Objective Skin Quality Assessment after Reconstructive Procedures for Facial Skin Defects
Abstract
:1. Introduction
2. Materials and Methods
2.1. Study Design and Ethical Considerations
2.2. Subjects
2.3. Objective Skin Assessment
2.4. Statistical Analyses and Sample Size Calculation
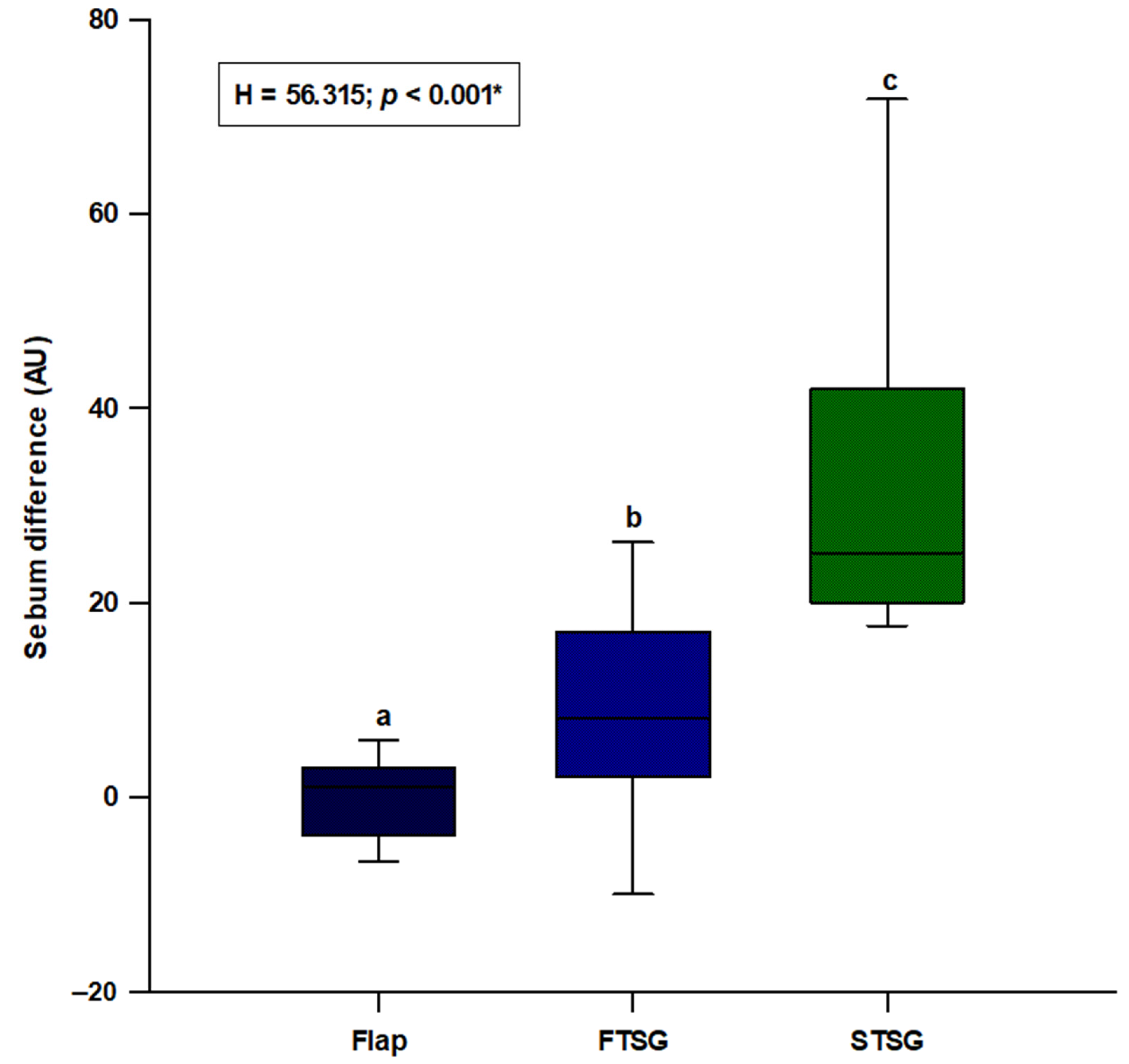
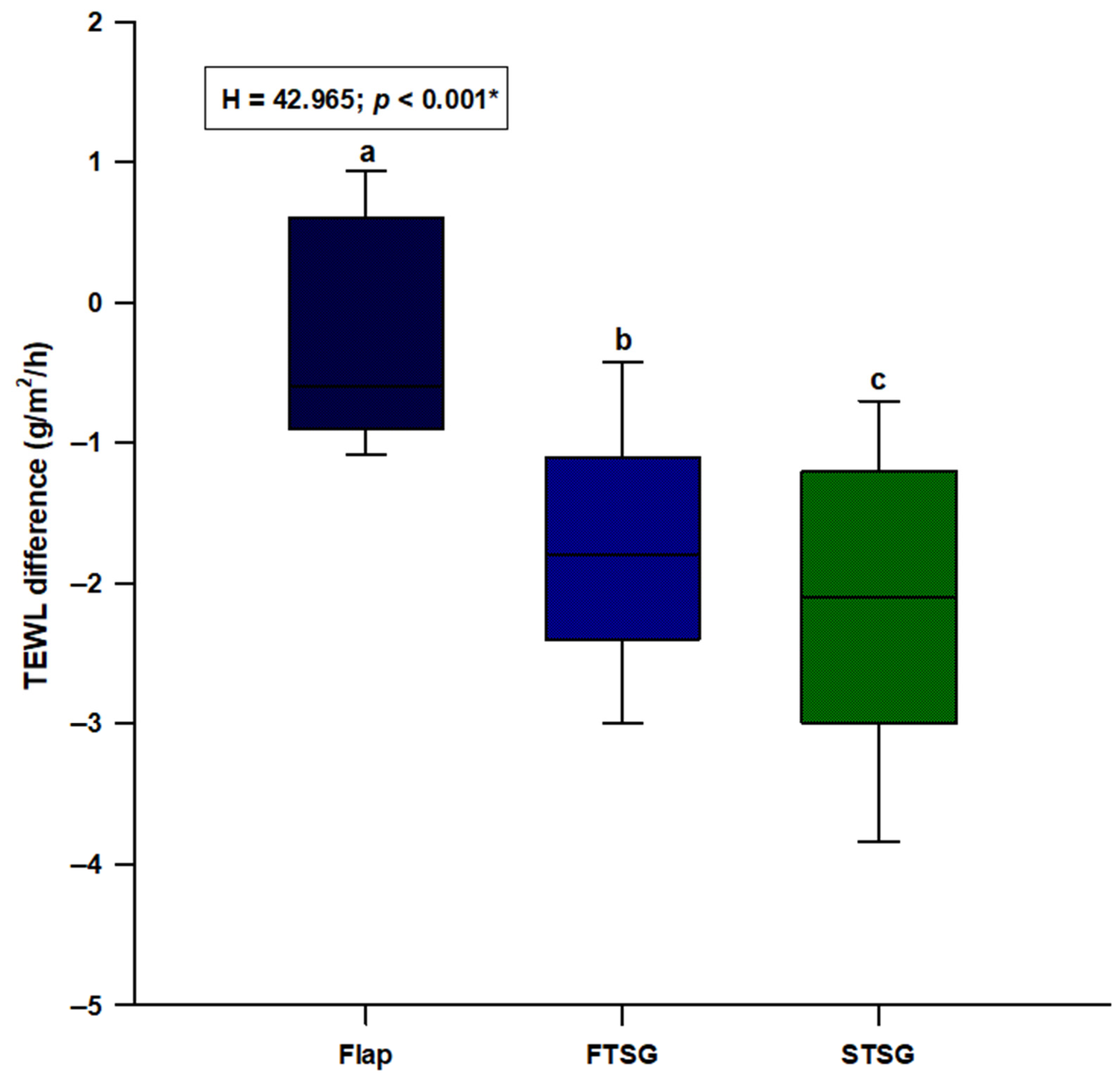
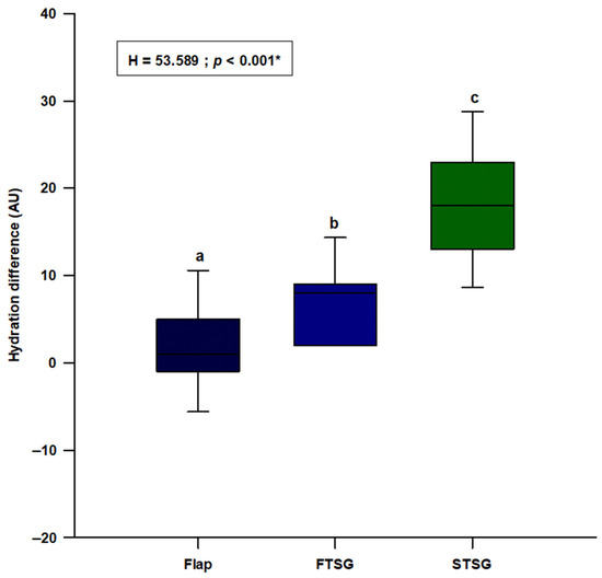
3. Results
4. Discussion
5. Conclusions
Author Contributions
Funding
Institutional Review Board Statement
Informed Consent Statement
Data Availability Statement
Conflicts of Interest
References
- Shimizu, R.; Kishi, K. Skin graft. Plast. Surg. Int. 2012, 2012, 563493. [Google Scholar] [CrossRef] [Green Version]
- Schultz, T.A.; Cunningham, K.; Bailey, J.S. Basic flap design. Oral Maxillofac. Surg. Clin. 2014, 26, 277–303. [Google Scholar] [CrossRef] [PubMed]
- Wolff, K.D. New aspects in free flap surgery: Mini-perforator flaps and extracorporeal flap perfusion. J. Stomatol. Oral Maxillofac. Surg. 2017, 118, 238–241. [Google Scholar] [CrossRef] [PubMed]
- Simman, R. Wound closure and the reconstructive ladder in plastic surgery. J. Am. Coll. Certif. Wound Spec. 2009, 1, 6–11. [Google Scholar] [CrossRef] [PubMed] [Green Version]
- Mégevand, V.; Suva, D.; Mohamad, M.; Hannouche, D.; Kalbermatten, D.F.; Oranges, C.M. Muscle vs. fasciocutaneous microvascular free flaps for lower limb reconstruction: A meta-analysis of comparative studies. J. Clin. Med. 2022, 11, 1557. [Google Scholar] [CrossRef] [PubMed]
- Adams, D.C.; Ramsey, M.L. Grafts in dermatologic surgery: Review and update on full- and split-thickness skin grafts, free cartilage grafts, and composite grafts. Derm. Surg. 2005, 31, 1055–1067. [Google Scholar] [CrossRef] [PubMed]
- Straub, A.; Brands, R.; Borgmann, A.; Vollmer, A.; Hohm, J.; Linz, C.; Müller-Richter, U.; Kübler, A.C.; Hartmann, S. Free Skin Grafting to reconstruct donor sites after radial forearm flap harvesting: A prospective study with platelet-rich fibrin (PRF). J. Clin. Med. 2022, 11, 3506. [Google Scholar] [CrossRef]
- Sapino, G.; Lanz, L.; Roesti, A.; Guillier, D.; Deglise, S.; De Santis, G.; Raffoul, W.; di Summa, P. One-stage coverage of leg region defects with STSG combined with VAC dressing improves early patient mobilisation and graft take: A comparative study. J. Clin. Med. 2022, 11, 3305. [Google Scholar] [CrossRef] [PubMed]
- Zilinsky, I.; Farber, N.; Weissman, O.; Israeli, H.; Haik, J.; Domniz, N.; Winkler, E. Defying consensus: Correct sizing of full-thickness skin grafts. J. Drugs Dermatol. 2012, 11, 520–523. [Google Scholar] [PubMed]
- Andreassi, A.; Bilenchi, R.; Biagioli, M.; D’Aniello, C. Classification and pathophysiology of skin grafts. Clin. Dermatol. 2005, 23, 332–337. [Google Scholar] [CrossRef] [PubMed]
- Gould, D.J.; Reece, G.P. Skin graft vascular maturation and remodeling: A multifractal approach to morphological quantification. Microcirculation 2012, 19, 652–663. [Google Scholar] [CrossRef]
- Prohaska, J.; Cook, C. Skin Grafting. In StatPearls; StatPearls Publishing: St. Petersburg, FL, USA, 2022. [Google Scholar]
- Rao, J.K.; Shende, K.S. Overview of local flaps of the face for reconstruction of cutaneous malignancies: Single institutional experience of seventy cases. J. Cutan. Aesthetic Surg. 2016, 9, 220–225. [Google Scholar] [CrossRef]
- Maciel-Miranda, A.; Morris, S.F.; Hallock, G.G. Local flaps, including pedicled perforator flaps: Anatomy, technique, and applications. Plast. Reconstr. Surg. 2013, 131, 896e–911e. [Google Scholar] [CrossRef]
- Salibian, A.A.; Zide, B.M. Elegance in upper lip reconstruction. Plast. Reconstr. Surg. 2019, 143, 572–582. [Google Scholar] [CrossRef]
- Mohan, A.T.; Sur, Y.J.; Zhu, L.; Morsy, M.; Wu, P.S.; Moran, S.L.; Mardini, S.; Saint-Cyr, M. The concepts of propeller, perforator, keystone, and other local flaps and their role in the evolution of reconstruction. Plast. Reconstr. Surg. 2016, 138, 710e–729e. [Google Scholar] [CrossRef]
- Wu, Z.J.; Ibrahim, M.M.; Sergesketter, A.R.; Schweller, R.M.; Phillips, B.T.; Klitzman, B. The influence of topical vasodilator-induced pharmacologic delay on cutaneous flap viability and vascular remodeling. Plast. Reconstr. Surg. 2022, 149, 629–637. [Google Scholar] [CrossRef]
- Kohlhauser, M.; Luze, H.; Nischwitz, S.P.; Kamolz, L.P. Historical evolution of skin grafting-a journey through time. Medicina 2021, 57, 348. [Google Scholar] [CrossRef]
- Hallock, G.G.; Morris, S.F. Skin grafts and local flaps. Plast. Reconstr. Surg. 2011, 127, 5e–22e. [Google Scholar] [CrossRef]
- Zhang, A.Y.; Meine, J.G. Flaps and grafts reconstruction. Dermatol. Clin. 2011, 29, 217–230. [Google Scholar] [CrossRef]
- Matsumoto, K.; Robb, E.; Warden, G.; Nordlund, J. Hyperpigmentation of human skin grafted on to athymic nude mice: Immunohistochemical study. Br. J. Dermatol. 1996, 135, 412–418. [Google Scholar] [CrossRef] [PubMed]
- Eskandarlou, M.; Taghipour, M. Outcome of comparison between Partial thickness skin graft harvesting from scalp and lower limb for scalp defect: A clinical trial study. World J. Plast. Surg. 2021, 10, 25–32. [Google Scholar] [CrossRef]
- Weathers, W.M.; Bhadkamkar, M.; Wolfswinkel, E.M.; Thornton, J.F. Full-thickness skin grafting in nasal reconstruction. Semin. Plast. Surg. 2013, 27, 90–95. [Google Scholar] [CrossRef] [PubMed] [Green Version]
- Kang, X.L.; Shen, H. Pigmentation of skin graft is improved by cryopreservation of human skin with trehalose. J. Oral. Maxillofac. Surg. 2012, 70, 1464–1472. [Google Scholar] [CrossRef] [PubMed]
- Tsukada, S. Studies on the pigmentation of skin grafts: The ultrastructure of epidermal melanoxytes. Plast. Reconstr. Surg. 1977, 59, 98–106. [Google Scholar] [CrossRef]
- Kim, Y.J.; Kim, M.Y.; Lee, P.K.; Kim, H.O.; Park, Y.M. Evaluation of natural change of skin function in split-thickness skin grafts by noninvasive bioengineering methods. Dermatol. Surg. 2006, 32, 1358–1363. [Google Scholar]
- Harrison, C.A.; MacNeil, S. The mechanism of skin graft contraction: An update on current research and potential future therapies. Burns 2008, 34, 153–163. [Google Scholar] [CrossRef] [PubMed]
- Stekelenburg, C.M.; Simons, J.M.; Tuinebreijer, W.E.; van Zuijlen, P.P. Analyzing contraction of full thickness skin grafts in time: Choosing the donor site does matter. Burns 2016, 42, 1471–1476. [Google Scholar] [CrossRef] [PubMed]
- Provancher, W.R.; Sylvester, N.D. Fingerpad skin stretch increases the perception of virtual friction. IEEE Trans. Haptics. 2009, 2, 212–223. [Google Scholar] [CrossRef] [PubMed]
- Zhu, Y.H.; Song, S.P.; Luo, W.; Elias, P.M.; Man, M.Q. Characterization of skin friction coefficient, and relationship to stratum corneum hydration in a normal Chinese population. Ski. Pharm. Physiol 2011, 24, 81–86. [Google Scholar] [CrossRef] [PubMed] [Green Version]
- Leyva-Mendivil, M.F.; Lengiewicz, J.; Page, A.; Bressloff, N.W.; Limbert, G. Skin microstructure is a key contributor to its friction behaviour. Tribol. Lett. 2017, 65, 12. [Google Scholar] [CrossRef] [Green Version]
- Suetake, T.; Sasai, S.; Zhen, Y.X.; Ohi, T.; Tagami, H. Functional analyses of the stratum corneum in scars. Sequential studies after injury and comparison among keloids, hypertrophic scars, and atrophic scars. Arch. Dermatol. 1996, 132, 1453–1458. [Google Scholar] [CrossRef] [PubMed]
- Matsuo, S.; Kurisaki, A.; Sugino, H.; Hashimoto, I.; Nakanishi, H. Analysis of skin graft survival using green fluorescent protein transgenic mice. J. Med. Investg. 2007, 54, 267–275. [Google Scholar] [CrossRef] [PubMed] [Green Version]
- Jang, H.; Myung, H.; Lee, J.; Myung, J.K.; Jang, W.-S.; Lee, S.-J.; Bae, C.-H.; Kim, H.; Park, S.; Shim, S. Impaired skin barrier due to sebaceous gland atrophy in the latent stage of radiation-induced skin injury: Application of non-invasive diagnostic methods. Int. J. Mol. Sci. 2018, 19, 185. [Google Scholar] [CrossRef] [PubMed] [Green Version]






| Parameter | Study Population (N = 93) | Flaps (N = 31) | FTSGs (N = 30) | STSGs (N = 30) | p |
|---|---|---|---|---|---|
| Male gender (N,%) | 51 (55.0) | 17 (54.8) | 18 (60.0) | 16 (53.3) | 0.861 * |
| Age (years) | 78.6 ± 8.3 | 76.5 ± 7.0 | 79.3 ± 9.0 | 79.8 ± 8.6 | 0.243 † |
| Body height (cm) | 179.1 ± 10.8 | 178.2 ± 9.6 | 177.2 ± 7.5 | 181.0 ± 11.1 | 0.136 † |
| Body mass (kg) | 78.2 ± 8.9 | 77.6 ± 8.7 | 76.5 ± 10.9 | 80.4 ± 6.3 | 0.199 † |
| BMI (kg/m2) | 24.5 ± 2.7 | 24.7 ± 2.8 | 24.1 ± 2.8 | 24.4 ± 2.6 | 0.672 † |
| Time since the op. (mo) | 32 (28–46) | 34 (26–48) | 36 (30–52) | 30 (28–34) | 0.101 ‡ |
| BCC (N,%) | 54 (58.1) | 20 (64.5) | 18 (60.0) | 15 (50.0) | 0.502 * |
| SCC (N,%) | 39 (41.9) | 11 (35.5) | 12 (40.0) | 15 (50.0) | |
| Defect diameter (mm) | 32 (22–44) | 25 (17–32) | 29 (19–33) | 49 (42–54) | <0.001 ‡ |
| Parameter | Reconstruction Site | Healthy Contralateral Side | p * |
|---|---|---|---|
| Random Skin Flap (N = 31) | |||
| Melanin (AU) | 113.0 ± 36.3 | 115.0 ± 37.2 | 0.836 * |
| Erythema (AU) | 329 (297–343) | 322 (283–362) | 0.341 † |
| Hydration (AU) | 49.1 ± 14.4 | 51.1 ± 14.5 | 0.587 * |
| Sebum (AU) | 28.0 (21.2–56.0) | 29.0 (18.0–54.0) | 0.760 † |
| Friction (AU) | 138.0 (68.0–189.0) | 152.0 (77.0–200.0) | 0.371 † |
| TEWL (g/m2/h) | 11.5 (10.4–13.3) | 11.0 (9.9–13.2) | 0.799 † |
| FTSG (N = 30) | |||
| Melanin (AU) | 82.4 ± 31.1 | 74.6 ± 30.3 | 0.319 * |
| Erythema (AU) | 379 (288–404) | 244 (187–291) | <0.001 † |
| Hydration (AU) | 29.0 ± 13.0 | 36.5 ± 13.7 | 0.032 * |
| Sebum (AU) | 17.0 (11.0–28.0) | 28.0 (24.2–35.0) | <0.001 † |
| Friction (AU) | 82.0 (75.0–129.0) | 122.0 (91.0–185.7) | <0.035 † |
| TEWL (g/m2/h) | 13.0 (12.0–15.3) | 10.9 (9.8–13.0) | <0.001 † |
| STSG (N = 30) | |||
| Melanin (AU) | 119.0 ± 28.9 | 83.1 ± 27.6 | <0.001 * |
| Erythema (AU) | 338 (314–396) | 222 (181–289) | <0.001 † |
| Hydration (AU) | 19.9 ± 6.3 | 37.9 ± 8.2 | <0.001 * |
| Sebum (AU) | 21.0 (10.0–24.0) | 39.0 (41.0–72.0) | <0.001 † |
| Friction (AU) | 81.0 (58.0–137.7) | 121.1 (106.0–212.7) | <0.001 † |
| TEWL (g/m2/h) | 13.1 (11.8–14.2) | 10.8 (9.4–12.3) | <0.001 † |
Publisher’s Note: MDPI stays neutral with regard to jurisdictional claims in published maps and institutional affiliations. |
© 2022 by the authors. Licensee MDPI, Basel, Switzerland. This article is an open access article distributed under the terms and conditions of the Creative Commons Attribution (CC BY) license (https://creativecommons.org/licenses/by/4.0/).
Share and Cite
Martinovic, D.; Lupi-Ferandin, S.; Tokic, D.; Usljebrka, M.; Rados, A.; Pojatina, A.; Kadic, S.; Puizina, E.; Mihovilovic, A.; Kumric, M.; et al. Objective Skin Quality Assessment after Reconstructive Procedures for Facial Skin Defects. J. Clin. Med. 2022, 11, 4471. https://doi.org/10.3390/jcm11154471
Martinovic D, Lupi-Ferandin S, Tokic D, Usljebrka M, Rados A, Pojatina A, Kadic S, Puizina E, Mihovilovic A, Kumric M, et al. Objective Skin Quality Assessment after Reconstructive Procedures for Facial Skin Defects. Journal of Clinical Medicine. 2022; 11(15):4471. https://doi.org/10.3390/jcm11154471
Chicago/Turabian StyleMartinovic, Dinko, Slaven Lupi-Ferandin, Daria Tokic, Mislav Usljebrka, Andrija Rados, Ante Pojatina, Sanja Kadic, Ema Puizina, Ante Mihovilovic, Marko Kumric, and et al. 2022. "Objective Skin Quality Assessment after Reconstructive Procedures for Facial Skin Defects" Journal of Clinical Medicine 11, no. 15: 4471. https://doi.org/10.3390/jcm11154471
APA StyleMartinovic, D., Lupi-Ferandin, S., Tokic, D., Usljebrka, M., Rados, A., Pojatina, A., Kadic, S., Puizina, E., Mihovilovic, A., Kumric, M., Vilovic, M., Leskur, D., & Bozic, J. (2022). Objective Skin Quality Assessment after Reconstructive Procedures for Facial Skin Defects. Journal of Clinical Medicine, 11(15), 4471. https://doi.org/10.3390/jcm11154471

