Early and Long-Term Outcomes after Propofol-and Sevoflurane-Based Anesthesia in Colorectal Cancer Surgery: A Retrospective Study
Abstract
1. Introduction
2. Materials and Method
2.1. Study Population and Data Collection
2.2. Anesthesia
2.3. Postoperative Follow-Up
2.4. Statistical Analysis
3. Results
3.1. Change of Neurtophil-Lymphocyte Ratio and Early Postoperative Complications
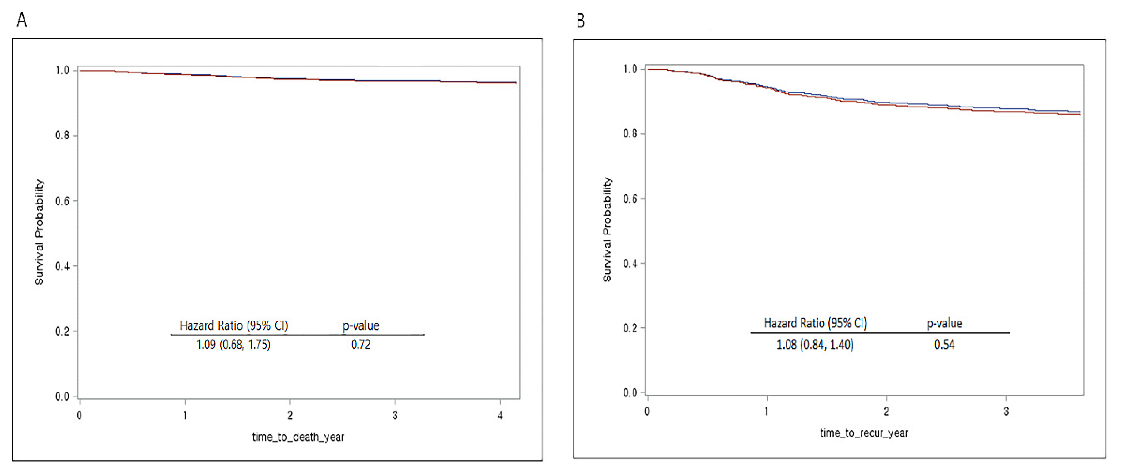
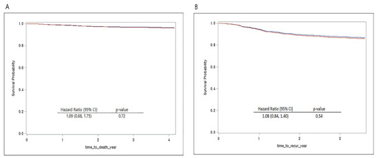
3.2. Recurrence-Free Survival and Overall Survival
4. Discussion
Author Contributions
Funding
Institutional Review Board Statement
Informed Consent Statement
Data Availability Statement
Acknowledgments
Conflicts of Interest
References
- Ferlay, J.; Colombet, M.; Soerjomataram, I.; Dyba, T.; Randi, G.; Bettio, M.; Gavin, A.; Visser, O.; Bray, F. Cancer incidence and mortality patterns in Europe: Estimates for 40 countries and 25 major cancers in 2018. Eur. J. Cancer 2018, 103, 356–387. [Google Scholar] [CrossRef] [PubMed]
- Yamaguchi, K.; Takagi, Y.; Aoki, S.; Futamura, M.; Saji, S. Significant detection of circulating cancer cells in the blood by reverse transcriptase-polymerase chain reaction during colorectal cancer resection. Ann. Surg. 2000, 232, 58–65. [Google Scholar] [CrossRef] [PubMed]
- van der Bij, G.J.; Oosterling, S.J.; Beelen, R.H.; Meijer, S.; Coffey, J.C.; van Egmond, M. The perioperative period is an underutilized window of therapeutic opportunity in patients with colorectal cancer. Ann. Surg. 2009, 249, 727–734. [Google Scholar] [CrossRef] [PubMed]
- Stollings, L.M.; Jia, L.J.; Tang, P.; Dou, H.; Lu, B.; Xu, Y. Immune Modulation by Volatile Anesthetics. Anesthesiology 2016, 125, 399–411. [Google Scholar] [CrossRef]
- Fröhlich, D.; Trabold, B.; Rothe, G.; Hoerauf, K.; Wittmann, S. Inhibition of the neutrophil oxidative response by propofol: Preserved in vivo function despite in vitro inhibition. Eur. J. Anaesthesiol. 2006, 23, 948–953. [Google Scholar] [CrossRef]
- Huang, H.; Benzonana, L.L.; Zhao, H.; Watts, H.R.; Perry, N.J.; Bevan, C.; Brown, R.; Ma, D. Prostate cancer cell malignancy via modulation of HIF-1α pathway with isoflurane and propofol alone and in combination. Br. J. Cancer 2014, 111, 1338–1349. [Google Scholar] [CrossRef]
- Wu, Z.F.; Lee, M.S.; Wong, C.S.; Lu, C.H.; Huang, Y.S.; Lin, K.T.; Lou, Y.S.; Lin, C.; Chang, Y.C.; Lai, H.C. Propofol-based Total Intravenous Anesthesia Is Associated with Better Survival Than Desflurane Anesthesia in Colon Cancer Surgery. Anesthesiology 2018, 129, 932–941. [Google Scholar] [CrossRef]
- Hasselager, R.P.; Hallas, J.; Gögenur, I. Inhalation or total intravenous anaesthesia and recurrence after colorectal cancer surgery: A propensity score matched Danish registry-based study. Br. J. Anaesth. 2021, 126, 921–930. [Google Scholar] [CrossRef]
- Ní Eochagáin, A.; Burns, D.; Riedel, B.; Sessler, D.I.; Buggy, D.J. The effect of anaesthetic technique during primary breast cancer surgery on neutrophil-lymphocyte ratio, platelet-lymphocyte ratio and return to intended oncological therapy. Anaesthesia 2018, 73, 603–611. [Google Scholar] [CrossRef]
- Kubo, T.; Ono, S.; Ueno, H.; Shinto, E.; Yamamoto, J.; Hase, K. Impact of the perioperative neutrophil-to-lymphocyte ratio on the long-term survival following an elective resection of colorectal carcinoma. Int. J. Colorectal. Dis. 2014, 29, 1091–1099. [Google Scholar] [CrossRef]
- Yasui, K.; Shida, D.; Nakamura, Y.; Ahiko, Y.; Tsukamoto, S.; Kanemitsu, Y. Postoperative, but not preoperative, inflammation-based prognostic markers are prognostic factors in stage III colorectal cancer patients. Br. J. Cancer 2021, 124, 933–941. [Google Scholar] [CrossRef] [PubMed]
- Wigmore, T.J.; Mohammed, K.; Jhanji, S. Long-term Survival for Patients Undergoing Volatile versus IV Anesthesia for Cancer Surgery: A Retrospective Analysis. Anesthesiology 2016, 124, 69–79. [Google Scholar] [CrossRef] [PubMed]
- Enlund, M.; Berglund, A.; Andreasson, K.; Cicek, C.; Enlund, A.; Bergkvist, L. The choice of anaesthetic--sevoflurane or propofol--and outcome from cancer surgery: A retrospective analysis. Ups J. Med. Sci. 2014, 119, 251–261. [Google Scholar] [CrossRef] [PubMed]
- Tylman, M.; Sarbinowski, R.; Bengtson, J.P.; Kvarnström, A.; Bengtsson, A. Inflammatory response in patients undergoing colorectal cancer surgery: The effect of two different anesthetic techniques. Minerva Anestesiol. 2011, 77, 275–282. [Google Scholar] [PubMed]
- Yap, A.; Lopez-Olivo, M.A.; Dubowitz, J.; Hiller, J.; Riedel, B. Anesthetic technique and cancer outcomes: A meta-analysis of total intravenous versus volatile anesthesia. Can. J. Anaesth. 2019, 66, 546–561. [Google Scholar] [CrossRef]
- Fan, X.; Wang, D.; Chen, X.; Wang, R. Effects of Anesthesia on Postoperative Recurrence and Metastasis of Malignant Tumors. Cancer Manag. Res. 2020, 12, 7619–7633. [Google Scholar] [CrossRef]
- Jensen, A.G.; Dahlgren, C.; Eintrei, C. Propofol decreases random and chemotactic stimulated locomotion of human neutrophils in vitro. Br. J. Anaesth. 1993, 70, 99–100. [Google Scholar] [CrossRef]
- Mikawa, K.; Akamatsu, H.; Nishina, K.; Shiga, M.; Maekawa, N.; Obara, H.; Niwa, Y. Propofol inhibits human neutrophil functions. Anesth. Analg. 1998, 87, 695–700. [Google Scholar] [CrossRef]
- Hirai, T.; Konishi, Y.; Mizuno, S.; Rui, Z.; Sun, Y.; Nishiwaki, K. Differential effects of sevoflurane on the growth and apoptosis of human cancer cell lines. J. Anesth. 2020, 34, 47–57. [Google Scholar] [CrossRef]
- Powell, D.R.; Huttenlocher, A. Neutrophils in the Tumor Microenvironment. Trends Immunol. 2016, 37, 41–52. [Google Scholar] [CrossRef]
- Gooden, M.J.; de Bock, G.H.; Leffers, N.; Daemen, T.; Nijman, H.W. The prognostic influence of tumour-infiltrating lymphocytes in cancer: A systematic review with meta-analysis. Br. J. Cancer 2011, 105, 93–103. [Google Scholar] [CrossRef] [PubMed]
- Tong, Y.S.; Tan, J.; Zhou, X.L.; Song, Y.Q.; Song, Y.J. Systemic immune-inflammation index predicting chemoradiation resistance and poor outcome in patients with stage III non-small cell lung cancer. J. Transl. Med. 2017, 15, 221. [Google Scholar] [CrossRef] [PubMed]
- Templeton, A.J.; McNamara, M.G.; Šeruga, B.; Vera-Badillo, F.E.; Aneja, P.; Ocaña, A.; Leibowitz-Amit, R.; Sonpavde, G.; Knox, J.J.; Tran, B.; et al. Prognostic role of neutrophil-to-lymphocyte ratio in solid tumors: A systematic review and meta-analysis. J. Natl. Cancer Inst. 2014, 106, dju124. [Google Scholar] [CrossRef] [PubMed]
- Chan, J.C.; Chan, D.L.; Diakos, C.I.; Engel, A.; Pavlakis, N.; Gill, A.; Clarke, S.J. The Lymphocyte-to-Monocyte Ratio is a Superior Predictor of Overall Survival in Comparison to Established Biomarkers of Resectable Colorectal Cancer. Ann. Surg. 2017, 265, 539–546. [Google Scholar] [CrossRef] [PubMed]
- Chan, J.C.Y.; Diakos, C.I.; Chan, D.L.H.; Engel, A.; Pavlakis, N.; Gill, A.; Clarke, S.J. A Longitudinal Investigation of Inflammatory Markers in Colorectal Cancer Patients Perioperatively Demonstrates Benefit in Serial Remeasurement. Ann. Surg. 2018, 267, 1119–1125. [Google Scholar] [CrossRef] [PubMed]
- Ogawa, K.; Hirai, M.; Katsube, T.; Murayama, M.; Hamaguchi, K.; Shimakawa, T.; Naritake, Y.; Hosokawa, T.; Kajiwara, T. Suppression of cellular immunity by surgical stress. Surgery 2000, 127, 329–336. [Google Scholar] [CrossRef]
- Kelbel, I.; Weiss, M. Anaesthetics and immune function. Curr. Opin. Anaesthesiol. 2001, 14, 685–691. [Google Scholar] [CrossRef]
- Kawasaki, T.; Ogata, M.; Kawasaki, C.; Okamoto, K.; Sata, T. Effects of epidural anaesthesia on surgical stress-induced immunosuppression during upper abdominal surgery. Br. J. Anaesth. 2007, 98, 196–203. [Google Scholar] [CrossRef]
- Sessler, D.I.; Pei, L.; Huang, Y.; Fleischmann, E.; Marhofer, P.; Kurz, A.; Mayers, D.B.; Meyer-Treschan, T.A.; Grady, M.; Tan, E.Y.; et al. Recurrence of breast cancer after regional or general anaesthesia: A randomised controlled trial. Lancet 2019, 394, 1807–1815. [Google Scholar] [CrossRef]
- Hayama, T.; Hashiguchi, Y.; Okada, Y.; Ono, K.; Nemoto, K.; Shimada, R.; Ozawa, T.; Toyoda, T.; Tsuchiya, T.; Iinuma, H.; et al. Significance of the 7th postoperative day neutrophil-to-lymphocyte ratio in colorectal cancer. Int. J. Colorectal. Dis. 2020, 35, 119–124. [Google Scholar] [CrossRef]
- Shibutani, M.; Maeda, K.; Nagahara, H.; Ohtani, H.; Iseki, Y.; Ikeya, T.; Sugano, K.; Hirakawa, K. The prognostic significance of a postoperative systemic inflammatory response in patients with colorectal cancer. World J. Surg. Oncol. 2015, 13, 194. [Google Scholar] [CrossRef] [PubMed][Green Version]
- de Oliveira, S.; Rosowski, E.E.; Huttenlocher, A. Neutrophil migration in infection and wound repair: Going forward in reverse. Nat. Rev. Immunol. 2016, 16, 378–391. [Google Scholar] [CrossRef] [PubMed]
- Hanna, D.N.; Hawkins, A.T. Colorectal: Management of Postoperative Complications in Colorectal Surgery. Surg. Clin. N. Am. 2021, 101, 717–729. [Google Scholar] [CrossRef] [PubMed]
- Tekkis, P.P.; Cornish, J.A.; Remzi, F.H.; Tilney, H.S.; Strong, S.A.; Church, J.M.; Lavery, I.C.; Fazio, V.W. Measuring sexual and urinary outcomes in women after rectal cancer excision. Dis. Colon. Rectum. 2009, 52, 46–54. [Google Scholar] [CrossRef] [PubMed]
- Gunawardene, A.; Desmond, B.; Shekouh, A.; Larsen, P.; Dennett, E. Disease recurrence following surgery for colorectal cancer: Five-year follow-up. N. Z. Med. J. 2018, 131, 51–58. [Google Scholar] [PubMed]



| Overall Patients | After Matching | |||||
|---|---|---|---|---|---|---|
| Propofol | Sevoflurane | SMD | Propofol | Sevoflurane | SMD | |
| (n = 719) | (n = 1852) | (n = 717) | (n = 1410) | |||
| Age, year | 61.7 (11.4) | 60.7 (12.0) | 0.084 | 61.7 (11.4) | 61.8 (11.8) | 0.008 |
| Sex, female | 290 (40.3) | 797 (43.0) | 0.055 | 289 (40.3) | 597 (42.3) | 0.041 |
| BMI, kg/m2 | 24.1 (3.3) | 23.8 (3.4) | 0.078 | 24.1 (3.3) | 23.9 (3.4) | 0.035 |
| ASA | ||||||
| I | 179 (24.9) | 539 (29.1) | 0.094 | 178 (24.8) | 356 (25.3) | 0.009 |
| II | 485 (67.5) | 1139 (61.5) | 0.124 | 484 (67.5) | 934 (66.2) | 0.026 |
| III | 55 (7.7) | 166 (9.0) | 0.047 | 55 (7.67) | 120 (8.5) | 0.031 |
| IV | 0 (0) | 8 (0.4) | 0 (0) | 0 (0) | ||
| Current smoking | 70 (9.7) | 197 (10.6) | 0.029 | 70 (9.8) | 140 (9.9) | 0.005 |
| Heavy drinking | 58 (8.1) | 129 (7.0) | 0.042 | 58 (8.1) | 103 (7.3) | 0.03 |
| History of surgery | 169 (23.5) | 451 (24.4) | 0.019 | 168 (23.4) | 343 (24.3) | 0.021 |
| Comorbidities | ||||||
| Hypertension | 271 (37.7) | 633 (34.2) | 0.074 | 271 (37.8) | 512 (36.3) | 0.031 |
| Diabetes mellitus | 149 (20.7) | 321 (17.3) | 0.087 | 148 (20.6) | 273 (19.4) | 0.032 |
| Stroke | 18 (2.5) | 59 (3.2) | 0.041 | 18 (2.5) | 31 (2.2) | 0.021 |
| CAD | 26 (3.6) | 85 (4.6) | 0.049 | 26 (3.6) | 53 (3.8) | 0.007 |
| Heart failure | 1 (0.1) | 16 (0.9) | 0.103 | 1 (0.1) | 2 (0.1) | 0.001 |
| COPD | 18 (2.5) | 54 (2.9) | 0.028 | 18 (2.5) | 34 (2.4) | 0.007 |
| Preoperative test | ||||||
| Haemoglobin, g/dL | 13.4 [12.0, 14.5] | 13.0 [11.6, 14.3] | 0.071 | 13.4 [12.0, 14.5] | 13.0 [11.6, 14.4] | 0.074 |
| Albumin, g/dL | 4.4 [4.2, 4.7] | 4.4 [4.2, 4.6] | 0.039 | 4.4 [4.2, 4.7] | 4.4 [4.2, 4.6] | 0.024 |
| Creatinine, mg/dL | 0.81 [0.68, 0.95] | 0.80 [0.68, 0.94] | 0.021 | 0.81 [0.68, 0.95] | 0.81 [0.69, 0.94] | 0.005 |
| NLR | 2.1 [1.5, 2.9] | 2.1 [1.5, 2.9] | 0.037 | 2.1 [1.5, 2.9] | 2.0 [1.5, 2.8] | 0.012 |
| Neoadjuvant therapy | 99 (13.8) | 280 (15.1) | 0.038 | 98 (13.7) | 168 (11.9) | 0.053 |
| CCI | 4 [3, 5] | 4 [3, 5] | 0.002 | 4 [3, 5] | 4 [3, 5] | 0.019 |
| ECOG performance | ||||||
| 0 | 588 (81.8) | 1419 (76.6) | 0.127 | 586 (81.7) | 1148 (81.4) | |
| 1 | 126 (17.5) | 414 (22.4) | 0.121 | 126 (17.6) | 252 (17.9) | 0.008 |
| 2 | 5 (0.7) | 17 (0.9) | 0.025 | 5 (0.7) | 10 (0.7) | 0.008 |
| 3 | 0 (0) | 2 (0.1) | 0.046 | 0 (0) | 0 (0) | 0.001 |
| Operation type | ||||||
| Laparoscopy | 644 (89.6) | 1481 (80.0) | 0.27 | 643 (89.7) | 1271 (90.1) | 0.016 |
| Robotic | 1 (0.1) | 188 (10.2) | 0.465 | 1 (0.1) | 2 (0.1) | 0.001 |
| Laparotomy | 74 (10.3) | 183 (9.9) | 0.012 | 73 (10.2) | 137 (9.7) | 0.016 |
| T staging | ||||||
| T0 | 16 (2.2) | 40 (2.2) | 15 (2.1) | 26 (1.8) | ||
| T1 | 179 (24.9) | 483 (26.1) | 0.029 | 179 (25.0) | 362 (25.7) | 0.018 |
| T2 | 238 (33.1) | 566 (30.1) | 0.055 | 238 (33.2) | 465 (33.0) | 0.005 |
| T3 | 254 (35.3) | 629 (34.0) | 0.029 | 252 (35.3) | 496 (35.2) | 0.003 |
| T4 | 32 (4.5) | 134 (7.2) | 0.119 | 32 (4.5) | 61 (4.3) | 0.007 |
| Tumor location | ||||||
| Right | 218 (30.3) | 504 (27.2) | 0.069 | 217 (30.3) | 445 (31.6) | 0.028 |
| Left | 497 (69.1) | 1327 (71.7) | 0.054 | 496 (69.2) | 957 (67.9) | 0.029 |
| Rectum | 4 (0.6) | 21 (1.1) | 0.073 | 4 (0.6) | 8 (0.6) | 0.01 |
| Lymphatic invasion | 207 (28.8) | 537 (29.0) | 0.004 | 206 (28.7) | 407 (28.9) | 0.003 |
| Perineural invasion | 311 (43.3) | 811 (43.8) | 0.01 | 310 (43.2) | 601 (42.6) | 0.013 |
| Vascular invasion | 58 (8.1) | 137 (7.4) | 0.025 | 58 (8.1) | 99 (7.0) | 0.041 |
| Anaesthesia time, min | 173 [149, 204] | 176 [143, 226] | 0.115 | 173 [149, 203] | 169.5 [141, 213] | 0.014 |
| Transfusion | 9 (1.3) | 43 (2.3) | 0.081 | 9 (1.3) | 18 (1.3) | 0.002 |
| Adjuvant therapy | 445 (61.9) | 1131 (61.1) | 0.038 | 443 (61.8) | 840 (59.6) | 0.046 |
| Overall Patients | After Matching | |||||
|---|---|---|---|---|---|---|
| Propofol | Sevoflurane | p | Propofol | Sevoflurane | p | |
| (n = 719) | (n = 1852) | (n = 717) | (n = 1410) | |||
| Morbidity | 93 (12.9) | 218 (11.8) | 0.42 | 93 (13.0) | 162 (11.5) | 0.34 |
| CD classification > grade III | 15 (2.1) | 42 (2.3) | 0.88 | 15 (2.1) | 28 (2.0) | 0.84 |
| Wound problems | 6 (0.8) | 16 (0.9) | 1.0 | 6 (0.8) | 11 (0.8) | 0.87 |
| Ileus | 24 (3.3) | 51 (2.8) | 0.44 | 34 (3.4) | 37 (2.6) | 0.32 |
| Anastomasis leakage | 7 (1.0) | 15 (0.8) | 0.64 | 7 (1.0) | 8 (0.6) | 0.30 |
| Intrabdominal fluid collection | 1 (0.1) | 12 (0.7) | 0.13 | 1 (0.1) | 12 (0.9) | 0.002 |
| Re-operation | 4 (0.6) | 6 (0.3) | 0.48 | 4 (0.6) | 3 (0.2) | 0.20 |
| Sepsis | 1 (0.1) | 0 | 0.28 | 1 (0.1) | 0 | <0.001 |
| Myocardiac infarction | 1 (0.1) | 5 (0.3) | 1.0 | 1 (0.1) | 3 (0.2) | 0.70 |
| Pulmonary complication | 2 (0.3) | 1 (0.1) | 0.19 | 2 (0.3) | 1 (0.1) | 0.22 |
| Cerebral infarction | 0 | 2 (0.1) | 1.0 | 0 | 2 (0.1) | <0.001 |
| Vascular complication | 0 | 4 (0.2) | 0.58 | 0 | 2 (0.1) | <0.001 |
| Urinary retention | 35 (4.9) | 48 (2.6) | 0.006 | 35 (4.9) | 36 (2.6) | 0.008 |
| Recurrence-Free Survival | Overall Survival | |||
|---|---|---|---|---|
| Variables | Hazard Ratio (95%CI) | p | Hazard Ratio (95%CI) | p |
| Propofol (ref. sevoflurane) | 1.04 (0.80, 1.34) | 0.80 | 1.12 (1.06, 1.17) | 0.91 |
| Age, year | 1.02 (1.01, 1.03) | 0.004 | 1.05 (1.03, 1.07) | 0.000 |
| ASA (ref. I) | 0.025 | 0.61 | ||
| II | 1.11 (0.82, 1.50) | 0.46 | 0.71 (0.41, 1.26) | 0.24 |
| III or IV | 1.76 (1.14,2.73) | 0.01 | 0.93 (0.42, 2.04) | 0.85 |
| Preoperative test | ||||
| Haemoglobin, mg/dL | 1.00 (0.98, 1.01) | 0.61 | 0.99 (0.95, 1.04) | 0.68 |
| Albumin | 0.83 (0.65, 1.07) | 0.15 | 0.14 (0.72, 0.47) | 0.14 |
| Creatinine, g/dL | ||||
| Neutrophil/Lymphocyte ratio | 1.07 (1.02, 1.11) | 0.006 | 1.12 (1.06, 1.17) | 0.000 |
| Neoadjuvant therapy | 1.70 (1.23, 2.34) | 0.001 | ||
| ECOG performance (ref. 0) | 0.73 | 0.09 | ||
| 1 | 0.91 (0.70, 1.18) | 0.48 | 1.27 (0.80, 2.01) | 0.31 |
| 2 | 1.12 (0.51, 2.49) | 0.78 | 1.29 (0.42, 4.00) | 0.66 |
| 3 | 2.30 (0.30, 17.86) | 0.43 | 22.84 (1.80, 290.72) | 0.02 |
| Operation (ref. laparotomy) | 0.005 | 0.009 | ||
| Laparoscopy | 1.17 (0.72, 1.88) | 0.53 | 0.51 (0.31, 0.84) | 0.009 |
| Robotic | 1.66 (1.22, 2.25) | 0.001 | 0.15 (0.24, 0.89) | 0.04 |
| T staging (ref. T0 or T1) | 0.000 | 0.000 | ||
| T2 | 1.24 (0.77, 2.00) | 0.37 | 0.99 (0.38, 2.55) | 0.98 |
| T3 | 2.88 (1.79, 4.65) | 0.000 | 2.32 (0.90, 5.98) | 0.08 |
| T4 | 88.36 (4.87, 14.35) | 0.000 | 8.48 (2.95, 24.40) | 0.000 |
| Tumor location (ref. Right) | 0.05 | |||
| Left | 0.60 (0.39, 0.92) | 0.019 | ||
| Rectum | 1.51 (0.19, 11.92) | 0.70 | ||
| Lymphatic invasion | 1.44 (1.12, 1.86) | 0.005 | 1.62 (1.01, 2.60) | 0.048 |
| Perineural invasion | 1.67 (1.27, 2.21) | 0.000 | 1.42 (0.84, 2.37) | 0.19 |
| Vascular invasion | 1.84 (1.38, 2.47) | 0.000 | 0.40 (0.20, 0.55) | 0.000 |
| Anaesthesia time, min | 1.00 (1.00, 1.00) | 0.16 | 1.00 (1.00, 1.00) | 0.18 |
| Transfusion | 0.93 (0.51, 1.71) | 0.81 | 1.20 (0.50, 2.89) | 0.69 |
| Postoperative treatment | 0.94 (0.67, 1.34) | 0.74 | 0.68 (0.37, 1.25) | 0.21 |
Publisher’s Note: MDPI stays neutral with regard to jurisdictional claims in published maps and institutional affiliations. |
© 2022 by the authors. Licensee MDPI, Basel, Switzerland. This article is an open access article distributed under the terms and conditions of the Creative Commons Attribution (CC BY) license (https://creativecommons.org/licenses/by/4.0/).
Share and Cite
Lee, S.; Pyo, D.H.; Sim, W.S.; Lee, W.Y.; Park, M. Early and Long-Term Outcomes after Propofol-and Sevoflurane-Based Anesthesia in Colorectal Cancer Surgery: A Retrospective Study. J. Clin. Med. 2022, 11, 2648. https://doi.org/10.3390/jcm11092648
Lee S, Pyo DH, Sim WS, Lee WY, Park M. Early and Long-Term Outcomes after Propofol-and Sevoflurane-Based Anesthesia in Colorectal Cancer Surgery: A Retrospective Study. Journal of Clinical Medicine. 2022; 11(9):2648. https://doi.org/10.3390/jcm11092648
Chicago/Turabian StyleLee, Seungwon, Dae Hee Pyo, Woo Seog Sim, Woo Young Lee, and MiHye Park. 2022. "Early and Long-Term Outcomes after Propofol-and Sevoflurane-Based Anesthesia in Colorectal Cancer Surgery: A Retrospective Study" Journal of Clinical Medicine 11, no. 9: 2648. https://doi.org/10.3390/jcm11092648
APA StyleLee, S., Pyo, D. H., Sim, W. S., Lee, W. Y., & Park, M. (2022). Early and Long-Term Outcomes after Propofol-and Sevoflurane-Based Anesthesia in Colorectal Cancer Surgery: A Retrospective Study. Journal of Clinical Medicine, 11(9), 2648. https://doi.org/10.3390/jcm11092648

