- Faucher, L.; Furukawa, K. Practice Guidelines for the Management of Pain. J. Burn. Care Res. 2006, 27, 659–668. [Google Scholar] [CrossRef]
- Bockbrader, H.N.; Wesche, D.; Miller, R.; Chapel, S.; Janiczek, N.; Burger, P. A Comparison of the Pharmacokinetics and Pharmacodynamics of Pregabalin and Gabapentin. Clin. Pharmacokinet. 2010, 49, 661–669. [Google Scholar] [CrossRef]
- Derry, S.; Bell, R.F.; Straube, S.; Wiffen, P.J.; Aldington, D.; Moore, R.A. Pregabalin for neuropathic pain in adults. Cochrane Database Syst. Rev. 2019, 2019, CD007076. [Google Scholar] [CrossRef]
- Finnerup, N.B.; Attal, N.; Haroutounian, S.; McNicol, E.; Baron, R.; Dworkin, R.H.; Gilron, I.; Haanpää, M.; Hansson, P.; Jensen, T.S.; et al. Pharmacotherapy for neuropathic pain in adults: A systematic review and meta-analysis. Lancet Neurol. 2015, 14, 162–173. [Google Scholar] [CrossRef] [PubMed]
- Page, M.J.; McKenzie, J.E.; Bossuyt, P.M.; Boutron, I.; Hoffmann, T.C.; Mulrow, C.D.; Shamseer, L.; Tetzlaff, J.M.; Akl, E.A.; Brennan, S.E.; et al. The PRISMA 2020 statement: An updated guideline for reporting systematic reviews. BMJ 2021, 372, n71. [Google Scholar] [CrossRef]
- Higgins, J.P.T.; Thomas, J.; Chandler, J.; Cumpston, M.; Li, T.; Page, M.J.; Welch, V.A. (Eds.) Cochrane Handbook for Systematic Reviews of Interventions version 6.3 (updated February 2022). Cochrane, 2022. Available online: www.training.cochrane.org/handbook (accessed on 6 May 2023).
- Furuya-Kanamori, L.; Barendregt, J.J.; Doi, S.A. A new improved graphical and quantitative method for detecting bias in meta-analysis. Int. J. Evid.-Based Health 2018, 16, 195–203. [Google Scholar] [CrossRef] [PubMed]
- Xu, C.; Furuya-Kanamori, L.; Zorzela, L.; Lin, L.; Vohra, S. A proposed framework to guide evidence synthesis practice for meta-analysis with zero-events studies. J. Clin. Epidemiol. 2021, 135, 70–78. [Google Scholar] [CrossRef]
- Owen, R.K.; Bradbury, N.; Xin, Y.; Cooper, N.; Sutton, A. MetaInsight: An interactive web-based tool for analyzing, interrogating, and visualizing network meta-analyses using R-shiny and netmeta. Res. Synth. Methods 2019, 10, 569–581. [Google Scholar] [CrossRef]
- Kang, H. Trial sequential analysis: Novel approach for meta-analysis. Anesth. Pain Med. 2021, 16, 138–150. [Google Scholar] [CrossRef]
- Sterne, J.A.; Savović, J.; Page, M.J.; Elbers, R.G.; Blencowe, N.S.; Boutron, I.; Cates, C.J.; Cheng, H.Y.; Corbett, M.S.; Eldridge, S.M.; et al. RoB 2: A revised tool for assessing risk of bias in randomised trials. BMJ 2019, 366, l4898. [Google Scholar] [CrossRef]
- McGuinness, L.A.; Higgins, J.P.T. Risk-of-bias VISualization (robvis): An R package and Shiny web app for visualizing risk-of-bias assessments. Res. Synth. Methods 2021, 12, 55–61. [Google Scholar] [CrossRef]
- Guyatt, G.H.; Oxman, A.D.; Vist, G.E.; Kunz, R.; Falck-Ytter, Y.; Alonso-Coello, P.; Schünemann, H.J. GRADE: An emerging consensus on rating quality of evidence and strength of recommendations. BMJ 2008, 336, 924–926. [Google Scholar] [CrossRef]
- Gray, P.; Kirby, J.; Smith, M.T.; Cabot, P.J.; Williams, B.; Doecke, J.; Cramond, T. Pregabalin in severe burn injury pain: A double-blind, randomised placebo-controlled trial. Pain 2011, 152, 1279–1288. [Google Scholar] [CrossRef]
- Jones, L.M.; Uribe, A.A.; Coffey, R.; Puente, E.G.; Abdel-Rasoul, M.; Murphy, C.V.; Bergese, S.D. Pregabalin in the reduction of pain and opioid consumption after burn injuries: A preliminary, randomized, double-blind, placebo-controlled study. Medicine 2019, 98, e15343. [Google Scholar] [CrossRef]
- Rimaz, S.; Alavi, C.E.; Sedighinejad, A.; Tolouie, M.; Kavoosi, S.; Koochakinejad, L. Effect of gabapentin on morphine consumption and pain after surgical debridement of burn wounds: A double-blind randomized clinical trial study. Arch. Trauma Res. 2012, 1, 38–43. [Google Scholar] [CrossRef]
- Juozapavičienė, L.; Karbonskienė, A.; Rimdeika, R. Efficacy Opioids and Opioids-Adjuvants Combination in Burn Pain Treat-ment. Sveik. Moksl. 2015, 25, 35–40. [Google Scholar] [CrossRef]
- Wibbenmeyer, L.; Eid, A.; Liao, J.; Heard, J.; Horsfield, A.; Kral, L.; Kealey, P.; Rosenquist, R. Gabapentin is ineffective as an analgesic adjunct in the immediate postburn period. J. Burn. Care Res. 2014, 35, 136–142. [Google Scholar] [CrossRef] [PubMed]
- Cuignet, O.; Pirson, J.; Soudon, O.; Zizi, M. Effects of gabapentin on morphine consumption and pain in severely burned patients. Burns 2007, 33, 81–86. [Google Scholar] [CrossRef] [PubMed]
- Gray, P.; Williams, B.; Cramond, T. Successful Use of Gabapentin in Acute Pain Management Following Burn Injury: A Case Series. Pain Med. 2008, 9, 371–376. [Google Scholar] [CrossRef]
- Wong, W.; Wallace, M.S. Determination of the effective dose of pregabalin on human experimental pain using the sequential up-down method. J. Pain 2014, 15, 25–31. [Google Scholar] [CrossRef]
- Sugimine, S.; Saito, S.; Araki, T.; Yamamoto, K.; Obata, H. Endogenous analgesic effect of pregabalin: A double-blind and randomized controlled trial. Eur. J. Pain 2017, 21, 997–1006. [Google Scholar] [CrossRef][Green Version]
- Bockbrader, H.N.; Budhwani, M.N.; Wesche, D.L. Gabapentin to pregabalin therapy transition: A pharmacokinetic simulation. Am. J. Ther. 2013, 20, 32–36. [Google Scholar] [CrossRef]
- Barrett, L.W.; Fear, V.S.; Waithman, J.C.; Wood, F.M.; Fear, M.W. Understanding acute burn injury as a chronic disease. Burn. Trauma 2019, 7, 23. [Google Scholar] [CrossRef]
- Leazer, S.T.; Nyland, J.E.; Escolas, S.M.; Aden, J.K.; Rauschendorfer, C.A.; Cancio, L.C.; Chung, K.K. Analgesic use in contemporary burn practice: Applications to burn mass casualty incident planning. Burns 2020, 46, 90–96. [Google Scholar] [CrossRef]
- Doi, S.A.; Barendregt, J.J.; Khan, S.; Thalib, L.; Williams, G.M. Advances in the meta-analysis of heterogeneous clinical trials I: The inverse variance heterogeneity model. Contemp. Clin. Trials 2015, 45, 130–138. [Google Scholar] [CrossRef]
- Jia, P.; Lin, L.; Kwong, J.S.; Xu, C. Many meta-analyses of rare events in the Cochrane Database of Systematic Reviews were underpowered. J. Clin. Epidemiol. 2021, 131, 113–122. [Google Scholar] [CrossRef]
- Ren, Y.; Lin, L.; Lian, Q.; Zou, H.; Chu, H. Real-world Performance of Meta-analysis Methods for Double-Zero-Event Studies with Dichot-omous Outcomes Using the Cochrane Database of Systematic Reviews. J. Gen. Intern. Med. 2019, 34, 960–968. [Google Scholar] [CrossRef]
- Castellini, G.; Bruschettini, M.; Gianola, S.; Gluud, C.; Moja, L. Assessing imprecision in Cochrane systematic reviews: A comparison of GRADE and Trial Sequential Analysis. Syst. Rev. 2018, 7, 110. [Google Scholar] [CrossRef] [PubMed]
- Fabritius, M.; Strøm, C.; Koyuncu, S.; Jæger, P.; Petersen, P.; Geisler, A.; Wetterslev, J.; Dahl, J.; Mathiesen, O. Benefit and harm of pregabalin in acute pain treatment: A systematic review with meta-analyses and trial sequential analyses. Br. J. Anaesth. 2017, 119, 775–791. [Google Scholar] [CrossRef] [PubMed]
- Verret, M.; Lauzier, F.; Zarychanski, R.; Savard, X.; Cossi, M.-J.; Pinard, A.M.; Leblanc, G.; Turgeon, A.F. Perioperative use of gabapentinoids for the management of postoperative acute pain: A systematic review and meta-analysis. Anesthesiology 2020, 133, 265–279. [Google Scholar] [CrossRef] [PubMed]
- Steele, A.N.; Grimsrud, K.N.; Sen, S.; Palmieri, T.L.; Greenhalgh, D.G.; Tran, N.K. Gap analysis of pharmacokinetics and pharmacodynamics in burn patients: A review. J. Burn Care Res. 2015, 36, e194–e211. [Google Scholar] [CrossRef] [PubMed]
- Chincholkar, M. Gabapentinoids: Pharmacokinetics, pharmacodynamics and considerations for clinical practice. Br. J. Pain 2020, 14, 104–114. [Google Scholar] [CrossRef]
- Mathieson, S.; Lin, C.-W.C.; Underwood, M.; Eldabe, S. Pregabalin and gabapentin for pain. BMJ 2020, 369, m1315. [Google Scholar] [CrossRef]
- Bykov, K.; Bateman, B.T.; Franklin, J.M.; Vine, S.M.; Patorno, E. Association of Gabapentinoids with the Risk of Opioid-Related Adverse Events in Surgical Patients in the United States. JAMA Netw. Open 2020, 3, e2031647. [Google Scholar] [CrossRef]
- Muanda, F.T.; Weir, M.A.; Ahmadi, F.; Sontrop, J.M.; Cowan, A.; Fleet, J.L.; Blake, P.G.; Garg, A.X. Higher-Dose Gabapentinoids and the Risk of Adverse Events in Older Adults With CKD: A Population-Based Cohort Study. Am. J. Kidney Dis. 2022, 80, 98–107.e1. [Google Scholar] [CrossRef] [PubMed]
- Fabritius, M.L.; Geisler, A.; Petersen, P.L.; Nikolajsen, L.; Hansen, M.S.; Kontinen, V.; Hamunen, K.; Dahl, J.B.; Wetterslev, J.; Mathiesen, O. Gabapentin for post-operative pain management—A systematic review with meta-analyses and trial sequential analyses. Acta Anaesthesiol. Scand. 2016, 60, 1188–1208. [Google Scholar] [CrossRef]



| Participants Characteristics | Interventions | Comparison | Outcomes | |||||||
|---|---|---|---|---|---|---|---|---|---|---|
| Study | Year | Country | Funding | Study Design | Baseline Analgesics | Experimental Groups (n) | Administration | Control Group (n) | Outcome Analysed | Study Follow-Up |
| Gray et al. [17] | 2011 | Australia | Pfizer Australia and Royal Brisbane and Women’s Hospital Foundation | Single-centre, double-blind RCT (ISRCTN56448626) | Acetaminophen, opioid (oral, PCA) | Pregabalin (34) | 75 mg–300 mg BID, PO, 28 days * | Placebo (33) | NPS (0–10) Opioid consumption | Weekly, up to 4 weeks |
| Rimaz et al. [19] | 2012 | Iran | None declared | Double-blind, placebo-controlled RCT | IV morphine (PCA) | Gabapentin (25) | 1200 mg, single dosing, PO | Placebo (25) | VAS (0–100) Opioid consumption Adverse effects | 24 h |
| Wibbenmeyer et al. [21] | 2014 | USA | None declared | Single-centre, double-blind, placebo-controlled RCT (NCT01265056) | Acetaminophen, NSAIDs and morphine | Gabapentin (27) | 1200 mg once, followed by 300–1200 mg TID, PO * | Placebo (26) | NRS (0–10) Adverse effects | Pain: day 3 or discharge Opioids: until first clinic visit |
| Juozapavičienė et al. [20] | 2015 | Lithuania | None declared | Single-centre, parallel-designed RCT | IV morphine (PCA) | Gabapentin (24) | 1200 mg/day PO | Control (29) | VAS (0–100) Opioid consumption Adverse effects | Up to 72 h |
| Jones et al. [18] | 2019 | USA | Pfizer Inc. | Single-centre, double-blind, placebo-controlled RCT | IV and oral opioids | Pregabalin (32) | 150 mg BID PO * 300 mg BID PO * | Placebo (19) | VAS (0–100) Opioid consumption Adverse effects | Days 9, 25, 90 and 180 |
| Adverse Events | Gabapentin | Pregabalin | Pooled | LFK Index | ||||
|---|---|---|---|---|---|---|---|---|
| No. of Trials | RR (95% CI) IVhet Model | Bayesian Analysis (95% CrI) | No. of Trials | RR (95% CI) IVhet Model | RR (95% CI) IVhet Model | Bayesian Analysis (95% CrI) | ||
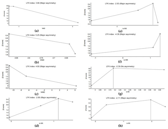
| Dizziness | 3 | 3.035 (0.925, 9.952) | 1.62 (0.338, 6.28) | 1 | 3.030 (0.153, 59.967) | 3.034 (1.006, 9.147, I2 = 0%) | 1.58 (0.413, 5.25) | −2.69 |
| Nausea | 3 | 0.791 (0.358, 1.750) | 0.628 (0.256, 1.43) | 1 | 0.202 (0.009, 4.724) | 0.729 (0.338, 1.575, I2 = 0%) | 0.419 (0.075, 1.33) | −2.93 |
| Drowsiness | 3 | 3.255 (1.135, 9.335) | 1.69 (0.285, 6.06) | 0 | N/A | 3.255 (1.135, 9.335, I2 = 0%) | 1.69 (0.285, 6.06) | −4.38 |
| Diarrhoea | 2 | 0.359 (0.034, 3.831) | 1.01 × 10−0.7 (8.79 × 10−21, 0.125) | 0 | N/A | 0.359 (0.034, 3.831, I2 = 0%) | 1.01 × 10−0.7 (8.79 × 10−21, 0.125) | N/A |
| Constipation | 2 | 0.993 (0.183, 5.394) | 0.806 (0.340, 2.20) | 0 | N/A | 0.993 (0.183, 5.394, I2 = 0%) | 0.806 (0.340, 2.20) | N/A |
| Urinary retention | 3 | 1.542 (0.260, 9.135) | 0.475 (0.0633, 2.67) | 0 | N/A | 1.542 (0.260, 9.135, I2 = 0%) | 0.475 (0.0633, 2.67) | −0.39 |
| Pruritus | 3 | 1.094 (0.329, 3.641) | 0.337 (0.0343, 2.06) | 1 | 0.119 (0.015, 0.942) | 0.625 (0.134, 2.908, I2 = 38%) | 0.444 (0.0643, 1.98) | −2.11 |
| Certainty Assessment | No. of Patients | Effect | Certainty | |||||||
|---|---|---|---|---|---|---|---|---|---|---|
| No. of Studies | Study Design | Risk of Bias | Inconsistency | Indirectness | Imprecision | Other Considerations | Gabapentinoids | Control | Absolute (95% CI) | |
| Pain score reduction 24 h | ||||||||||
| 3 | Randomised trials | Very serious a | Not serious | Not serious | Not serious | Publication bias strongly suspected b | 76 | 80 | MD 1.06 lower (1.47 lower to 0.65 lower) | ⨁◯◯◯ Very low |
| Pain score reduction 72 h to 9 days | ||||||||||
| 3 | Randomised trials | Serious c | Not serious | Not serious | Not serious | Publication bias strongly suspected b | 102 | 92 | MD 0.82 lower (1.16 lower to 0.48 lower) | ⨁⨁◯◯ Low |
| Pain score reduction 3 weeks | ||||||||||
| 2 | Randomised trials | Serious d | Not serious | Not serious | Very serious e | Publication bias strongly suspected b | 78 | 63 | MD 0.44 lower (1.31 lower to 0.42 higher) | ⨁◯◯◯ Very low |
| Opioid consumption 24 h | ||||||||||
| 2 | Randomised trials | Very serious a | Not serious | Not serious | Not serious | Publication bias strongly suspected b | 49 | 54 | MD 13.34 mg/day lower (22.16 lower to 4.52 lower) | ⨁◯◯◯ Very low |
| Opioid consumption 72 h to 9 days | ||||||||||
| 3 | Randomised trials | Very serious f | Not serious | Not serious | Not serious | Publication bias strongly suspected b | 102 | 92 | MD 7.87 mg/day lower (14.82 lower to 0.91 lower) | ⨁◯◯◯ Very low |
| Opioid consumption 3 weeks | ||||||||||
| 1 | Randomised trials | Serious d | Not serious | Not serious | Serious g | None | 46 | 44 | MD 2.12 mg/day fewer (9.74 fewer to 5.5 more) | ⨁⨁◯◯ Low |
| Certainty Assessment | No. of Patients | Effect | Certainty | ||||||||
|---|---|---|---|---|---|---|---|---|---|---|---|
| No. of Studies | Study Design | Risk of Bias | Inconsistency | Indirectness | Imprecision | Other Considerations | Gabapentinoids | Control | Relative (95% CrI) | Absolute (95% CrI) | |
| Dizziness | |||||||||||
| 4 | Randomised trials | Very serious a | Not serious | Not serious | Very serious b | Publication bias strongly suspected c | 11/108 (10.2%) | 3/99 (3.0%) | RR 1.58 (0.41 to 5.25) | 18 more per 1000 (from 18 fewer to 129 more) | ⨁◯◯◯ Very low |
| Nausea | |||||||||||
| 4 | Randomised trials | Very serious a | Not serious | Not serious | Serious d | Publication bias strongly suspected c | 8/108 (7.4%) | 12/99 (12.1%) | RR 0.419 (0.075 to 1.330) | 70 fewer per 1000 (from 112 fewer to 40 more) | ⨁◯◯◯ Very low |
| Drowsiness | |||||||||||
| 3 | Randomised trials | Very serious a | Not serious | Not serious | Very serious b | Publication bias strongly suspected c | 17/76 (22.4%) | 6/80 (7.5%) | RR 1.690 (0.285 to 6.060) | 52 more per 1000 (from 54 fewer to 379 more) | ⨁◯◯◯ Very low |
| Diarrhoea | |||||||||||
| 2 | Randomised trials | Very serious a | Not serious | Not serious | Serious d | None | 0/52 (0.0%) | 2/51 (3.9%) | RR 0.000 (0.000 to 0.125) | -- per 1000 (from 34 fewer to --) | ⨁◯◯◯ Very low |
| Constipation | |||||||||||
| 2 | Randomised trials | Very serious a | Not serious | Not serious | Serious d | None | 2/52 (3.8%) | 2/51 (3.9%) | RR 0.806 (0.340 to 2.200) | 8 fewer per 1000 (from 26 fewer to 47 more) | ⨁◯◯◯ Very low |
| Urinary retention | |||||||||||
| 3 | Randomised trials | Very serious a | Not serious | Not serious | Very serious b | None | 2/76 (2.6%) | 1/80 (1.3%) | RR 0.4750 (0.0633 to 2.6700) | 7 fewer per 1000 (from 12 fewer to 21 more) | ⨁◯◯◯ Very low |
| Pruritus | |||||||||||
| 4 | Randomised trials | Very serious a | Not serious | Not serious | Serious d | Publication bias strongly suspected c | 5/108 (4.6%) | 5/99 (5.1%) | RR 0.4440 (0.0643 to 1.9800) | 28 fewer per 1000 (from 47 fewer to 49 more) | ⨁◯◯◯ Very low |
Disclaimer/Publisher’s Note: The statements, opinions and data contained in all publications are solely those of the individual author(s) and contributor(s) and not of MDPI and/or the editor(s). MDPI and/or the editor(s) disclaim responsibility for any injury to people or property resulting from any ideas, methods, instructions or products referred to in the content. |
© 2023 by the authors. Licensee MDPI, Basel, Switzerland. This article is an open access article distributed under the terms and conditions of the Creative Commons Attribution (CC BY) license (https://creativecommons.org/licenses/by/4.0/).
Share and Cite
Chiang, L.-J.; Lai, P.-C.; Huang, Y.-T. Effectiveness and Adverse Events of Gabapentinoids as Analgesics for Patients with Burn Injuries: A Systematic Review with Meta-Analysis and Trial Sequential Analysis. J. Clin. Med. 2023, 12, 5042. https://doi.org/10.3390/jcm12155042
Chiang L-J, Lai P-C, Huang Y-T. Effectiveness and Adverse Events of Gabapentinoids as Analgesics for Patients with Burn Injuries: A Systematic Review with Meta-Analysis and Trial Sequential Analysis. Journal of Clinical Medicine. 2023; 12(15):5042. https://doi.org/10.3390/jcm12155042
Chicago/Turabian StyleChiang, Liang-Jui, Pei-Chun Lai, and Yen-Ta Huang. 2023. "Effectiveness and Adverse Events of Gabapentinoids as Analgesics for Patients with Burn Injuries: A Systematic Review with Meta-Analysis and Trial Sequential Analysis" Journal of Clinical Medicine 12, no. 15: 5042. https://doi.org/10.3390/jcm12155042
APA StyleChiang, L.-J., Lai, P.-C., & Huang, Y.-T. (2023). Effectiveness and Adverse Events of Gabapentinoids as Analgesics for Patients with Burn Injuries: A Systematic Review with Meta-Analysis and Trial Sequential Analysis. Journal of Clinical Medicine, 12(15), 5042. https://doi.org/10.3390/jcm12155042

