Sign in to use this feature.

Years

Between: -

Subjects

remove_circle_outline
remove_circle_outline
remove_circle_outline
remove_circle_outline
remove_circle_outline
remove_circle_outline
remove_circle_outline

Journals

remove_circle_outline
remove_circle_outline
remove_circle_outline
remove_circle_outline
remove_circle_outline
remove_circle_outline
remove_circle_outline
remove_circle_outline
remove_circle_outline
remove_circle_outline
remove_circle_outline
remove_circle_outline
remove_circle_outline
remove_circle_outline
remove_circle_outline
remove_circle_outline

Article Types

Countries / Regions

remove_circle_outline
remove_circle_outline
remove_circle_outline
remove_circle_outline
remove_circle_outline

Search Results (3,663)

Search Parameters:
Keywords = cancer resection

Order results
Result details
Results per page
Select all
Export citation of selected articles as:
11 pages, 495 KB  
Article
Trends in the Management of Bladder Cancer with Emphasis on Frailty: A Nationwide Analysis of More Than 49,000 Patients from a German Hospital Network
by Tobias Klatte, Frederic Bold, Julius Dengler, Michela de Martino, Sven Hohenstein, Ralf Kuhlen, Andreas Bollmann, Thomas Steiner and Nora F. Dengler
Life 2026, 16(1), 169; https://doi.org/10.3390/life16010169 - 21 Jan 2026
Abstract
Background: Bladder cancer (BC) predominantly affects older patients, and their multidisciplinary treatment often includes surgical intervention. Frailty can influence treatment decisions and is associated with poorer outcomes. This study analyses trends in demographics, treatment patterns and frailty in a large, nationwide, real-world inpatient [...] Read more.
Background: Bladder cancer (BC) predominantly affects older patients, and their multidisciplinary treatment often includes surgical intervention. Frailty can influence treatment decisions and is associated with poorer outcomes. This study analyses trends in demographics, treatment patterns and frailty in a large, nationwide, real-world inpatient cohort in Germany. Methods: This retrospective observational study included a total of 49,139 consecutive patients, who received inpatient care for BC at all HELIOS hospitals in Germany between 2016 and 2022. Frailty was assessed using the Hospital Frailty Risk Score (HFRS) and categorised as low (<5), intermediate (5–15), or high (>15). Trends in HFRS, treatment modalities, and demographic variables were analysed using regression models and compared between the periods 2016–2019 and 2020–2022. Results: Of the 49,139 patients, 27,979 were treated between 2016–2019 and 21,160 between 2020–2022. Patients treated in the later period were slightly older but had a lower comorbidity index. The proportion of patients with low frailty increased (73.4% vs. 75.5%, p < 0.01), intermediate frailty decreased (23.5% vs. 21.5%, p < 0.01) and the proportion of highly frail patients remained stable at 3.0% (p = 0.95). Rates of transurethral resection declined over time, whereas rates of RC remained stable (p = 0.12). The use of systemic therapy increased (p = 0.003), particularly among low frailty elderly patients. Early intravesical chemotherapy following transurethral resection declined significantly in 2020–2022 (p < 0.001), particularly among elderly patients with high frailty. Mean length of hospital stay decreased by one day, while ICU admission rates and in-hospital mortality remained stable across time periods. Conclusions: This study shows frailty-specific changes in hospitalisation patterns and inpatient management of BC in Germany, underscoring the value of frailty assessment in population-based research. The proportion of patients classified as having low frailty increased over time. Significant changes in the use of intravesical chemotherapy and systemic therapy were associated with frailty. The decline in early intravesical chemotherapy may have implications for recurrence risk and downstream healthcare utilisation. Full article
Show Figures

Figure 1

16 pages, 745 KB  
Article
Preoperative Cachexia as a Predictor of Postoperative Morbidity and a Target for Home-Based Prehabilitation in Resectable Gastric Cancer
by Vladimir Konstantinovich Lyadov, Tatiana Sergeevna Boldyreva, Alexander Yuryevich Gorshkov, Elena Vitalievna Zyatenkova, Anna Yurievna Ikonnikova, Mikhail Georgievich Chashchin and Vsevolod Nikolaevich Galkin
Cancers 2026, 18(2), 324; https://doi.org/10.3390/cancers18020324 - 20 Jan 2026
Abstract
Background: Gastric cancer (GC) is one of the most common malignancies, requires aggressive treatment, as has a high incidence of complications. The high prevalence of cachexia and comorbidity among GC patients has led to the development of the “prehabilitation” concept. We aimed to [...] Read more.
Background: Gastric cancer (GC) is one of the most common malignancies, requires aggressive treatment, as has a high incidence of complications. The high prevalence of cachexia and comorbidity among GC patients has led to the development of the “prehabilitation” concept. We aimed to investigate the prognostic value of cachexia in the “Western” patient population with resectable GC and to evaluate its utility as an indicator for a home-based prehabilitation program. Methods: This cohort study included 147 patients who underwent surgical treatment for GC from 2019 to 2023. A multivariable analysis was conducted to study the impact of cachexia on postoperative outcomes in 122 patients with resectable GC. The prehabilitation group included 25 patients with cachexia who underwent a 2-week-long multimodal prehabilitation program prior to surgery. The functional results, as well as the 30-day incidence of postoperative complications and 90-day mortality, were evaluated. Results: There were 76 (51.7%) patients with cachexia. Multivariate analysis revealed that cachexia was a significant predictor of all postoperative complications (OR = 5.48, 95% CI 1.85–18.39, p = 0.001), severe postoperative complications (OR = 15.87, 95% CI 3.05–131.81, p < 0.001) and surgical site infection (SSI) (OR = 8.03, 95% CI 1.89–49.09, p = 0.038). Patients in the prehabilitation group had a lower incidence of SSI than in the control group (8.3% vs. 23.5%, p = 0.049). Conclusions: Preoperative cachexia is a potentially modifiable predictor of complications after gastric cancer surgery, and its identification may help define high-risk patients for proactive multimodal prehabilitation. Full article
Show Figures

Figure 1

21 pages, 1236 KB  
Review
Optimizing Lymph Node Staging in Non-Small Cell Lung Cancer Surgery: Evidence, Guidelines, and Quality Improvement Strategies
by Dimitrios E. Magouliotis, Vasiliki Androutsopoulou, Ugo Cioffi, Fabrizio Minervini, Noah Sicouri, Andrew Xanthopoulos and Marco Scarci
J. Clin. Med. 2026, 15(2), 831; https://doi.org/10.3390/jcm15020831 - 20 Jan 2026
Abstract
Lymph node evaluation is a central determinant of oncologic quality in the surgical management of non-small-cell lung cancer (NSCLC). Accurate assessment of hilar and mediastinal lymph nodes underpins pathologic staging, informs postoperative treatment decisions, and remains essential for prognostic stratification and assessment of [...] Read more.
Lymph node evaluation is a central determinant of oncologic quality in the surgical management of non-small-cell lung cancer (NSCLC). Accurate assessment of hilar and mediastinal lymph nodes underpins pathologic staging, informs postoperative treatment decisions, and remains essential for prognostic stratification and assessment of resection completeness. Although international guidelines provide clear recommendations, real-world data consistently demonstrate substantial variability in lymph node staging practices, with inadequate evaluation frequently observed across institutions and surgical settings. Insufficient nodal assessment, manifested as the omission of mediastinal staging, limited station sampling, or low lymph node yield, is associated with reduced nodal upstaging, inappropriate omission of adjuvant therapy, higher recurrence rates, and inferior long-term survival. Contemporary guidance from major societies, including the National Comprehensive Cancer Network, European Society of Thoracic Surgeons, International Association for the Study of Lung Cancer, and the Commission on Cancer, has increasingly converged on a station-based definition of adequacy, emphasizing systematic evaluation of both N1 and N2 nodal stations rather than reliance on absolute node counts alone. In parallel, preoperative mediastinal staging algorithms have evolved toward routine use of endobronchial and esophageal ultrasound as first-line invasive modalities, reserving surgical mediastinoscopy for selected high-risk or inconclusive cases. Evidence from randomized trials, population-level databases, and meta-analyses indicates that thorough nodal assessment improves staging accuracy and survival, while recent data support the selective use of lobe-specific or tailored lymphadenectomy in carefully staged, low-risk early disease. Finally, emerging quality improvement interventions, including standardized specimen handling, operative checklists, and multidisciplinary feedback mechanisms, have demonstrated measurable improvements in guideline adherence and patient outcomes. This narrative review integrates contemporary evidence and guideline recommendations to outline a practical framework for implementing reliable, high-quality lymph node staging in modern lung cancer surgery. Full article
Show Figures

Figure 1

16 pages, 6252 KB  
Article
Genomic and Molecular Associations with Preoperative Immune Checkpoint Inhibition in Patients with Stage III Clear Cell Renal Cell Carcinoma
by Wesley H. Chou, Lucy Lawrence, Emma Neham, Shreeram Akilesh, Amy E. Moran, Christopher L. Corless, Lisa Langmesser, Beyza Cengiz, Kazumi Eckenstein, Jen-Jane Liu, Sudhir Isharwal, Christopher L. Amling, Marshall C. Strother, Nicholas H. Chakiryan and George V. Thomas
Cancers 2026, 18(2), 312; https://doi.org/10.3390/cancers18020312 - 20 Jan 2026
Abstract
Background and Objective: Patients with stage III clear cell renal cell carcinoma (ccRCC) have a high risk for disease recurrence post-nephrectomy. To mitigate overtreatment, there is a pressing need to determine who benefits from immune checkpoint inhibition (ICI) around the time of [...] Read more.
Background and Objective: Patients with stage III clear cell renal cell carcinoma (ccRCC) have a high risk for disease recurrence post-nephrectomy. To mitigate overtreatment, there is a pressing need to determine who benefits from immune checkpoint inhibition (ICI) around the time of surgical resection. We performed digital spatial analysis of both gene and protein expression in stage III ccRCC tumors, some of which had preoperative ICI exposure. Methods: Nephrectomy specimens from stage III ccRCC patients were analyzed using the Nanostring GeoMx Digital Spatial Profiler. Differential expression analysis was performed and validated using NCT02210117 trial data to identify genes associated with both ICI and clinical response. A gene score was then generated to predict overall survival in patients from The Cancer Genome Atlas (TCGA). Key Findings and Limitations: In a small cohort of 19 patients, RNA expression significantly differed based on preoperative ICI exposure and recurrence status—CD8+ effector and central-memory T-cell signatures were less prevalent in the treatment-naïve with recurrence group. Three out of four patients with preoperative immune checkpoint inhibition recurred. External validation yielded a four-gene set (GZMK, GZMA, ITGAL, and IL7R), where higher expression levels predicted better overall survival in the TCGA cohort (p = 0.005). Conclusions and Clinical Implications: Preoperative ICI favorably altered the tumor microenvironment to resemble that of treatment-naïve patients without recurrence but did not translate to improved survival. Upon external validation, the genes GZMK, GZMA, ITGAL, and IL7R were modifiable with ICI and associated with improved overall survival. Further investigation is needed to assess if patients with low baseline expression of these genes may benefit from ICI around the time of surgery. Full article
(This article belongs to the Special Issue Metabolism and Precision Oncology)
Show Figures

Figure 1

41 pages, 3913 KB  
Review
Advancing Bioconjugated Quantum Dots with Click Chemistry and Artificial Intelligence to Image and Treat Glioblastoma
by Pranav Kalaga and Swapan K. Ray
Cells 2026, 15(2), 185; https://doi.org/10.3390/cells15020185 - 19 Jan 2026
Viewed by 54
Abstract
Glioblastoma (GB) is one of the most aggressive and invasive cancers. Current treatment protocols for GB include surgical resection, radiotherapy, and chemotherapy with temozolomide. However, despite these treatments, physicians still struggle to effectively image, diagnose, and treat GB. As such, patients frequently experience [...] Read more.
Glioblastoma (GB) is one of the most aggressive and invasive cancers. Current treatment protocols for GB include surgical resection, radiotherapy, and chemotherapy with temozolomide. However, despite these treatments, physicians still struggle to effectively image, diagnose, and treat GB. As such, patients frequently experience recurrence of GB, demanding innovative strategies for early detection and effective therapy. Bioconjugated quantum dots (QDs) have emerged as powerful nanoplatforms for precision imaging and targeted drug delivery due to their unique optical properties, tunable size, and surface versatility. Due to their extremely small size, QDs can cross the blood–brain barrier and be used for precision imaging of GB. This review explores the integration of QDs with click chemistry for robust bioconjugation, focusing on artificial intelligence (AI) to advance GB therapy, mechanistic insights into cellular uptake and signaling, and strategies for mitigating toxicity. Click chemistry enables site-specific and stable conjugation of targeting ligands, peptides, and therapeutic agents to QDs, enhancing selectivity and functionalization. Algorithms driven by AI may facilitate predictive modeling, image reconstruction, and personalized treatment planning, optimizing QD design and therapeutic outcomes. We discuss molecular mechanisms underlying interactions of QDs with GB, including receptor-mediated endocytosis and intracellular trafficking, which influence biodistribution and therapeutic efficacy. Use of QDs in photodynamic therapy, which uses reactive oxygen species to induce apoptotic cell death in GB cells, is an innovative therapy that is covered in this review. Finally, this review addresses concerns associated with the toxicity of metal-based QDs and highlights how QDs can be coupled with AI to develop new methods for precision imaging for detecting and treating GB for induction of apoptosis. By converging nanotechnology and computational intelligence, bioconjugated QDs represent a transformative platform for paving a safer path to smarter and more effective clinical interventions of GB. Full article
(This article belongs to the Special Issue Cell Death Mechanisms and Therapeutic Opportunities in Glioblastoma)
Show Figures

Figure 1

20 pages, 919 KB  
Review
Clinical Trials Update in Resectable Esophageal Cancer
by Aaron J. Dinerman and Shamus R. Carr
Cancers 2026, 18(2), 300; https://doi.org/10.3390/cancers18020300 - 19 Jan 2026
Viewed by 47
Abstract
Management of resectable esophageal cancer has evolved into a multidisciplinary paradigm centered on multimodality therapy. Historically, induction chemoradiotherapy followed by surgery, as established by the CROSS trial, became the standard of care for locally advanced disease due to improvements in R0 resection rates [...] Read more.
Management of resectable esophageal cancer has evolved into a multidisciplinary paradigm centered on multimodality therapy. Historically, induction chemoradiotherapy followed by surgery, as established by the CROSS trial, became the standard of care for locally advanced disease due to improvements in R0 resection rates and overall survival. More recently, the ESOPEC trial reexamined this paradigm in esophageal adenocarcinoma, demonstrating superior survival and improved systemic disease control with perioperative chemotherapy using the FLOT regimen compared with chemoradiotherapy. In parallel, the MATTERHORN trial further advanced perioperative treatment by showing improved event-free survival with the addition of the immune checkpoint inhibitor durvalumab to FLOT chemotherapy. Alongside these systemic therapy advances, surgical management has transitioned toward minimally invasive and robotic-assisted esophagectomy, offering equivalent oncologic outcomes with reduced perioperative morbidity. This review summarizes the evolving evidence from pivotal clinical trials, highlights ongoing studies integrating immunotherapy, and discusses emerging strategies such as adoptive cell transfer which currently is under investigation for metastatic recurrence, but in the future may provide additional treatment options for resectable esophageal cancer. Full article
(This article belongs to the Special Issue Evolving Role of Surgery in Thoracic Oncology)
Show Figures

Figure 1

20 pages, 2671 KB  
Review
An Updated Review of Combined Hepatocellular Cholangiocarcinoma: A Rare and Poorly Understood Neoplasm
by Gavin Low, Xu Jing Qian, Ali Ramji, Blaire Anderson, Safwat Girgis, Karim Samji and Mitchell P. Wilson
Diagnostics 2026, 16(2), 314; https://doi.org/10.3390/diagnostics16020314 - 19 Jan 2026
Viewed by 187
Abstract
Combined hepatocellular cholangiocarcinoma (cHCC-CC) is a rare and poorly understood primary liver cancer. First identified over a century ago, it has been referred to by various names and reclassified multiple times since the initial description. Diagnosis is extremely challenging as the tumor can [...] Read more.
Combined hepatocellular cholangiocarcinoma (cHCC-CC) is a rare and poorly understood primary liver cancer. First identified over a century ago, it has been referred to by various names and reclassified multiple times since the initial description. Diagnosis is extremely challenging as the tumor can mimic hepatocellular carcinoma (HCC) or intrahepatic cholangiocarcinoma (ICC) on imaging or show overlapping features of both. The tumor may also be incorrectly diagnosed with biopsy due to inadequate tissue sampling. As such, many tumors are only correctly diagnosed histologically following surgical resection or transplantation for presumptive HCC. A variety of treatment options are available, although no national or international consensus exists regarding the optimal treatment strategy. Treatment outcomes vary with cHCC-CC showing an intermediate prognosis between HCC and ICC. In this updated review, we provide a conceptual overview of this intriguing neoplasm, including its classification and origins, epidemiology, clinical characteristics, and diagnostic and treatment options. Finally, we discuss the use of radiomics artificial intelligence (AI) to address challenges in lesion differentiation from HCC and ICC, and in predicting post-treatment survival and recurrence. Full article
Show Figures

Figure 1

20 pages, 1788 KB  
Review
Normalizing the Tumor Microenvironment: A New Frontier in Ovarian Cancer Therapy
by Adam P. Jones, Yanxia Zhao, Bo R. Rueda, Oladapo O. Yeku and Lei Xu
Int. J. Mol. Sci. 2026, 27(2), 939; https://doi.org/10.3390/ijms27020939 - 17 Jan 2026
Viewed by 109
Abstract
Ovarian cancer is one of the deadliest gynecological malignancies, where most patients become clinically symptomatic at advanced stages of disease due to the lack of effective diagnostic screening. Despite recent advances in surgical resection and chemotherapy, recurrent ovarian cancer remains largely refractory to [...] Read more.
Ovarian cancer is one of the deadliest gynecological malignancies, where most patients become clinically symptomatic at advanced stages of disease due to the lack of effective diagnostic screening. Despite recent advances in surgical resection and chemotherapy, recurrent ovarian cancer remains largely refractory to treatment, resulting in poor prognosis. The ovarian cancer tumor microenvironment (TME) is highly abnormal and presents a significant barrier to successful therapy. A combination of abnormal vasculature, desmoplastic extracellular matrix, and aberrantly activated hypoxic and immune-suppressive pathways culminates in promoting tumor growth, dissemination, chemoresistance, and immunosuppression. Whilst immune checkpoint inhibitors have shown success in other cancers, their application in ovarian cancer, particularly at advanced stages, remains limited. In this review, we discussed the application of tumor extracellular matrix normalizing therapies in preclinical models of advanced ovarian cancer, and their synergistic benefit to chemotherapy and immunotherapy. Collectively, these insights underscore TME normalization as a promising therapeutic strategy with the potential to improve ovarian cancer management. Full article
(This article belongs to the Special Issue Gynecologic Oncology: Tumor Microenvironment and Novel Therapeutics)
Show Figures

Figure 1

17 pages, 1013 KB  
Article
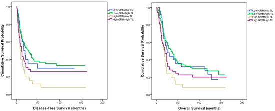
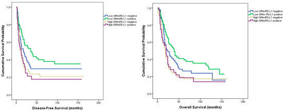
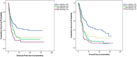
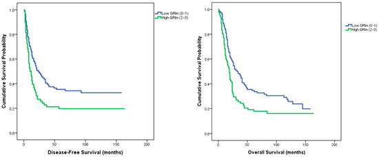
Integration of the GRIm Score with Pathologic Immune and Stromal Markers to Develop a Combined Prognostic Model in Gastric Cancer: A Retrospective Single-Center Study
by Gökhan Öztürk, Ebru Taştekin, Canberk Topuz, Aysun Fatma Akkuş, Tayyip İlker Aydın, Sernaz Topaloğlu, Bülent Erdoğan, Muhammet Bekir Hacıoğlu and Ahmet Küçükarda
Medicina 2026, 62(1), 192; https://doi.org/10.3390/medicina62010192 - 16 Jan 2026
Viewed by 116
Abstract
Background and Objectives: The Gustave Roussy Immune (GRIm) score, reflecting systemic inflammation and nutritional status, has emerged as a simple and reproducible prognostic biomarker in various malignancies. However, its prognostic interaction with tumor microenvironmental factors remains unclear in gastric cancer. The primary [...] Read more.
Background and Objectives: The Gustave Roussy Immune (GRIm) score, reflecting systemic inflammation and nutritional status, has emerged as a simple and reproducible prognostic biomarker in various malignancies. However, its prognostic interaction with tumor microenvironmental factors remains unclear in gastric cancer. The primary aim of this study was to evaluate the prognostic value of the GRIm score in patients with resectable gastric adenocarcinoma, while the secondary aim was to determine whether integrating the GRIm score with tumor microenvironment–related pathological markers could improve prognostic stratification. Materials and Methods: This retrospective study analyzed 188 patients with resectable gastric adenocarcinoma treated at the Trakya University Faculty of Medicine between 2007 and 2018. GRIm scores were calculated from preoperative lactate dehydrogenase (LDH), albumin, and neutrophil-to-lymphocyte ratio (NLR) values. Pathologic parameters, including programmed death-ligand 1 (PD-L1) expression (combined positive score [CPS] ≥ 1 vs. <1), tumor–stroma ratio (TSR; stromal component ≥ 50% vs. <50%), and tumor-infiltrating lymphocyte (TIL) density (CD8+ ≥ 10% vs. <10%), were evaluated on surgical specimens. Survival outcomes were assessed using Kaplan–Meier and multivariate Cox analyses. Results: The study population had a mean age of 61.8 years and was predominantly male (72.3%). Patients with low GRIm scores had significantly longer disease-free survival (DFS; 24 vs. 12 months; p = 0.004) and overall survival (OS; 32 vs. 19 months; p = 0.006). In multivariate analysis, the GRIm score remained an independent predictor for both disease-free survival (p = 0.035) and overall survival (p = 0.044). Among combined models, the GRIm–TSR classification provided the most pronounced stratification (median DFS = 35 vs. 12 months; OS = 45 vs. 19 months; p = 0.014 and 0.001, respectively), retaining independent prognostic significance (hazard ratio [HR] = 1.23; p = 0.005). Integrating GRIm with PD-L1 and TIL density also improved prognostic discrimination. Conclusions: The GRIm score is a robust and cost-effective biomarker that independently predicts disease-free survival and overall survival in resectable gastric adenocarcinoma. Its combination with microenvironmental markers—PD-L1, TIL, and TSR—captures complementary biological dimensions of tumor aggressiveness, offering an integrative and clinically feasible framework for individualized risk assessment and postoperative management. Prospective multicenter validation is warranted. Full article
(This article belongs to the Section Oncology)
Show Figures

Figure 1

16 pages, 689 KB  
Article
The Role of Cytoreductive Surgery with Hyperthermic Intraperitoneal Chemotherapy (HIPEC) in Peritoneal GIST-Induced Sarcomatosis (GISTosis)
by John Spiliotis, Nikolaos Kopanakis, Athanasios Rogdakis, George Peppas, Aphrodite Fotiadou, Kyriacos Evangelou and Nikolaos Vassos
J. Clin. Med. 2026, 15(2), 742; https://doi.org/10.3390/jcm15020742 - 16 Jan 2026
Viewed by 161
Abstract
Background: The introduction of tyrosine kinase inhibitors has revolutionised the treatment of gastrointestinal stromal tumours (GISTs), yet the role of cytoreductive surgery (CRS) plus hyperthermic intraperitoneal chemotherapy (HIPEC) in peritoneal GISTosis remains controversial. Methods: A retrospective analysis was conducted on patients with peritoneal [...] Read more.
Background: The introduction of tyrosine kinase inhibitors has revolutionised the treatment of gastrointestinal stromal tumours (GISTs), yet the role of cytoreductive surgery (CRS) plus hyperthermic intraperitoneal chemotherapy (HIPEC) in peritoneal GISTosis remains controversial. Methods: A retrospective analysis was conducted on patients with peritoneal GISTosis who underwent CRS plus HIPEC in an 18-year period. We analysed the clinicopathological characteristics and evaluated the perioperative and long-term outcomes based on the extent of disease (peritoneal cancer index, PCI), the resection (completeness of cytoreduction score) and the IM-administration. The survival factors were also analysed and the Kaplan–Meier estimator to model and estimate overall (OS) and progression-free survival (PFS). The median follow-up period was 72 months (range, 12–146). Results: A total of 25 patients (M:F = 15:10) with a median age of 57 years (range, 32–69) underwent CRS with HIPEC for peritoneal GIST metastases, detected either synchronously (n = 11) or metachronously (n = 14). The media PCI score was 9 (range, 4–20) and complete cytoreduction was achieved in 80%. Grade III complications were observed in two patients, whereas there was no postoperative mortality. Neoadjuvant imatinib-mesylate (IM) therapy was administered in 60% of patients who detected with metachronous metastases (n = 8/14), whereas adjuvant IM therapy was administered in 19 of 25 patients. Median OS was 62 months (95% CI = 22.8–101.2). Median OS and DFS for patients with PCI scores ≤ 10 were significantly longer compared to those with PCI scores > 10 (p = 0.009 and p = 0.024, respectively). Patients with CC scores of 0–1 had a significantly longer OS compared to those with CC scores of 2 (p = 0.005) and 3 (p = 0.002) and longer PFS compared to those with CC scores of 3 (p = 0.005). The need for imatinib did not significantly impact OS (p = 0.240) or PFS (p = 0.243). Conclusions: CRS combined with HIPEC shows promising results in peritoneal GISTosis, especially in patients with lower PCI and CC scores. Until larger studies validate its safety and efficacy, it should be primarily performed in expert hands in specialised peritoneal surface oncology centres. Full article
Show Figures

Figure 1

22 pages, 2522 KB  
Article
Oncological Safety of High Hydrostatic Pressure Treatment: Effects on Cancer-Associated Fibroblast-like Transdifferentiation of Adipose Stromal Cells
by Julia Kristin Brach, Vivica Freiin Grote, Anika Jonitz-Heincke, Rainer Bader, Daniel Strüder, Marco Hoffmann, Sven Gerlach, Petra Fischer, Markus Wirth, Tim Ruhl, Justus P. Beier, Agmal Scherzad and Stephan Hackenberg
Curr. Issues Mol. Biol. 2026, 48(1), 91; https://doi.org/10.3390/cimb48010091 - 16 Jan 2026
Viewed by 119
Abstract
Oncological safety is essential for autologous reconstruction after resection of cartilage-infiltrating head and neck tumors. High hydrostatic pressure (HHP) enables complete devitalization of tumor-infiltrated tissue while preserving extracellular matrix integrity. However, residual soluble tumor-derived products may influence infiltrating stromal cells. This study examined [...] Read more.
Oncological safety is essential for autologous reconstruction after resection of cartilage-infiltrating head and neck tumors. High hydrostatic pressure (HHP) enables complete devitalization of tumor-infiltrated tissue while preserving extracellular matrix integrity. However, residual soluble tumor-derived products may influence infiltrating stromal cells. This study examined whether conditioned media (CM) from HHP-treated head and neck squamous cell carcinoma (HNSCC) cells induce cancer-associated fibroblast (CAF)-like transdifferentiation of human adipose stromal cells (hASCs). HASCs were exposed to CM from untreated or HHP-treated (300 MPa) HNSCC cells, tumor-CM (TCM), or TGF-β1. Morphological changes in hASCs were evaluated, and CAF marker expression was analyzed by qRT-PCR, immunofluorescence, Western blot, and ELISA. Cytokines were quantified via multiplex analysis. TGF-β1 induced a CAF-like phenotype with α-SMA upregulation, whereas TCM and 0 MPa-CM caused only modest increases in selected markers. Although 300 MPa-CM did not induce CAF-associated molecular signatures, hASCs exhibited morphological alterations, underscoring that morphology alone is insufficient to define CAF transdifferentiation. Cytokine secretion was elevated in response to all CM conditions. These findings indicate that HHP treatment at 300 MPa abolishes the paracrine CAF-inducing potential of tumor-derived mediators in vitro, supporting the oncological safety of HHP-treated tissues under these experimental condition, although further in vivo validation is warranted Full article
(This article belongs to the Section Molecular Medicine)
Show Figures

Figure 1

19 pages, 3465 KB  
Article
Clinical Endoscopic Submucosal Dissection of Trainees Tutored by Experts—ESGE Endorsed Courses and Live Endoscopic Events 2011–2015
by Daniel Neureiter, Naohisa Yahagi, Tsuneo Oyama, Takashi Toyonaga, Tobias Kiesslich, Andrej Wagner, Franz Ludwig Dumoulin, Alexander Ziachehabi, Hans-Peter Allgaier, Michael Anzinger, Gerhard Kleber, Hans Seifert, Alberto Herreros de Tejada, Ingo Steinbrück, Barbara Tribl, Alberto Tringali, Josef Holzinger, Alanna Ebigbo, João Santos-Antunes, Juergen Hochberger, Sergey V. Kantsevoy, Mathieu Pioche, Thierry Ponchon, Frieder Berr and ESD Tutoring Training Groupadd Show full author list remove Hide full author list
J. Clin. Med. 2026, 15(2), 675; https://doi.org/10.3390/jcm15020675 - 14 Jan 2026
Viewed by 127
Abstract
Background/Objectives: Endoscopic submucosal dissection (ESD) is a state-of-the-art en bloc resection for early gastro-intestinal cancers and precursors developed and validated in Japan. Western expertise with this complex technique remains limited. Tutored training might be optimal for patients and ESD learning. We established [...] Read more.
Background/Objectives: Endoscopic submucosal dissection (ESD) is a state-of-the-art en bloc resection for early gastro-intestinal cancers and precursors developed and validated in Japan. Western expertise with this complex technique remains limited. Tutored training might be optimal for patients and ESD learning. We established ESD tutoring courses led by experienced Japanese experts to provide (i) optimal long-term curative outcomes and low complication rates for patients and (ii) hands-on training on difficult lesions for European endoscopists under direct expert supervision. Methods: Prospective data from 2011 to 2015 (follow-up to 12/2024) were analyzed. A total of 118 neoplasms (50% HGIEN and cancer) in 101 patients (median age 68 [37–91] years; 38% with significant comorbidities) were treated with expert or tutored ESD. Japanese experts performed 28 ESDs, while 22 trained beginners conducted 90 supervised procedures on difficult lesions during 5 live and 20 tutoring events (1–4 days each). Results: Analysis of the complete data showed curative and en bloc resection rates of 88% and 95%, respectively, with no recurrence after R0 resections during a median follow-up of 9.8 [1.5–14.9] years. Long-term survival remained recurrence-free after endoscopic resection of 3 recurrent adenomas (at R1/Rx) and curative surgery/2nd ESD for 5 non-curative ESDs. Adverse events occurred in 9.3% without emergency surgery or 30-day mortality. Comparing expert-only vs. tutored ESD procedures, beginners correctly applied curative ESD indications in 94% of 118 neoplasms. Experts resected larger lesions (22 cm2) at a rate of 9.3 cm2/h in 121 min. Tutored beginners achieved a 75% [25–100] self-completion rate on 33% smaller lesions in 112 min. Conclusions: ESD tutoring courses led by Japanese experts ensure excellent patient outcomes and standardized procedural training. This model may foster professional ESD performance across European referral centers. Full article
(This article belongs to the Section Gastroenterology & Hepatopancreatobiliary Medicine)
Show Figures

Figure 1

28 pages, 2534 KB  
Article
The Effect of Saliva on the Adhesion of Candida albicans to Prosthodontic Obturator Materials
by Karl M. Lyons, Robert M. Love, John Beumer, Mahmoud M. Bakr and Richard D. Cannon
Oral 2026, 6(1), 13; https://doi.org/10.3390/oral6010013 - 14 Jan 2026
Viewed by 92
Abstract
Objectives: This study aimed to investigate the influence of saliva on the adhesion of C. albicans to various obturator prosthetic materials. Methods: This in vitro study investigated C. albicans adherence using clinical isolates, including one isolated from an obturator. The adherence [...] Read more.
Objectives: This study aimed to investigate the influence of saliva on the adhesion of C. albicans to various obturator prosthetic materials. Methods: This in vitro study investigated C. albicans adherence using clinical isolates, including one isolated from an obturator. The adherence of C. albicans cells to heat-cured acrylic, self-cured acrylic, a tissue conditioner, and silicone was measured using static and flow adhesion assays. The effect of pooled saliva from patients receiving radiotherapy or healthy volunteers on C. albicans adherence was determined. The adsorption of salivary proteins to acrylic coupons was investigated using SDS-polyacrylamide gel electrophoresis, Western blotting, and mass spectrometry. Results: It was found that C. albicans adhered to all obturator materials. Saliva was found to approximately double the adhesion of C. albicans to obturator materials, with saliva from patients who had received radiotherapy as part of their cancer treatment tending to increase adhesion more than saliva from healthy volunteers. The protein SPLUNC2 was found to be selectively concentrated by heat- and self-cured acrylic and may contribute to the adhesion of C. albicans to acrylic. Conclusions: This study found that saliva promotes the adhesion of C. albicans, and salivary proteins may play a role in facilitating this process. Adhesion was lower to acrylic-based prosthetic materials than to other materials. This suggests that interim obturators should be made from self-cured acrylic, and definitive obturators should be made from heat-cured acrylic. Full article
Show Figures

Figure 1

14 pages, 2802 KB  
Article
MRI, PET/CT and PET/MRI Fusion in the Assessment of Lymph Node Metastases in Head and Neck Cancer
by Nikolaus Poier-Fabian, Christian Asel, Hanna Cristurean, Michael Mayrhofer, Veronika Moser, Jan Maximilian Janssen, Thomas Ziegler, Michael Gabriel, Nina Rubicz and Paul Martin Zwittag
Diagnostics 2026, 16(2), 252; https://doi.org/10.3390/diagnostics16020252 - 13 Jan 2026
Viewed by 208
Abstract
Background/Objective: The aim of the present study is to compare diagnostic accuracies of MRI, PET/CT and fused PET/MRI in the assessment of cervical lymph nodes in patients with head and neck cancer (HNC). Methods: Imaging data of 37 patients who underwent MRI, PET/CT, [...] Read more.
Background/Objective: The aim of the present study is to compare diagnostic accuracies of MRI, PET/CT and fused PET/MRI in the assessment of cervical lymph nodes in patients with head and neck cancer (HNC). Methods: Imaging data of 37 patients who underwent MRI, PET/CT, and surgery at our center were retrospectively merged into PET/MR images. Histopathological results of neck dissections and lymph node resections served as the gold standard. Results: MRI and PET/CT were performed on the same day. The mean interval between imaging and surgery was 20 (±19.5) days. All three imaging modalities identified the same number of true positive and false negative cases, resulting in identical sensitivity estimates of 66.7%. Specificities were 90.9% for MRI, 95.5% for PET/CT, and 100% for PET/MRI. The corresponding positive predictive values (PPVs) were 83.3%, 80.7%, and 81.5%, while the negative predictive values (NPVs) were 80.0%, 90.9%, and 100%, respectively. Ten false results are further analyzed regarding side and level of the affected lymph node, and intersections of the three modalities are displayed. In 12 (32.4%) cases, additional findings are depicted in PET/CT, 5 (13.5%) of which are histologically confirmed to be further malignancies. Conclusions: Software-based PET/MRI is an easy-to-perform procedure and provides valuable clinical information in select clinical questions. Furthermore, whole-body acquisition by PET/CT leads to a notable number of additional malignant diagnoses, which especially favors its use in high-risk patients. Full article
(This article belongs to the Section Medical Imaging and Theranostics)
Show Figures

Figure 1

18 pages, 450 KB  
Review
Post-NAC Microcalcifications in Breast Cancer: Rethinking Surgical Indications in the Era of Precision Oncology
by Sabatino D’Archi, Beatrice Carnassale, Lorenzo Scardina, Cristina Accetta, Flavia De Lauretis, Alba Di Leone, Antonio Franco, Federica Gagliardi, Stefano Magno, Francesca Moschella, Maria Natale, Alejandro Martin Sanchez, Marta Silenzi, Pierluigi Maria Rinaldi and Gianluca Franceschini
J. Pers. Med. 2026, 16(1), 49; https://doi.org/10.3390/jpm16010049 - 12 Jan 2026
Viewed by 210
Abstract
Residual microcalcifications after neoadjuvant chemotherapy (NAC) in breast cancer remain a complex diagnostic and therapeutic challenge. Although NAC has significantly improved pathologic complete response (pCR) rates and transformed surgical approaches, the persistence or evolution of microcalcifications may not accurately reflect residual disease. This [...] Read more.
Residual microcalcifications after neoadjuvant chemotherapy (NAC) in breast cancer remain a complex diagnostic and therapeutic challenge. Although NAC has significantly improved pathologic complete response (pCR) rates and transformed surgical approaches, the persistence or evolution of microcalcifications may not accurately reflect residual disease. This discrepancy complicates radiologic interpretation, impacts surgical decision-making, and may lead to overtreatment or unnecessary mastectomies. This review synthesizes current evidence on the radiologic–pathologic correlation of post-NAC microcalcifications, their prognostic value, and their relevance to guiding surgical management in contemporary precision oncology. A narrative review of the literature was performed, focusing on imaging evolution after NAC, pathologic correlations, predictive and prognostic implications, and the role of microcalcifications in defining optimal surgical strategies, ranging from breast-conserving surgery to mastectomy. Emerging contributions from digital breast tomosynthesis, contrast-enhanced mammography (CEM), Magnetic Resonance (MR) and radiomics are also examined. Studies consistently demonstrate that residual microcalcifications are often poor predictors of viable tumor tissue after NAC. Up to half of cases with persistent calcifications may reflect minimal or absent residual invasive cancer, whereas calcifications may also persist in areas of treatment-induced necrosis or fibrosis. Reliance on calcifications alone may therefore lead to unnecessary extensive resections. Conversely, specific morphologic patterns, especially fine pleomorphic or branching calcifications, are more strongly associated with residual malignancy. Advanced imaging and radiomics show promise in improving predictive accuracy. Residual microcalcifications after NAC should not be interpreted as a direct surrogate of residual disease. A multimodal assessment integrating imaging evolution, tumor biology, and treatment response is essential to optimize surgical planning and avoid overtreatment. Precision surgery in the NAC era increasingly requires individualized decision-making supported by advanced imaging and robust radiologic–pathologic correlation. Full article
(This article belongs to the Special Issue Breast Cancer: New Advances in Diagnosis and Personalized Therapies)
Show Figures

Graphical abstract

Back to TopTop