Lymphocyte Population Changes at Two Time Points during the Acute Period of COVID-19 Infection
Abstract
1. Introduction
2. Materials and Methods
2.1. Patients
2.2. Lymphocyte Population and Serum Cytokines Analyses
2.3. Statistical Analysis
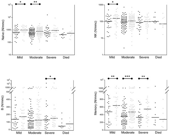
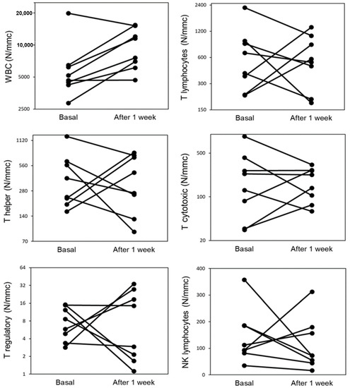
3. Results
4. Discussion
5. Conclusions
Supplementary Materials
Author Contributions
Funding
Institutional Review Board Statement
Informed Consent Statement
Data Availability Statement
Acknowledgments
Conflicts of Interest
References
- Caterino, M.; Gelzo, M.; Sol, S.; Fedele, R.; Annunziata, A.; Calabrese, C.; Fiorentino, G.; D’Abbraccio, M.; Dell’Isola, C.; Fusco, F.M.; et al. Dysregulation of lipid metabolism and pathological inflammation in patients with COVID-19. Sci. Rep. 2021, 11, 2941. [Google Scholar] [CrossRef] [PubMed]
- Scialò, F.; Daniele, A.; Amato, F.; Pastore, L.; Matera, M.G.; Cazzola, M.; Giuseppe Castaldo, G.; Bianco, B. ACE2: The major cell entry receptor for SARS-CoV-2. Lung 2020, 198, 867–877. [Google Scholar] [CrossRef] [PubMed]
- Huang, C.; Wang, Y.; Li, X.; Ren, L.; Zhao, J.; Hu, Y.; Zhang, L.; Fan, G.; Xu, J.; Gu, X.; et al. Clinical features of patients infected with 2019 novel coronavirus in Wuhan, China. Lancet 2020, 395, 497–506. [Google Scholar] [CrossRef]
- Diao, B.; Wang, C.; Tan, Y.; Chen, X.; Liu, Y.; Ning, L.; Chen, L.; Li, M.; Liu, Y.; Wang, G.; et al. Reduction and functional exhaustion of T cells in patients with Coronavirus disease 2019 (COVID-19). Front. Immunol. 2020, 11, 827. [Google Scholar] [CrossRef] [PubMed]
- Li, Y.; Zhao, W.; Liu, J.; Chen, Z.; Lv, Q.; Zhang, Z. Immunotherapy Summary for Cytokine Storm in COVID-19. Front. Pharmcol. 2021, 12, 731847. [Google Scholar] [CrossRef] [PubMed]
- Mazzoni, A.; Salvati, L.; Maggi, L.; Capone, M.; Vanni, A.; Spinicci, M.; Mencarini, J.; Caporale, R.; Peruzzi, B.; Antonelli, A.; et al. Impaired immune cell cytotoxicity in severe COVID-19 is IL-6 dependent. J. Clin. Investig. 2020, 130, 4694–4703. [Google Scholar] [CrossRef]
- Kuri-Cervantes, L.; Pampena, M.B.; Meng, W.; Rosenfeld, A.M.; Ittner, C.A.G.; Weisman, A.R.; Agyekum, R.S.; Mathew, D.; Baxter, A.E.; Vella, L.A.; et al. Comprehensive mapping of immune perturbations associated with severe COVID-19. Sci. Immunol. 2020, 5, eabd7114. [Google Scholar] [CrossRef]
- Bozzano, F.; Dentone, C.; Perrone, C.; Di Biagio, A.; Fenoglio, D.; Parodi, A.; Mikulska, M.; Bruzzone, B.; Giacobbe, D.R.; Vena, A.; et al. Extensive activation, tissue trafficking, turnover and functional impairment of NK cells in COVID-19 patients at disease onset associates with subsequent disease severity. PLoS Pathog. 2021, 17, e1009448. [Google Scholar] [CrossRef]
- Cacciapuoti, S.; De Rosa, A.; Gelzo, M.; Megna, M.; Raia, M.; Pinchera, B.; Pontarellib, A.; Scottoa, R.; Scalaa, E.; Scaranob, F.; et al. Immunocytometric analysis of COVID patients: A contribution to personalized therapy? Life Sci. 2020, 261, 118355. [Google Scholar] [CrossRef]
- Palmieri, L.; Palmer, K.; Lo Noce, C.; Meli, P.; Giuliano, M.; Floridia, M.; de Bella, M.T.; Piccioli, A.; Brusaferro, S.; Onder, G. Differences in the clinical characteristics of COVID-19 patients who died in hospital during different phases of the pandemic: National data from Italy. Aging Clin. Exp. Res. 2021, 33, 193–199. [Google Scholar] [CrossRef]
- Gelzo, M.; Cacciapuoti, S.; Pinchera, B.; De Rosa, A.; Cernera, G.; Scialò, F.; Comegna, M.; Mormile, M.; Gallicchio, A.; Fabbrocini, G.; et al. A transient increase in the serum ANCAs in patients with SARS-CoV-2 infection: A signal of subclinical vasculitis of an epiphenomenon with no clinical manifestations? A pilot study. Viruses 2021, 13, 1718. [Google Scholar] [CrossRef] [PubMed]
- Gelzo, M.; Cacciapuoti, S.; Pinchera, B.; De Rosa, A.; Cernera, G.; Scialò, F.; Comegna, M.; Mormile, M.; Fabbrocini, G.; Parrella, R.; et al. Further findings concerning endothelial damage in COVID-19 patients. Biomolecules 2021, 11, 1368. [Google Scholar] [CrossRef] [PubMed]
- Scalia, G.; Raia, M.; Gelzo, M.; Cacciapuoti, S.; De Rosa, A.; Pinchera, B.; Scotto, R.; Giaccone, A.; Mormile, M.; Fabbrocini, G.; et al. Cytometric analysis of patients with COVID-19: What is changed in the second wave? J. Transl. Med. 2021, 19, 403. [Google Scholar] [CrossRef] [PubMed]
- Scavone, C.; Mascolo, A.; Rafaniello, C.; Sportiello, L.; Trama, U.; Zoccoli, A.; Scotto, R.; Giaccone, A.; Mormile, M.; Fabbrocini, G.; et al. Therapeutic strategies to fight COVID-19: Which is the status artis? Br. J. Pharmacol. 2021, 179, 2128–2148. [Google Scholar] [CrossRef]
- Zollo, M.; Ferrucci, V.; Izzo, B.; Quarantelli, F.; Domenico, C.D.; Comegna, M.; Paolillo, C.; Amato, F.; Siciliano, R.; Castaldo, G.; et al. SARS-CoV-2 subgenomic N (sgN) transcripts in oro-nasopharingeal swabs correlate with the highest viral load, as evaluated by five different molecular methods. Diagnostics 2021, 11, 288. [Google Scholar] [CrossRef] [PubMed]
- Kreutmair, S.; Unger, S.; Núñez, N.G.; Ingelfinger, F.; Alberti, C.; De Feo, D. Distinct immunological signatures discriminate severe COVID-19 from non-SARS-CoV-2-driven critical pneumonia. Immunity 2021, 54, 1578–1593. [Google Scholar] [CrossRef] [PubMed]
- Melms, J.C.; Biermann, J.; Huang, H.; Wang, Y.; Nair, A.; Tagore, S. A molecular single-cell lung atlas of lethal COVID-19. Nature 2021, 595, 114–119. [Google Scholar] [CrossRef] [PubMed]
- Copaescu, A.; James, F.; Mouhtouris, E.; Vogrin, S.; Smibert, O.C.; Gordon, C.L.; Drewett, G.; Holmes, N.E.; Trubiano, J.A. The role of immunological and clinical biomarkers to predict clinical covid-19 severity and response to therapy-a prospective longitudinal study. Front. Immunol. 2021, 12, 646095. [Google Scholar] [CrossRef]
- Delshad, M.; Tavakolinia, N.; Pourbagheri-Sigaroodi, A.; Safaroghli-Azar, A.; Bagheri, N.; Bashash, D. The contributory role of lymphocyte subsets, pathophysiology of lymphopenia and its implication as prognostic and therapeutic opportunity in COVID-19. Front. Immunol. 2021, 95, 107586. [Google Scholar] [CrossRef]
- Osman, M.; Faridi, R.M.; Sligl, W.; Shabani-Rad, M.T.; Dharmani-Khan, P.; Parker, A.; Kalra, A.; Tripathi, M.B.; Storek, J.; Cohen Tervaert, J.W.; et al. Impaired natural killer cell counts and cytolytic activity in patients with severe COVID-19. Blood Adv. 2020, 4, 5035–5039. [Google Scholar] [CrossRef]
- Berthelot, J.M.; Lioté, F.; Maugars, Y.; Sibilia, J. Lymphocyte Changes in Severe COVID-19: Delayed Over-Activation of STING? Front. Immunol. 2020, 11, 607069. [Google Scholar] [CrossRef] [PubMed]
- Bergamaschi, L.; Mescia, F.; Turner, L.; Hanson, A.L.; Kotagiri, P.; Dunmore, B.J. Longitudinal analysis reveals that delayed bystander CD8+ T cell activation and early immune pathology distinguish severe COVID-19 from mild disease. Immunity 2021, 54, 1257–1275.e8. [Google Scholar] [CrossRef] [PubMed]
- Gelzo, M.; Cacciapuoti, S.; Pinchera, B.; De Rosa, A.; Cernera, G.; Scialò, F.; Mormile, M.; Fabbrocini, G.; Parrella, R.; Gentile, I.; et al. Prognostic role of neutrophil to lymphocyte ratio in COVID-19 patients: Still valid in patients that had started therapy? Front. Public Health 2021, 9, 664108. [Google Scholar] [CrossRef] [PubMed]
- Kuribayashi, T. Elimination half-lives of interleukin-6 and cytokine-induced neutrophil chemoattractant-1 synthesized in response to inflammatory stimulation in rats. Lab. Anim. Res. 2018, 34, 80–83. [Google Scholar] [CrossRef] [PubMed]
- Wang, H.H.; Lee, T.Y.; Lin, C.Y. Kinetics and involvement of interleukin-17 in the outcome of peritonitis in nondiabetic patients undergoing peritoneal dialysis. J. Chin. Med. Assoc. 2011, 74, 11–15. [Google Scholar] [CrossRef][Green Version]
- Li, Q.; Xu, W.; Li, W.X.; Huang, C.L.; Chen, L. Dynamics of cytokines and lymphocyte subsets associated with the poor prognosis of severe COVID-19. Eur. Rev. Med. Pharmacol. Sci. 2020, 24, 12536–12544. [Google Scholar]
- Li, J.; Rong, L.; Cui, R.; Feng, J.; Jin, Y.; Yu, Y.; Chen, X.; Xu, R. Dynamic changes in serum IL-6, IL-8, and IL-10 predict the outcome of ICU patients with severe COVID-19. Ann. Palliat. Med. 2021, 10, 3706–3714. [Google Scholar] [CrossRef]
- Witkowski, M.; Tizian, C.; Ferreira-Gomes, M.; Niemeyer, D.; Jones, T.C.; Heinrich, F. Untimely TGFβ responses in COVID-19 limit antiviral functions of NK cells. Nature 2021, 600, 295–301. [Google Scholar] [CrossRef]
- Krämer, B.; Knoll, R.; Bonaguro, L.; ToVinh, M.; Raabe, J.; Astaburuaga-García, R. Early IFN-α signatures and persistent dysfunction are distinguishing features of NK cells in severe COVID-19. Immunity 2021, 54, 2650–2669.e14. [Google Scholar] [CrossRef]
- Cox, R.J.; Brokstad, K.A. Not just antibodies: B cells and T cells mediate immunity to COVID-19. Nat. Rev. Immunol. 2020, 20, 581–582. [Google Scholar] [CrossRef]
- Rabaan, A.A.; Al-Ahmed, S.H.; Garout, M.A.; Al-Qaaneh, A.M.; Sule, A.A.; Tirupathi, R.; Mutair, A.A.; Alhumaid, S.; Hasan, A.; Dhawan, M.; et al. Diverse Immunological Factors Influencing Pathogenesis in Patients with COVID-19: A Review on Viral Dissemination, Immunotherapeutic Options to Counter Cytokine Storm and Inflammatory Responses. Pathogens 2021, 10, 565. [Google Scholar] [CrossRef] [PubMed]
- de Candia, P.; Prattichizzo, F.; Garavelli, S.; Matarese, G. T cells: Warriors of SARS-CoV-2 infection. Trends Immunol. 2021, 42, 18–30. [Google Scholar] [CrossRef] [PubMed]
- The RECOVERY Collaborative Group. Dexamethasone in hospitalized patients with COVID-19—Preliminary Report. N. Engl. J. Med. 2021, 384, 693–704. [Google Scholar] [CrossRef] [PubMed]
- Cain, D.W.; Cidlowski, J.A. After 62 years of regulating immunity, dexamethasone meets COVID-19. Nat. Rev. Immunol. 2020, 20, 587–588. [Google Scholar] [CrossRef]




| Mild (n = 29) | Moderate (n = 79) | Severe (n = 28) | Died (n = 8) | ||
|---|---|---|---|---|---|
| Age (years) | 40 (30; 61) | 61 (50; 71) | 62 (52; 72) | 78 (58; 85) | |
| Males (n, %) | 14 (48) | 50 (63) | 19 (68) | 7 (87) | |
| Oxygen | Basal | 16 (55) | 66 (83) | 24 (86) | 7 (87) |
| support (n, %) | After 1 week | 12 (41) | 64 (81) | 23 (82) | 6 (75) |
| Δ (%) | −25 | −3.0 | −4.2 | −14 | |
| p value | n.s. | n.s. | n.s. | n.s. | |
| Respirator | Basal | 0 | 0 | 1 (3.6) | 0 |
| (n, %) | After 1 week | 0 | 9 (11) | 6 (21) | 5 (62) |
| Δ (%) | 0 | NQ | 500 | NQ | |
| p value | n.s. | <0.0001 | <0.0001 | <0.0001 | |
| Intubation | Basal | 0 | 0 | 0 | 0 |
| (n, %) | After 1 week | 0 | 9 (11) | 4 (14) | 5 (62) |
| Δ (%) | 0 | NQ | NQ | NQ | |
| p value | n.s. | <0.0001 | <0.0001 | <0.0001 | |
| Platelets | Basal | 306 (232; 386) | 356 (278; 456) | 432 (318; 457) | 395 (189; 564) |
| (103/mmc) | After 1 week | 332 (265; 372) | 330 (287; 382) | 375 (319; 423) | 348 (236; 589) |
| (150–450) | Δ (%) | −3.0 (−10; 7) | −6.0 (−15; 1.0) | −6.0 (−16; 4.5) | −1.5 (−8.0; 4.5) |
| p value | n.s. | <0.0001 | 0.005 | n.s. | |
| WBC (N/mmc) | Basal | 5910 (4270; 9960) | 8550 (5960; 10,950) | 8560 (7680; 11,545) | 4920 (4282; 6400) |
| (4500–11,000) | After 1 week | 6980 (5325; 9000) | 8170 (6230; 9850) | 9200 (7425; 12,640) | 9555 (6332; 14,380) |
| Δ (%) | 20 (−11; 40) | −2.4 (−19; 27) | 6.1 (−17; 39) | 77 (11; 137) | |
| p value | n.s. | n.s. | n.s. | n.s. | |
| Neutrophils (%) | Basal | 70 (60; 75) | 77 (71; 82) | 78 (66; 84) | 73 (65; 83) |
| (40–75) | After 1 week | 66 (56; 72) | 73 (60; 79) | 69 (63; 78) | 82 (74; 88) |
| Δ (%) | −6.7 (−16; 0.7) | −6.5 (−17; 0.0) | −3.6 (−11; 4.1) | 14 (−5.6; 21) | |
| p value | 0.030 | <0.0001 | n.s. | n.s. | |
| Neutrophils | Basal | 4567 (2547; 5873) | 6453 (4524; 8334) | 6847 (5060; 8837) | 3315 (2721; 5585) |
| (N/mmc) | After 1 week | 4578 (3062; 5885) | 5407 (4111; 7732) | 7018 (4715; 8659) | 7560 (3758; 12,830) |
| (2000–8000) | Δ (%) | 2.1 (−22; 38) | −12 (−32; 25) | 8.2 (−12; 38) | 75 (2.8; 176) |
| p value | n.s. | n.s. | n.s. | 0.050 | |
| Lymphocytes | Basal | 20 (12; 28) | 12 (8.0; 18) | 11 (8.5; 20) | 17 (8.3; 23) |
| (%) | After 1 week | 23 (18; 33) | 16 (12; 25) | 14 (10; 24) | 10 (4.5; 15) |
| (20–40) | Δ (%) | 25 (−9; 64) | 33 (−12; 114) | 20 (−11; 75) | −33 (−71; 75) |
| p value | n.s. | <0.0001 | n.s. | n.s. | |
| Lymphocytes | Basal | 1160 (621; 1858) | 988 (614; 1500) | 991 (634; 1783) | 780 (419; 1222) |
| (N/mmc) | After 1 week | 1663 (1195; 2185) | 1256 (904; 1819) | 1265 (939; 2005) | 952 (350; 1340) |
| (1500–3000) | Δ (%) | 31 (3.6; 97) | 19 (−16; 106) | 27 (−4.9; 116) | −15 (−57; 214) |
| p value | 0.003 | <0.0001 | 0.028 | n.s. | |
| NLR (ratio) | Basal | 3.5 (2.2; 6.3) | 6.3 (3.8; 10) | 6.9 (3.5; 9.7) | 4.3 (2.8; 12) |
| After 1 week | 3.0 (1.7; 4.0) | 4.3 (2.5; 6.6) | 5.2 (2.7; 7.7) | 8.8 (5.1; 20) | |
| Δ (%) | −30 (−49; 9.9) | −32 (−63; 11) | −21 (−50; 15) | 84 (−40; 357) | |
| p value | 0.023 | 0.001 | n.s. | n.s. | |
| Ferritin (ng/mL) | Basal | 267 (241; 422) | 427 (280; 545) | 540 (390; 638) | 484 (264; 660) |
| (20–250) | After 1 week | 274 (220; 407) | 367 (249; 487) | 491 (359; 601) | 472 (267; 650) |
| Δ (%) | −8.0 (−13; −4.5) | −7.0 (−12; −1.2) | −9.0 (−11; −4.7) | −1.0 (−10; 6.2) | |
| p value | <0.0001 | <0.0001 | <0.0001 | n.s. | |
| C-reactive | Basal | 19 (12; 46) | 45 (25; 68) | 63 (36; 78) | 50 (42; 64) |
| protein (mg/L) | After 1 week | 5.0 (4.0; 10) | 11 (6.0; 18) | 19 (9.5; 61) | 82 (16; 165) |
| (0–5) | Δ (%) | −69 (−83; −41) | −75 (−83; −61) | −72 (−78; −17) | 72 (−82; 171) |
| p value | <0.0001 | <0.0001 | 0.050 | n.s. |
| Mild (n = 29) | Moderate (n = 79) | Severe (n = 28) | Died (n = 8) | ||
|---|---|---|---|---|---|
| IL-6 | Basal | 40 (26; 129) | 133 (37; 275) | 27 (21; 36) | 411 (241; 3288) |
| (0.0–4.5) | After 1 week | 30 (23; 66) | 59 (24; 170) | 33 (27; 90) | 1287 (157; 3367) |
| Δ (%) | −23 (−67; 5.7) | −29 (−75; 4.0) | 3.2 (−37; 157) | −34 (−42; 570) | |
| p value | 0.031 | 0.043 | n.s. | n.s. | |
| IL-10 | Basal | 7.8 (5.5; 12.2) | 9.3 (5.4; 19.4) | 2.8 (0.1; 7.8) | 9.6 (6.5; 23) |
| (0.0–3.0) | After 1 week | 7.3 (5.4; 8.5) | 6.7 (4.6; 9.2) | 7.6 (4.5; 24) | 12.7 (6.9; 32) |
| Δ (%) | −5.5 (−38; 4.4) | −31 (−53; −8.7) | 54 (−6.0; 193) | −3.1 (−42; 103) | |
| p value | n.s. | 0.002 | n.s. | n.s. | |
| IL-17A | Basal | 2.0 (2.0; 2.3) | 3.2 (2.0; 5.3) | 3.5 (2.0; 8.5) | 2.9 (2.2; 3.4) |
| (0.0–2.0) | After 1 week | 2.0 (2.0; 4.5) | 3.2 (2.0; 7.7) | 6.0 (2.0; 12) | 2.1 (2.0; 25) |
| Δ (%) | 0.0 (0.0; 31) | 0.0 (−27; 34) | 68 (−40; 301) | −8 (−39; 731) | |
| p value | n.s. | n.s. | n.s. | n.s. |
| Not Treated (n = 11) | Treated (n = 24) | p Value (a) | ||
|---|---|---|---|---|
| IL-6 | Basal | 42.2 (31.2–403) | 24.3 (20.0–34.4) | 0.008 |
| (0.0–4.5) | After 1 week | 106 (32.8–2315) | 74.4 (25.5–207) | n.s. |
| p value (b) | n.s. | n.s. | ||
| IL-10 | Basal | 9.7 (4.8–57.1) | 1.7 (0.1–8.2) | 0.015 |
| (0.0–3.0) | After 1 week | 23.1 (6.5–37.9) | 6.9 (6.8–7.0) | n.s. |
| p value (b) | n.s. | n.s. | ||
| IL-17A | Basal | 2.5 (2.0–3.4) | 2.8 (2.0–3.1) | n.s. |
| (0.0–2.0) | After 1 week | 3.3 (2.0–12.6) | 2.0 (2.0–2.1) | n.s. |
| p value (b) | n.s. | n.s. | ||
| Total lymphocytes | Basal | 785 (388–1241) | 991 (639–1794) | n.s. |
| (1500–3000) | After 1 week | 926 (390–1776) | 1358 (1063–2005) | n.s. |
| p value (b) | n.s. | 0.035 | ||
| NLR (%) | Basal | 4.0 (2.5–10.5) | 6.7 (3.5–10.3) | n.s. |
| After 1 week | 6.6 (2.6–21.5) | 5.6 (3.0–7.7) | n.s. | |
| p value (b) | n.s. | n.s. | ||
| Naïve | Basal | 408 (251–900) | 614 (346–1353) | n.s. |
| (126–1121) | After 1 week | 666 (182–977) | 876 (497–1152) | n.s. |
| p value (b) | n.s. | n.s. | ||
| Memory | Basal | 262 (145–546) | 350 (230–693) | n.s. |
| (319–1184) | After 1 week | 268 (98–567) | 535 (324–733) | n.s. |
| p value (b) | n.s. | 0.042 | ||
| T cytotoxic | Basal | 235 (49–422) | 234 (129–405) | n.s. |
| (229–1112) | After 1 week | 131 (105–267) | 328 (239–517) | n.s. |
| p value (b) | n.s. | 0.009 | ||
| B | Basal | 50 (36–165) | 125 (68–265) | n.s. |
| (72–520) | After 1 week | 98 (31–401) | 154 (98–303) | n.s. |
| p value (b) | n.s. | 0.008 | ||
| Total | Basal | 85 (51–207) | 169 (119–358) | n.s. |
| activated | After 1 week | 117 (56–442) | 213 (136–349) | n.s. |
| (86–799) | p value (b) | n.s. | 0.005 | |
| T activated | Basal | 15.8 (9.0–27.9) | 17.1 (7.9–40.3) | n.s. |
| (14–411) | After 1 week | 16.8 (12.7–23.5) | 31.7 (17.3–57.7) | n.s. |
| p value (b) | n.s. | 0.028 | ||
| TH17 | Basal | 24.3 (11.8–67.2) | 32 (19–68) | n.s. |
| (3.8–60.0) | After 1 week | 18.5 (10.0–42.2) | 71 (44–86) | 0.008 |
| p value (b) | n.s. | <0.0001 |
Publisher’s Note: MDPI stays neutral with regard to jurisdictional claims in published maps and institutional affiliations. |
© 2022 by the authors. Licensee MDPI, Basel, Switzerland. This article is an open access article distributed under the terms and conditions of the Creative Commons Attribution (CC BY) license (https://creativecommons.org/licenses/by/4.0/).
Share and Cite
Scalia, G.; Raia, M.; Gelzo, M.; Cacciapuoti, S.; Rosa, A.D.; Pinchera, B.; Scotto, R.; Tripodi, L.; Mormile, M.; Fabbrocini, G.; et al. Lymphocyte Population Changes at Two Time Points during the Acute Period of COVID-19 Infection. J. Clin. Med. 2022, 11, 4306. https://doi.org/10.3390/jcm11154306
Scalia G, Raia M, Gelzo M, Cacciapuoti S, Rosa AD, Pinchera B, Scotto R, Tripodi L, Mormile M, Fabbrocini G, et al. Lymphocyte Population Changes at Two Time Points during the Acute Period of COVID-19 Infection. Journal of Clinical Medicine. 2022; 11(15):4306. https://doi.org/10.3390/jcm11154306
Chicago/Turabian StyleScalia, Giulia, Maddalena Raia, Monica Gelzo, Sara Cacciapuoti, Annunziata De Rosa, Biagio Pinchera, Riccardo Scotto, Lorella Tripodi, Mauro Mormile, Gabriella Fabbrocini, and et al. 2022. "Lymphocyte Population Changes at Two Time Points during the Acute Period of COVID-19 Infection" Journal of Clinical Medicine 11, no. 15: 4306. https://doi.org/10.3390/jcm11154306
APA StyleScalia, G., Raia, M., Gelzo, M., Cacciapuoti, S., Rosa, A. D., Pinchera, B., Scotto, R., Tripodi, L., Mormile, M., Fabbrocini, G., Gentile, I., Parrella, R., Castaldo, G., & Scialò, F. (2022). Lymphocyte Population Changes at Two Time Points during the Acute Period of COVID-19 Infection. Journal of Clinical Medicine, 11(15), 4306. https://doi.org/10.3390/jcm11154306

