Effects of Physical Activity on Daily Physical Function in Chinese Middle-Aged and Older Adults: A Longitudinal Study from CHARLS
Abstract
1. Introduction
2. Methods
2.1. Study Design and Participants
2.2. Assessments
2.2.1. Daily Physical Function
2.2.2. Physical Activity
2.2.3. Covariates
2.3. Statistical Analysis
3. Results
3.1. Demographic Characteristics
3.2. Physical Activity and Physical Function Impairment Rate
3.3. Subgroup Analysis
3.4. Sensitivity Analysis
4. Discussion
5. Conclusions
Author Contributions
Funding
Institutional Review Board Statement
Informed Consent Statement
Data Availability Statement
Conflicts of Interest
References
- Coelho-Junior, H.J.; Calvani, R.; Picca, A.; Gonçalves, I.O.; Landi, F.; Bernabei, R.; Cesari, M.; Uchida, M.C.; Marzetti, E. Association between dietary habits and physical function in brazilian and italian older women. Nutrients 2020, 12, 1635. [Google Scholar] [CrossRef]
 - Sugiura, Y.; Tanimoto, Y.; Watanabe, M.; Tsuda, Y.; Kimura, M.; Kusabiraki, T.; Kono, K. Handgrip strength as a predictor of higher-level competence decline among community-dwelling Japanese elderly in an urban area during a 4-year follow-up. Arch. Gerontol. Geriatr. 2013, 57, 319–324. [Google Scholar] [CrossRef]
 - Ishizaki, T.; Furuna, T.; Yoshida, Y.; Iwasa, H.; Shimada, H.; Yoshida, H.; Kumagai, S.; Suzuki, T. Declines in physical performance by sex and age among nondisabled community-dwelling older Japanese during a 6-year period. J. Epidemiol. 2011, 21, 176–183. [Google Scholar] [CrossRef]
 - Lyu, Y.; Yu, X.; Yuan, H.C.; Yi, X.R.; Dong, X.S.; Ding, M.; Lin, X.Y.; Wang, B.Z. Associations between dietary patterns and physical fitness among Chinese elderly. Public Health Nutr. 2021, 24, 4466–4473. [Google Scholar] [CrossRef]
 - Zhang, L.; Cui, H.J.; Chen, Q.Z.; Li, Y.; Yang, C.X.; Yang, Y.F. A web-based dynamic Nomogram for predicting instrumental activities of daily living disability in older adults: A nationally representative survey in China. BMC Geriatr. 2021, 21, 311. [Google Scholar] [CrossRef]
 - Guralnik, J.M.; Ferrucci, L.; Simonsick, E.M.; Salive, M.E.; Wallace, R.B. Lower-extremity function in persons over the age of 70 years as a predictor of subsequent disability. N. Engl. J. Med. 1995, 332, 556–562. [Google Scholar] [CrossRef]
 - Studenski, S.; Perera, S.; Patel, K.; Rosano, C.; Faulkner, K.; Inzitari, M.; Brach, J.; Chandler, J.; Cawthon, P.; Connor, E.B. Gait speed and survival in older adults. Jama 2011, 305, 50–58. [Google Scholar] [CrossRef]
 - Nakazawa, A.; Nakamura, K.; Kitamura, K.; Yoshizawa, Y. Association Between Activities of Daily Living and Mortality Among Institutionalized Elderly Adults in Japan. J. Epidemiol. 2012, 22, 501–507. [Google Scholar] [CrossRef]
 - Hlebichuk, J.L.; Gretebeck, R.J.; Garnier-Villarreal, M.; Piacentine, L.B.; Singh, M.; Gretebeck, K.A. Physical Activity, Inflammation, and Physical Function in Older Adults: Results From the Health & Retirement Study. Biol. Res. Nurs. 2022. [Google Scholar] [CrossRef]
 - Hu, X.Q.; Zeng, Y.H.; Zhen, X.M.; Zhang, H.; Li, Y.Y.; Gu, S.Y.; Dong, H.J. Cognitive and physical function of people older than 80 years in China from 1998 to 2014. J. Int. Med. Res. 2018, 46, 2810–2827. [Google Scholar] [CrossRef]
 - Johnston, K.J.; Wen, H.F.; Hockenberry, J.M.; Maddox, K.E.J. Association Between Patient Cognitive and Functional Status and Medicare Total Annual Cost of Care Implications for Value-Based Payment. JAMA Intern. Med. 2018, 178, 1489–1497. [Google Scholar] [CrossRef] [PubMed]
 - Zhang, L.; Fang, Y. A study on the prediction of the scale of disablement and its cost of care for the elderly in urban and rural areas in China from 2020 to 2050. Chin. J. Health Stat. 2021, 38, 39–42. [Google Scholar]
 - Zhao, H. The relationship between resource endowment and quality of home care for urban elderly with disabilities. Chin. Health Serv. Manag. 2013, 30, 711–714. [Google Scholar]
 - Halaweh, H.; Willen, C.; Svantesson, U. Association between physical activity and physical functioning in community-dwelling older adults. Eur. J. Physiother. 2017, 19, 40–47. [Google Scholar] [CrossRef]
 - Hrubeniuk, T.J.; Senechal, M.; Mayo, A.; Bouchard, D.R. Association between physical function and various patterns of physical activity in older adults: A cross-sectional analysis. Aging Clin. Exp. Res. 2020, 32, 1017–1024. [Google Scholar] [CrossRef]
 - Dong, X.; Yi, X.; Ding, M.; Gao, Z.; McDonough, D.J.; Yi, N.; Qiao, W. A Longitudinal Study of a Multicomponent Exercise Intervention with Remote Guidance among Breast Cancer Patients. Int. J. Environ. Res. Public Health 2020, 17, 3425. [Google Scholar] [CrossRef]
 - Dong, X.; Yi, X.; Gao, D.; Gao, Z.; Huang, S.; Chao, M.; Chen, W.; Ding, M. The effects of the combined exercise intervention based on internet and social media software (CEIBISMS) on quality of life, muscle strength and cardiorespiratory capacity in Chinese postoperative breast cancer patients:a randomized controlled trial. Health Qual. Life Outcomes 2019, 17, 109. [Google Scholar] [CrossRef]
 - Dong, X.; Yi, X.; Huang, S.; Gao, D.; Chao, M.; Ding, M. The effects of combined exercise intervention based on Internet and social media software for postoperative patients with breast cancer: Study protocol for a randomized controlled trial. Trials 2018, 19, 477. [Google Scholar] [CrossRef]
 - Miller, M.E.; Rejeski, W.J.; Reboussin, B.A.; Ten Have, T.R.; Ettinger, W.H. Physical activity, functional limitations, and disability in older adults. J. Am. Geriatr. Soc. 2000, 48, 1264–1272. [Google Scholar] [CrossRef]
 - Paterson, D.H.; Warburton, D.E.R. Physical activity and functional limitations in older adults: A systematic review related to Canada’s Physical Activity Guidelines. Int. J. Behav. Nutr. Phys. Act. 2010, 7, 38. [Google Scholar] [CrossRef]
 - Sturnieks, D.L.; St George, R.; Lord, S.R. Balance disorders in the elderly. Neurophysiol. Clin./Clin. Neurophysiol. 2008, 38, 467–478. [Google Scholar] [CrossRef] [PubMed]
 - Latham, N.K.; Bennett, D.A.; Stretton, C.M.; Anderson, C.S. Systematic review of progressive resistance strength training in older adults. J. Gerontol. Ser. A Biol. Sci. Med. Sci. 2004, 59, M48–M61. [Google Scholar] [CrossRef] [PubMed]
 - Keysor, J.J.; Jette, A.M. Have we oversold the benefit of late-life exercise? J. Gerontol. Ser. A Biol. Sci. Med. Sci. 2001, 56, M412–M423. [Google Scholar] [CrossRef] [PubMed]
 - Cheung, C.; Talley, K.M.; McMahon, S.; Schorr, E.; Wyman, J.F. Knowledge of Physical Activity Guidelines and Its Association with Physical Activity and Physical Function in Older Adults. Act. Adapt. Aging 2020, 44, 106–118. [Google Scholar] [CrossRef]
 - Morie, M.; Reid, K.F.; Miciek, R.; Lajevardi, N.; Choong, K.; Krasnoff, J.B.; Storer, T.W.; Fielding, R.A.; Bhasin, S.; LeBrasseur, N.K. Habitual Physical Activity Levels Are Associated with Performance in Measures of Physical Function and Mobility in Older Men. J. Am. Geriatr. Soc. 2010, 58, 1727–1733. [Google Scholar] [CrossRef] [PubMed]
 - Mayo, A.; Senechal, M.; Boudreau, J.; Belanger, M.; Bouchard, D.R. Potential functional benefits of a comprehensive evaluation of physical activity for aging adults: A CLSA cross-sectional analysis. Aging Clin. Exp. Res. 2021, 33, 285–289. [Google Scholar] [CrossRef]
 - Colley, R.C.; Garriguet, D.; Janssen, I.; Craig, C.L.; Clarke, J.; Tremblay, M.S. Physical activity of Canadian adults: Accelerometer results from the 2007 to 2009 Canadian Health Measures Survey. Health Rep. 2011, 22, 7. [Google Scholar]
 - Ding, M.; Jia, N.; Zhou, Y.; Li, B. The Dose-Response Relationships of Different Dimensions of Physical Activity with Daily Physical Function and Cognitive Function in Chinese Adults with Hypertension: A Cross-Sectional Study. Int. J. Environ. Res. Public Health 2021, 18, 12698. [Google Scholar] [CrossRef]
 - Zhao, Y.; Hu, Y.; Smith, J.P.; Strauss, J.; Yang, G. Cohort Profile: The China Health and Retirement Longitudinal Study (CHARLS). Int. J. Epidemiol. 2014, 43, 61–68. [Google Scholar] [CrossRef]
 - Cantwell, J.; Muldoon, O.T.; Gallagher, S. Social support and mastery influence the association between stress and poor physical health in parents caring for children with developmental disabilities. Res. Dev. Disabil. 2014, 35, 2215–2223. [Google Scholar] [CrossRef]
 - Deng, Y.; Paul, D.R. The Relationships Between Depressive Symptoms, Functional Health Status, Physical Activity, and the Availability of Recreational Facilities: A Rural-Urban Comparison in Middle-Aged and Older Chinese Adults. Int. J. Behav. Med. 2018, 25, 322–330. [Google Scholar] [CrossRef]
 - Li, X.W.; Zhang, W.D.; Zhang, W.Y.; Tao, K.; Ni, W.L.; Wang, K.; Li, Z.L.; Liu, Q.; Lin, J.H. Level of physical activity among middle-aged and older Chinese people: Evidence from the China health and retirement longitudinal study. BMC Public Health 2020, 20, 1682. [Google Scholar] [CrossRef]
 - Hillsdon, M.M.; Brunner, E.J.; Guralnik, J.M.; Marmot, M.G. Prospective study of physical activity and physical function in early old age. Am. J. Prev. Med. 2005, 28, 245–250. [Google Scholar] [CrossRef] [PubMed]
 - Fleg, J.L. Aerobic Exercise in the Elderly: A Key to Successful Aging. Discov. Med. 2012, 13, 223–228. [Google Scholar] [PubMed]
 - Hunter, G.R.; McCarthy, J.P.; Bamman, M.M. Effects of resistance training on older adults. Sports Med. 2004, 34, 329–348. [Google Scholar] [CrossRef] [PubMed]
 - Orr, R.; Raymond, J.; Singh, M.F. Efficacy of progressive resistance training on balance performance in older adults: A systematic review Randomized controlled trials. Sports Med. 2008, 38, 317–343. [Google Scholar] [CrossRef] [PubMed]
 - Manini, T.M.; Pahor, M. Physical activity and maintaining physical function in older adults. Br. J. Sports Med. 2009, 43, 28–31. [Google Scholar] [CrossRef]
 - Bull, F.C.; Al-Ansari, S.S.; Biddle, S.; Borodulin, K.; Buman, M.P.; Cardon, G.; Carty, C.; Chaput, J.-P.; Chastin, S.; Chou, R.; et al. World Health Organization 2020 guidelines on physical activity and sedentary behaviour. Br. J. Sports Med. 2020, 54, 1451–1462. [Google Scholar] [CrossRef]
 - Ding, M.; Zhou, Y.A.; Li, C.X.; Li, W.P.; Jia, N.X.; Dong, X.S. Can the WHO ‘s recommendations of physical activity volume decrease the risk of heart disease in middle and older aged Chinese People: The evidence from a seven year longitudinal survey. BMC Geriatr. 2022, 22, 596. [Google Scholar] [CrossRef]
 - Keevil, V.L.; Cooper, A.J.M.; Wijndaele, K.; Luben, R.; Wareham, N.J.; Brage, S.; Khaw, K.T. Objective Sedentary Time, Moderate-to-Vigorous Physical Activity, and Physical Capability in a British Cohort. Med. Sci. Sports Exerc. 2016, 48, 421–429. [Google Scholar] [CrossRef]
 - Mourao, N.; Lopes, J.S.S.; Neto, A.M.M.; Perego, S.M.; Franca, A.C.H.; Franca, E.L. Behavior profile of cytokines submitted to combat sports. A systematic review. Sci. Sports 2022, 37, 244–254. [Google Scholar] [CrossRef]
 - DiMarco, N.M.; Dart, L.; Sanborn, C.B. Modified activity-stress paradigm in an animal model of the female athlete triad. J. Appl. Physiol. 2007, 103, 1469–1478. [Google Scholar] [CrossRef]
 - Steinacker, J.M.; Lormes, W.; Reissnecker, S.; Liu, Y.F. New aspects of the hormone and cytokine response to training. Eur. J. Appl. Physiol. 2004, 91, 382–391. [Google Scholar] [CrossRef]
 - Li, J.; Chang, Y.-P.; Riegel, B.; Keenan, B.T.; Varrasse, M.; Pack, A.I.; Gooneratne, N.S. Intermediate, But Not Extended, Afternoon Naps May Preserve Cognition in Chinese Older Adults. J. Gerontol. Ser. A 2017, 73, 360–366. [Google Scholar] [CrossRef]
 - Ip, E.H.; Church, T.; Marshall, S.A.; Zhang, Q.; Marsh, A.P.; Guralnik, J.; King, A.C.; Rejeski, W.J.; Investigators, L.-P.S. Physical Activity Increases Gains in and Prevents Loss of Physical Function: Results From the Lifestyle Interventions and Independence for Elders Pilot Study. J. Gerontol. Ser. A-Biol. Sci. Med. Sci. 2013, 68, 426–432. [Google Scholar] [CrossRef]
 - Senefeld, J.; Yoon, T.; Hunter, S.K. Age differences in dynamic fatigability and variability of arm and leg muscles: Associations with physical function. Exp. Gerontol. 2017, 87, 74–83. [Google Scholar] [CrossRef]
 - Breda, A.I.; Watts, A.S. Expectations Regarding Aging, Physical Activity, and Physical Function in Older Adults. Gerontol. Geriatr. Med. 2017, 3, 2333721417702350. [Google Scholar] [CrossRef]
 - Ko, P.C.; Hank, K. Grandparents Caring for Grandchildren in China and Korea: Findings From CHARLS and KLoSA. J. Gerontol. Ser. B-Psychol. Sci. Soc. Sci. 2014, 69, 646–651. [Google Scholar] [CrossRef]
 - Wang, Y.; Shen, H.; Morrow-Howell, N. Family intergenerational non-time transfers in china: New evidence from charls. Gerontologist 2015, 55, 668–669. [Google Scholar]
 - Li, J.; Alfini, A.J.; Yu, F.; Schrack, J.A.; Cotter, V.; Taylor, J.L.; Spira, A.P. Sleep duration, physical activity and cognitive decline in chinese older adults: Findings from the charls. Sleep 2020, 43, A433. [Google Scholar] [CrossRef]
 - Colley, R.C.; Butler, G.; Garriguet, D.; Prince, S.A.; Roberts, K.C. Comparison of self-reported and accelerometer-measured physical activity in Canadian adults. Health Rep. 2018, 29, 3–15. [Google Scholar]
 



| Characteristics | Overall Sample (n = 9056) | |
|---|---|---|
| n | % | |
| Age group (years) | ||
| <65 | 5195 | 57.37 | 
| ≥65 | 3861 | 42.63 | 
| Sex | ||
| Men | 4491 | 49.59 | 
| Women | 4565 | 50.41 | 
| Education | ||
| ≤High school | 8731 | 96.41 | 
| ≥College | 325 | 3.59 | 
| Smoking status | ||
| Current | 2513 | 27.75 | 
| Former | 1407 | 15.54 | 
| Never | 5136 | 56.71 | 
| Drinking status | ||
| Current | 3168 | 34.98 | 
| Former | 296 | 3.27 | 
| Never | 5592 | 61.75 | 
| Chronic conditions | ||
| Endocrine system diseases | ||
| No | 8621 | 95.20 | 
| Yes | 435 | 4.80 | 
| Brain/nervous system diseases | ||
| No | 8529 | 94.18 | 
| Yes | 527 | 5.82 | 
| Cardiovascular disease | ||
| No | 7125 | 78.68 | 
| Yes | 1931 | 21.32 | 
| Respiratory diseases | ||
| No | 8525 | 94.14 | 
| Yes | 531 | 5.86 | 
| Orthopedic diseases | ||
| No | 8506 | 93.93 | 
| Yes | 550 | 6.07 | 
| Other diseases | ||
| No | 7931 | 87.58 | 
| Yes | 1125 | 12.42 | 
| Variables | Events/Total | Model 1 | Model 2 | Model 3 | 
|---|---|---|---|---|
| PI | 395/1208 | 1.00 | 1.00 | 1.00 | 
| ≥600 | 984/7848 | 0.38 (0.33–0.42) | 0.38 (0.34–0.43) | 0.39 (0.35–0.44) | 
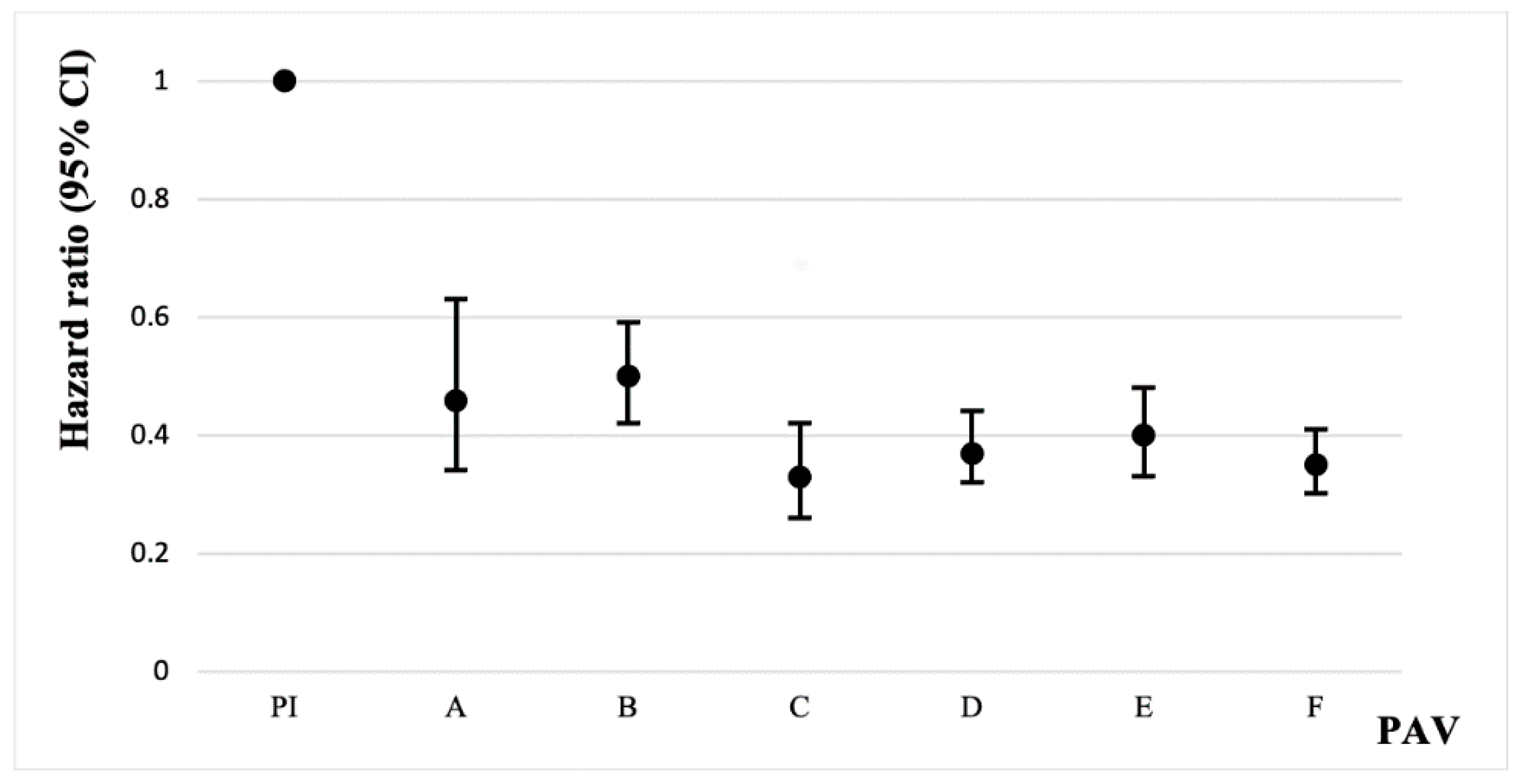
| Variables | Events/Total | Model 1 | Model 2 | Model 3 | 
|---|---|---|---|---|
| PI | 395/1208 | 1.00 | 1.00 | 1.00 | 
| 600–1199 | 46/295 | 0.44 (0.33–0.60) | 0.45 (0.33–0.61) | 0.46 (0.34–0.63) | 
| 1200–1799 | 209/1283 | 0.48 (0.41–0.57) | 0.49 (0.42–0.58) | 0.50 (0.42–0.59) | 
| 1800–2999 | 77/676 | 0.33 (0.26–0.42) | 0.33 (0.26–0.43) | 0.33 (0.26–0.42) | 
| 3000–5999 | 240/1974 | 0.35 (0.30–0.41) | 0.36 (0.31–0.43) | 0.37 (0.32–0.44) | 
| 6000–8999 | 151/1125 | 0.39 (0.32–0.47) | 0.40 (0.33–0.48) | 0.40 (0.33–0.48) | 
| PAV ≥ 9000 | 261/2495 | 0.33 (0.28–0.39) | 0.34 (0.29–0.40) | 0.35 (0.30–0.41) | 
Publisher’s Note: MDPI stays neutral with regard to jurisdictional claims in published maps and institutional affiliations.  | 
© 2022 by the authors. Licensee MDPI, Basel, Switzerland. This article is an open access article distributed under the terms and conditions of the Creative Commons Attribution (CC BY) license (https://creativecommons.org/licenses/by/4.0/).
Share and Cite
Tian, Y.; Shi, Z. Effects of Physical Activity on Daily Physical Function in Chinese Middle-Aged and Older Adults: A Longitudinal Study from CHARLS. J. Clin. Med. 2022, 11, 6514. https://doi.org/10.3390/jcm11216514
Tian Y, Shi Z. Effects of Physical Activity on Daily Physical Function in Chinese Middle-Aged and Older Adults: A Longitudinal Study from CHARLS. Journal of Clinical Medicine. 2022; 11(21):6514. https://doi.org/10.3390/jcm11216514
Chicago/Turabian StyleTian, Yuge, and Zhenguo Shi. 2022. "Effects of Physical Activity on Daily Physical Function in Chinese Middle-Aged and Older Adults: A Longitudinal Study from CHARLS" Journal of Clinical Medicine 11, no. 21: 6514. https://doi.org/10.3390/jcm11216514
APA StyleTian, Y., & Shi, Z. (2022). Effects of Physical Activity on Daily Physical Function in Chinese Middle-Aged and Older Adults: A Longitudinal Study from CHARLS. Journal of Clinical Medicine, 11(21), 6514. https://doi.org/10.3390/jcm11216514
        
