Machine Learning Analyses Revealed Distinct Arterial Pulse Variability According to Side Effects of Pfizer-BioNTech COVID-19 Vaccine (BNT162b2)
Abstract
1. Introduction
2. Methods
2.1. Measurement
2.2. Analysis
- ▪
- We first selected CV2 and P1_SD–P5_SD of BPW, since there were significant differences among these.
- ▪
- Using average value of each selected index, the pulse-variability score for the data point of each subject was calculated as:[(CV2_M1)×(P1_SDM1)×…×(P5_SDM1)]/[(CV2_M0)×(P1_SDM0)×…×(P5_SDM0)].
- ▪
- We then set threshold levels to study the discrimination ability of the scoring system.
3. Result
4. Discussion
4.1. Changes in the Pulse Indices
4.2. ML Discrimination
4.3. Pulse Variability Score Discrimination
5. Conclusions
- ▪
- Prominent effects were noted in Group V on the pulse harmonic indices induced by cardiovascular side effects following BNT162b2 vaccination.
- ▪
- ML and pulse-variability score analyses can aid the discrimination between subjects with cardiovascular side effects. The score analysis can also provide information to aid the detection of the cardiovascular or vascular side effects.
- ▪
- When excluding possible ambiguous data points (the adopted proportion was around two-thirds), the AUCs of the score analysis could be further improved to 0.94 and 0.75 for vascular and cardiovascular side effects, respectively.
- ▪
- The present findings illustrate that combining the present noninvasive pulse measurement, frequency domain pulse waveform analysis, and the ML and pulse-variability score analyses can be a time-saving and easy-to-use method for detecting the changes in vascular properties associated with the cardiovascular side effects following BNT162b2 vaccination.
- ▪
- The present results were mostly limited by the small proportion of subjects with cardiovascular side effects. Future studies should therefore focus on accumulating more data to reinforce the reliability of the ML and pulse-variability score analyses. The present technique can also be applied to study the effects of other COVID-19 vaccinations (e.g., Moderna and AZ vaccines) on vascular properties.
Supplementary Materials
Author Contributions
Funding
Institutional Review Board Statement
Informed Consent Statement
Data Availability Statement
Acknowledgments
Conflicts of Interest
References
- Foo, R.; Wang, Y.; Zimmermann, W.H.; Backs, J.; Wang, D.W. Cardiovascular molecular mechanisms of disease with COVID-19. J. Mol. Cell Cardiol. 2020, 141, 107. [Google Scholar] [CrossRef]
- Yoganathan, A.; Sajjad, M.S.; Harky, A. Cardiovascular disease and the impact of COVID-19. J. Card. Surg. 2020, 35, 2113. [Google Scholar] [CrossRef] [PubMed]
- Napoli, C.; Tritto, I.; Benincasa, G.; Mansueto, G.; Ambrosio, G. Cardiovascular involvement during COVID-19 and clinical implications in elderly patients. A review. Ann. Med. Surg. 2020, 57, 236–243. [Google Scholar] [CrossRef] [PubMed]
- Ravichandran, B.; Grimm, D.; Krüger, M.; Kopp, S.; Infanger, M.; Wehland, M. SARS-CoV-2 and hypertension. Physiol. Rep. 2021, 9, e14800. [Google Scholar] [CrossRef]
- Muhamad, S.A.; Ugusman, A.; Kumar, J.; Skiba, D.; Hamid, A.A.; Aminuddin, A. COVID-19 and Hypertension: The What, the Why, and the How. Front. Physiol. 2021, 12, 665064. [Google Scholar] [CrossRef]
- Kim, C.W.; Aronow, W.S. COVID-19, cardiovascular diseases and cardiac troponins. Future Cardiol. 2022, 18, 135–142. [Google Scholar] [CrossRef]
- Saban-Ruiz, J.; Ly-Pen, D. COVID-19: A Personalized Cardiometabolic Approach for Reducing Complications and Costs. The Role of Aging beyond Topics. J. Nutr. Health Aging 2020, 24, 550–559. [Google Scholar] [CrossRef]
- Calabrese, M.; Garofano, M.; Palumbo, R.; Di Pietro, P.; Izzo, C.; Damato, A.; Venturini, E.; Iesu, S.; Virtuoso, N.; Strianese, A.; et al. Exercise training and cardiac rehabilitation in COVID-19 patients with cardiovascular complications: State Art. Life 2021, 11, 259. [Google Scholar] [CrossRef] [PubMed]
- Sabioni, L.; De Lorenzo, A.; Lamas, C.; Muccillo, F.; Castro-Faria-Neto, H.C.; Estato, V.; Tibirica, E. Systemic microvascular endothelial dysfunction and disease severity in COVID-19 patients: Evaluation by laser Doppler perfusion monitoring and cytokine/chemokine analysis. Microvasc. Res. 2021, 134, 104119. [Google Scholar] [CrossRef]
- Willems, L.H.; Nagy, M.; Ten Cate, H.; Spronk, H.M.H.; Groh, L.A.; Leentjens, J.; Janssen, N.A.F.; Netea, M.G.; Thijssen, D.H.J.; Hannink, G.; et al. Sustained inflammation, coagulation activation and elevated endothelin-1 levels without macrovascular dysfunction at 3 months after COVID-19. Thromb Res. 2022, 209, 106–114. [Google Scholar] [CrossRef]
- Dabla, P.K.; Gruson, D.; Gouget, B.; Bernardini, S.; Homsak, E. Lessons learned from the COVID-19 pandemic: Emphasizing the emerging role and perspectives from artificial intelligence, mobile health, and digital laboratory medicine. EJIFCC 2021, 32, 224–243. [Google Scholar]
- Fazlollahi, A.; Zahmatyar, M.; Noori, M.; Nejadghaderi, S.A.; Sullman, M.J.M.; Shekarriz-Foumani, R.; Kolahi, A.A.; Singh, K.; Safiri, S. Cardiac complications following mRNA COVID-19 vaccines: A systematic review of case reports and case series. Rev. Med. Virol. 2022, 32, e2318. [Google Scholar] [CrossRef] [PubMed]
- Mimouni, H.; Bahouh, C.; Amaqdouf, S.; Laaribi, I.; Baddi, M.; Berichi, S.; Bkiyar, H.; Ismaili, N.; El Ouafi, N.; Housni, B. Cardiogenic shock revealing myocarditis after mRNA vaccination against COVID-19: Case report and brief review for the first case in Morocco. Ann. Med. Surg. 2022, 74, 103210. [Google Scholar] [CrossRef]
- O’Rourke, M.F.; Adji, A.; Safar, M.E. Structure and function of systemic arteries: Reflections on the arterial pulse. Am. J. Hypertens. 2018, 31, 934–940. [Google Scholar] [CrossRef]
- Johnson, J.E.; Shay, O.; Kim, C.; Liao, C. Wearable millimeter-wave device for contactless measurement of arterial pulses. IEEE Trans. Biomed. Circuits Syst. 2019, 13, 1525–1534. [Google Scholar] [CrossRef] [PubMed]
- Husmann, M.; Jacomella, V.; Thalhammer, C.; Amann-Vesti, B.R. Markers of arterial stiffness in peripheral arterial disease. Vasa 2015, 44, 341–348. [Google Scholar] [CrossRef]
- Davies, J.I.; Struthers, A.D. Beyond blood pressure: Pulse wave analysis—A better way of assessing cardiovascular risk? Future Cardiol. 2005, 1, 69–78. [Google Scholar] [CrossRef] [PubMed]
- Hsiu, H.; Hsu, C.L.; Chen, C.T.; Hsu, W.C.; Lin, F.C. Effects of acupuncture on the harmonic components of the radial arterial blood-pressure waveform in stroke patients. Biorheology 2013, 50, 69–81. [Google Scholar] [CrossRef]
- Chang, Y.W.; Hsiu, H.; Yang, S.H.; Fang, W.H.; Tsai, H.C. Characteristics of beat-to-beat photoplethysmography waveform indexes in subjects with metabolic syndrome. Microvasc. Res. 2016, 106, 80–87. [Google Scholar] [CrossRef] [PubMed]
- Lin, S.K.; Hsiu, H.; Chen, H.S.; Yang, C.J. Classification of patients with Alzheimer’s disease using the arterial pulse spectrum and a multilayer-perceptron analysis. Sci. Rep. 2021, 11, 8882. [Google Scholar] [CrossRef]
- Hsiu, H.; Liu, J.C.; Yang, C.J.; Chen, H.S.; Wu, M.S.; Hao, W.R.; Lee, K.Y.; Hu, C.J.; Wang, Y.H.; Fang, Y.A. Discrimination of vascular aging using the arterial pulse spectrum and machine-learning analysis. Microvasc. Res. 2022, 139, 104240. [Google Scholar] [CrossRef]
- Liu, J.C.; Hsu, Y.P.; Zhu, J.C.; Hao, W.R.; Yang, T.Y.; Sung, L.C.; Kao, P.F.; Hwang, J.; Hsiu, H. Beat-to-beat and spectral analyses of the noninvasive radial pulse and laser-Doppler signals in patients with hypertension. Clin. Hemorheol. Microcirc. 2021, 79, 365–379. [Google Scholar] [CrossRef]
- Hsiu, H.; Lin, S.K.; Weng, W.L.; Hung, C.M.; Chang, C.K.; Lee, C.C.; Chen, C.T. Discrimination of the Cognitive Function of Community Subjects Using the Arterial Pulse Spectrum and Machine-Learning Analysis. Sensors 2022, 22, 806. [Google Scholar] [CrossRef]
- Kumar, N.; Kumar, S.; Kumar, A.; Bhushan, D.; Kumar, A.; Kumar, A.; Singh, V.; Singh, P.K. The COSEVAST study outcome: Evidence of COVID-19 severity proportionate to surge in arterial stiffness. Indian J. Crit. Care Med. 2021, 25, 1113–1119. [Google Scholar] [CrossRef]
- Fayol, A.; Livrozet, M.; Boutouyrie, P.; Khettab, H.; Betton, M.; Tea, V.; Blanchard, A.; Bruno, R.M.; Hulot, J.S.; French COVID cohort study group. Cardiac performance in patients hospitalized with COVID-19: A 6 month follow-up study. ESC Heart Fail 2021, 8, 2232–2239. [Google Scholar] [CrossRef]
- Becker, R.C. Anticipating the long-term cardiovascular effects of COVID-19. J. Thromb. Thrombolysis. 2020, 50, 512–524. [Google Scholar] [CrossRef]
- Stergiou, G.S.; Ntineri, A.; Kollias, A.; Ohkubo, T.; Imai, Y.; Parati, G. Blood pressure variability assessed by home measurements: A systematic review. Hypertens Res. 2014, 37, 565–572. [Google Scholar] [CrossRef]
- Task Force of the European Society of Cardiology and the North American Society of Pacing and Electrophysiology. Heart rate variability. Standards of measurement, physiological interpretation, and clinical use. Eur. Heart J. 1996, 17, 354–381. [Google Scholar] [CrossRef]
- Hsiu, H.; Hu, H.F.; Chang, Y.W. Using complexity and spectral analyses of noninvasive laser-Doppler signals in patients with metabolic syndrome. Complexity 2018, 2018, 6898024. [Google Scholar] [CrossRef]


















| (a) BPW | Group N | Group CV | Group V | Group C | ||||
|---|---|---|---|---|---|---|---|---|
| Male | Female | Male | Female | Male | Female | Male | Female | |
| Subject number | 17 | 11 | 29 | 10 | 7 | 4 | 25 | 9 |
| 28 | 39 | 11 | 34 | |||||
| Age | 48.6 ± 11.7 | 40.6 ± 13.2 | 39.8 ± 17.7 | 31.6 ± 12.4 | 41.0 ± 16.0 | 35.0 ± 11.1 | 41.0 ± 4.2 | 31.3 ± 4.0 |
| 45.5 ± 12.9 | 37.7 ± 16.9 | 38.8 ± 14.7 | 38.4 ± 4.2 | |||||
| BMI | 23.2 ± 3.7 | 24.2 ± 3.5 | 22.6 ± 4.1 | 24.3 ± 3.9 | 22.8 ± 2.9 | 24.4 ± 3.6 | 22.6 ± 4.2 | 24.6 ± 4.0 |
| 23.6 ± 3.6 | 23.0 ± 4.1 | 23.4 ± 3.3 | 23.2 ± 4.2 | |||||
| Hypertension | 1 | 2 | 3 | 2 | 0 | 1 | 3 | 2 |
| 3 | 5 | 1 | 5 | |||||
| Hyperlipidemia | 9 | 4 | 10 | 2 | 3 | 2 | 9 | 2 |
| 13 | 12 | 5 | 11 | |||||
| Hyperglycemia | 1 | 0 | 2 | 3 | 0 | 2 | 2 | 2 |
| 1 | 5 | 2 | 4 | |||||
| (b) PPG | Group N | Group CV | Group V | Group C | ||||
| Male | Female | Male | Female | Male | Female | Male | Female | |
| Subject number | 9 | 4 | 15 | 2 | 5 | 2 | 13 | 1 |
| 13 | 17 | 7 | 14 | |||||
| Age | 45.7 ± 16.4 | 40.8 ± 13.2 | 45.1 ± 16.4 | 28.5 ± 5.5 | 51.4 ± 6.2 | 28.5 ± 5.5 | 44.8 ± 17.6 | 23.0 |
| 44.2 ± 15. 7 | 43.1 ± 16.4 | 44.9 ± 11.9 | 43.3 ± 17.9 | |||||
| BMI | 22.7 ± 3.9 | 24.7 ± 2.2 | 23.0 ± 4.2 | 21.1 ± 0.8 | 23.9 ± 2.6 | 21.1 ± 0.8 | 22.7 ± 4.4 | 20.3 |
| 23.3 ± 3.6 | 22.8 ± 4.0 | 23.1 ± 2. 6 | 22.6 ± 4.2 | |||||
| Hypertension | 0 | 0 | 2 | 0 | 0 | 0 | 2 | 0 |
| 0 | 2 | 0 | 2 | |||||
| Hyperlipidemia | 5 | 2 | 7 | 1 | 2 | 1 | 7 | 0 |
| 7 | 8 | 3 | 7 | |||||
| Hyperglycemia | 0 | 0 | 2 | 0 | 0 | 0 | 2 | 0 |
| 0 | 2 | 0 | 2 | |||||
| Item | Normal Range | |
|---|---|---|
| Cardiac side effect | S3 (3rd heart sound) | ≤5 |
| S4 (4th heart sound) | ≤5 | |
| EMAT (Electromechanical Activation Time) | ≤120 (ms) | |
| SDI (Systolic Dysfunction Index) | ≤5 | |
| X-ray cardiothoracic ratio | <0.5 | |
| Troponon-I | 0–26.2 (pg/mL) | |
| NT-proBNP | <125 (pg/mL) | |
| Vascular side effect | Creatinine | 0.57–1.11 (mg/dL) |
| D-Dimer | <0.5 (mg/L) |
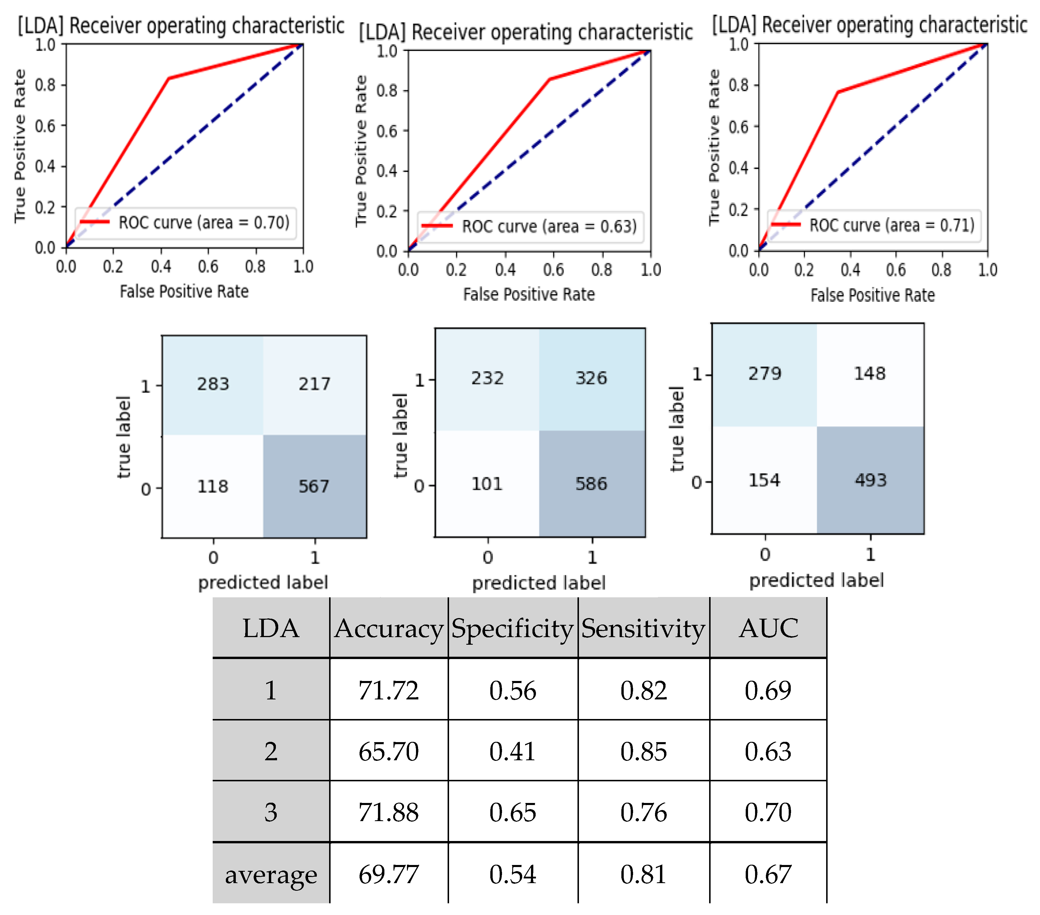
| SVM | MLP | GNB | DT | RF | LR | LDA | KNN | |
|---|---|---|---|---|---|---|---|---|
| Accuracy | 59.40 | 59.71 | 60.29 | 52.41 | 59.33 | 62.66 | 69.77 * | 57.11 |
| AUC | 0.55 | 0.58 | 0.57 | 0.52 | 0.58 | 0.60 | 0.67 * | 0.55 |
| Specificity | 0.25 | 0.47 | 0.38 | 0.47 | 0.48 | 0.47 | 0.54 * | 0.41 |
| Sensitivity | 0.84 * | 0.69 | 0.76 | 0.56 | 0.68 | 0.73 | 0.81 | 0.68 |
| SVM | MLP | GNB | DT | RF | LR | LDA | KNN | |
|---|---|---|---|---|---|---|---|---|
| Accuracy | 59.69 * | 48.18 | 59.69 * | 55.00 | 48.18 | 53.18 | 43.33 | 40.00 |
| AUC | 0.50 | 0.43 | 0.63 * | 0.51 | 0.44 | 0.46 | 0.41 | 0.37 |
| Specificity | 0.00 | 0.20 | 0.80 * | 0.36 | 0.24 | 0.13 | 0.31 | 0.25 |
| Sensitivity | 1 * | 0.67 | 0.45 | 0.67 | 0.64 | 0.80 | 0.51 | 0.50 |
| Group | N | CV | V | C |
|---|---|---|---|---|
| Pre-HR | 76.26 ± 9.88 | 82.97 ± 9.98 | 86.1 ± 8.08 | 83.09 ± 10.36 |
| Post-HR | 78.42 ± 9.95 | 83.71 ± 11.87 | 86.29 ± 8.55 | 83.59 ± 12.11 |
| Pre-HR_CV | 4.04 ± 1.96 | 4.46 ± 2.34 | 3.53 ± 1.66 | 4.48 ± 2.44 |
| Post-HR_CV | 3.89 ± 2.13 | 4.24 ± 2.12 | 3.94 ± 2.2 | 4.21 ± 2.16 |
Publisher’s Note: MDPI stays neutral with regard to jurisdictional claims in published maps and institutional affiliations. |
© 2022 by the authors. Licensee MDPI, Basel, Switzerland. This article is an open access article distributed under the terms and conditions of the Creative Commons Attribution (CC BY) license (https://creativecommons.org/licenses/by/4.0/).
Share and Cite
Chen, C.-C.; Chang, C.-K.; Chiu, C.-C.; Yang, T.-Y.; Hao, W.-R.; Lin, C.-H.; Fang, Y.-A.; Jian, W.; Hsu, M.-H.; Yang, T.-L.; et al. Machine Learning Analyses Revealed Distinct Arterial Pulse Variability According to Side Effects of Pfizer-BioNTech COVID-19 Vaccine (BNT162b2). J. Clin. Med. 2022, 11, 6119. https://doi.org/10.3390/jcm11206119
Chen C-C, Chang C-K, Chiu C-C, Yang T-Y, Hao W-R, Lin C-H, Fang Y-A, Jian W, Hsu M-H, Yang T-L, et al. Machine Learning Analyses Revealed Distinct Arterial Pulse Variability According to Side Effects of Pfizer-BioNTech COVID-19 Vaccine (BNT162b2). Journal of Clinical Medicine. 2022; 11(20):6119. https://doi.org/10.3390/jcm11206119
Chicago/Turabian StyleChen, Chun-Chao, Che-Kai Chang, Chun-Chih Chiu, Tsung-Yeh Yang, Wen-Rui Hao, Cheng-Hsin Lin, Yu-Ann Fang, William Jian, Min-Huei Hsu, Tsung-Lin Yang, and et al. 2022. "Machine Learning Analyses Revealed Distinct Arterial Pulse Variability According to Side Effects of Pfizer-BioNTech COVID-19 Vaccine (BNT162b2)" Journal of Clinical Medicine 11, no. 20: 6119. https://doi.org/10.3390/jcm11206119
APA StyleChen, C.-C., Chang, C.-K., Chiu, C.-C., Yang, T.-Y., Hao, W.-R., Lin, C.-H., Fang, Y.-A., Jian, W., Hsu, M.-H., Yang, T.-L., Liu, J.-C., & Hsiu, H. (2022). Machine Learning Analyses Revealed Distinct Arterial Pulse Variability According to Side Effects of Pfizer-BioNTech COVID-19 Vaccine (BNT162b2). Journal of Clinical Medicine, 11(20), 6119. https://doi.org/10.3390/jcm11206119

