Clinical and Laboratory Findings of Nosocomial Sepsis in Extremely Low Birth Weight Infants According to Causative Organisms
Abstract
1. Introduction
2. Materials and Methods
2.1. Materials
2.2. Methods
2.3. Statistical Analysis
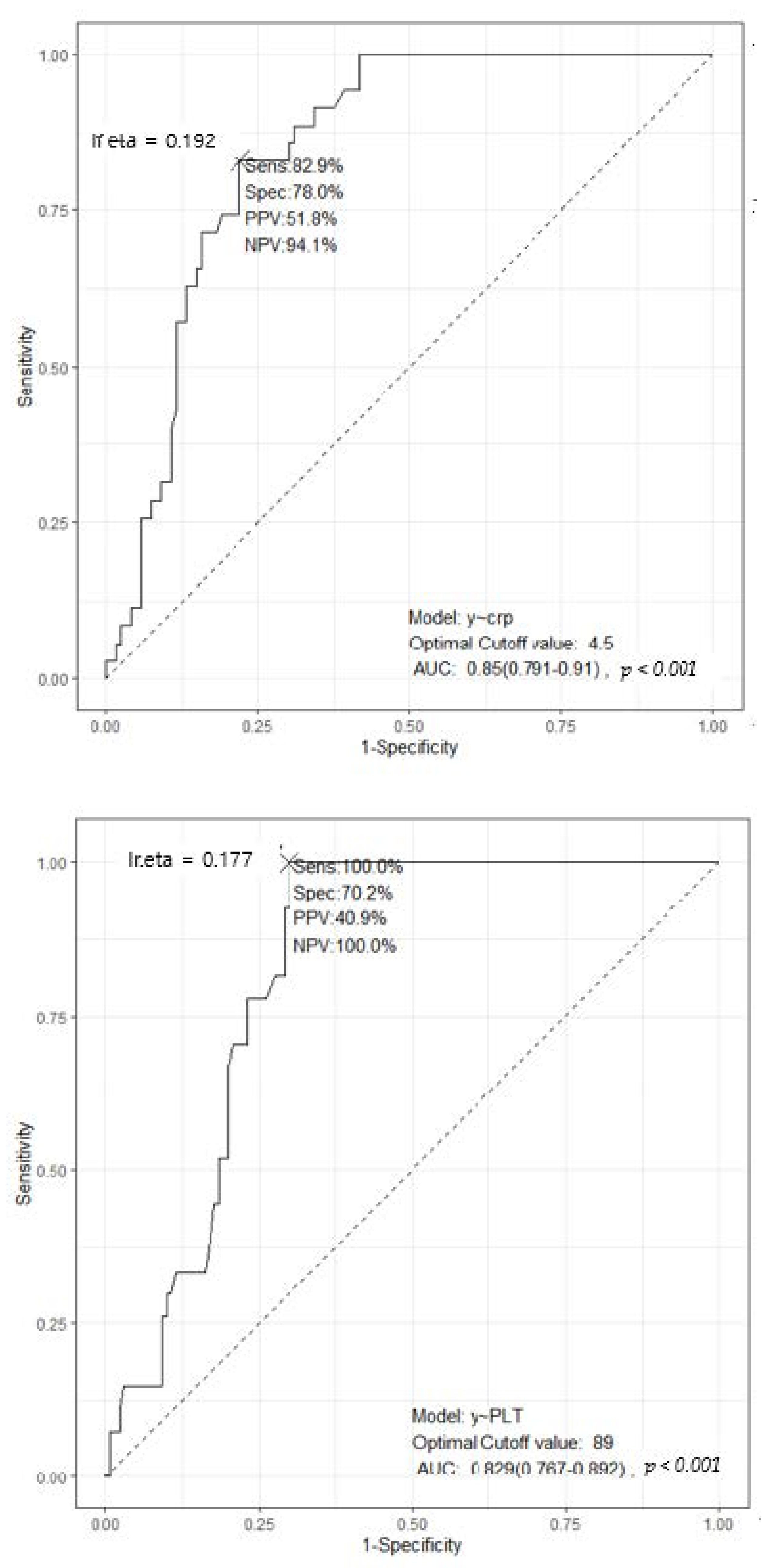
3. Results
4. Discussion
5. Conclusions
Author Contributions
Funding
Institutional Review Board Statement
Informed Consent Statement
Data Availability Statement
Acknowledgments
Conflicts of Interest
Abbreviations
References
- Stoll, B.J.; Hansen, N.; Fanaroff, A.A.; Wright, L.L.; Carlo, W.A.; Ehrenkranz, R.A.; Lemons, J.A.; Donovan, E.F.; Stark, A.R.; Tyson, J.E.; et al. Changes in pathogens causing early-onset sepsis in very-low-birth-weight infants. N. Engl. J. Med. 2002, 347, 240–247. [Google Scholar] [CrossRef] [PubMed]
- Dong, Y.; Speer, C.P. Late-onset neonatal sepsis: Recent developments. Arch. Dis. Child.-Fetal Neonatal Ed. 2015, 100, F257–F263. [Google Scholar] [CrossRef]
- Ran, N.C.; van den Hoogen, A.; Hemels, M.A.C. Gram-negative Late-onset Sepsis in Extremely Low Birth Weight Infants Is Emerging in The Netherlands Despite Quality Improvement Programs and Antibiotic Stewardship! Pediatr. Infect. Dis. J. 2019, 38, 952–957. [Google Scholar] [CrossRef] [PubMed]
- Allen, T.R.; da Silva, O.P. Choice of antibiotics in late neonatal sepsis in the extremely low birth weight infant. Can. J. Infect. Dis. 2003, 14, 28–31. [Google Scholar] [CrossRef][Green Version]
- Bekhof, J.; Kollen, B.J.; Kok, J.H.; Van Straaten, H.L. Glucosuria as an early marker of late-onset sepsis in preterms: A prospective cohort study. BMC Pediatr. 2015, 15, 125. [Google Scholar] [CrossRef]
- Benjamin, D.K., Jr.; Ross, K.; McKinney, R.E., Jr.; Benjamin, D.K.; Auten, R.; Fisher, R.G. When to suspect fungal infection in neonates: A clinical comparison of Candida albicans and Candida parapsilosis fungemia with coagulase-negative staphylococcal bacteremia. Pediatrics 2000, 106, 712–718. [Google Scholar] [CrossRef]
- Kaufman, D.; Boyle, R.; Hazen, K.C.; Patrie, J.T.; Robinson, M.; Donowitz, L.G. Fluconazole prophylaxis against fungal colonization and infection in preterm infants. N. Engl. J. Med. 2001, 345, 1660–1666. [Google Scholar] [CrossRef] [PubMed]
- Clerihew, L.; Lamagni, T.L.; Brocklehurst, P.; McGuire, W. Invasive fungal infection in very low birthweight infants: National prospective surveillance study. Arch. Dis. Child.-Fetal. Neonatal Ed. 2006, 91, F188–F192. [Google Scholar] [CrossRef]
- Guida, J.D.; Kunig, A.M.; Leef, K.H.; McKenzie, S.E.; Paul, D.A. Platelet count and sepsis in very low birth weight neonates: Is there an organism-specific response? Pediatrics 2003, 1411–1415. [Google Scholar] [CrossRef]
- Greenberg, R.G.; Kandefer, S.; Do, B.T.; Smith, P.B.; Stoll, B.J.; Bell, E.F.; Carlo, W.A.; Laptook, A.R.; Sánchez, P.J.; Shankaran, S.; et al. Late-onset Sepsis in Extremely Premature Infants: 2000–2011. Pediatr. Infect. Dis. J. 2017, 36, 774–779. [Google Scholar] [CrossRef]
- Benitz, W.E. Adjunct laboratory tests in the diagnosis of early-onset neonatal sepsis. Clin. Perinatol. 2010, 37, 421–438. [Google Scholar] [CrossRef] [PubMed]
- Gerdes, J.S. Diagnosis and management of bacterial infections in the neonate. Pediatr. Clin. N. Am. 2004, 51, 939–959. [Google Scholar] [CrossRef] [PubMed]
- Rubin, L.G.; Sánchez, P.J.; Siegel, J.; Levine, G.; Saiman, L.; Jarvis, W.R. Pediatric Prevention Network: Evaluation and treatment of neonates with suspected late-onset sepsis: A survey of neonatologists’ practices. Pediatrics 2002, 110, e42. [Google Scholar] [CrossRef] [PubMed]
- Murphy, K.; Weiner, J. Use of leukocyte counts in evaluation of early-onset neonatal sepsis. Pediatr. Infect. Dis. J. 2012, 31, 16–19. [Google Scholar] [CrossRef]
- Chirico, G.; Motta, M.; Villani, P.; Cavazza, A.; Cardone, M.L. Late-onset neutropenia in very low birthweight infants. Acta Paediatr. Suppl. 2002, 91, 104–108. [Google Scholar] [CrossRef] [PubMed]
- Omar, S.A.; Salhadar, A.; Wooliever, D.E.; Alsgaard, P.K. Late-onset neutropenia in very low birth weight infants. Pediatrics 2000, 106, E55. [Google Scholar] [CrossRef]
- Hornik, C.P.; Benjamin, D.K.; Becker, K.C.; Benjamin, D.K., Jr.; Li, J.; Clark, R.H.; Cohen-Wolkowiez, M.; Smith, P.B. Use of the complete blood cell count in early-onset neonatal sepsis. Pediatr. Infect. Dis. J. 2012, 31, 799–802. [Google Scholar] [CrossRef] [PubMed]
- Sarkar, S.; Bhagat, I.; Hieber, S.; Donn, S.M. Can neutrophil responses in very low birth weight infants predict the organisms responsible for late-onset bacterial or fungal sepsis? J. Perinatol. 2006, 26, 501–505. [Google Scholar] [CrossRef]
- Dogan, P.; Varal, I.G. Red cell distribution width as a predictor of late-onset Gram-negative sepsis. Pediatr. Int. 2020, 62, 341–346. [Google Scholar] [CrossRef]
- Benjamin, D.K., Jr.; DeLong, E.R.; Steinbach, W.J.; Cotton, C.M.; Walsh, T.J.; Clark, R.H. Empirical therapy for neonatal candidemia in very low birth weight infants. Pediatrics 2003, 543–547. [Google Scholar] [CrossRef]
- Choi, J.H.; Ko, H.M.; Kim, J.W.; Lee, H.K.; Han, S.S.; Chun, S.B.; Im, S.Y. Platelet-activating factor-induced early activation of NF-kappa B plays a crucial role for organ clearance of Candida albicans. J. Immunol. 2001, 166, 5139–5144. [Google Scholar] [CrossRef]
- Ree, I.M.C.; Fustolo-Gunnink, S.F.; Bekker, V.; Fijnvandraat, K.J.; Steggerda, S.J.; Lopriore, E. Thrombocytopenia in neonatal sepsis: Incidence, severity and risk factors. PLoS ONE 2017, 12, e0185581. [Google Scholar] [CrossRef]
- Beltempo, M.; Viel-Thériault, I.; Thibeault, R.; Julien, A.S.; Piedboeuf, B. C-reactive protein for late-onset sepsis diagnosis in very low birth weight infants. BMC Pediatr. 2018, 18, 16. [Google Scholar] [CrossRef] [PubMed]
- Du Clos, T.W. Function of C-reactive protein. Ann. Med. 2000, 32, 274–278. [Google Scholar] [CrossRef] [PubMed]
- Dritsakou, K.; Liosis, G.; Gioni, M.; Glynou, E.; Avdeliodi, K.; Papagaroufalis, K. CRP levels in extremely low birth weight (ELBW) septic infants. J. Matern.-Fetal Neonatal Med. 2015, 28, 237–239. [Google Scholar] [CrossRef] [PubMed]
- Ishibashi, M.; Takemura, Y.; Ishida, H.; Watanabe, K.; Kawai, T. C-reactive protein kinetics in newborns: Application of a high-sensitivity analytic method in its determination. Clin. Chem. 2002, 48, 1103–1106. [Google Scholar] [CrossRef] [PubMed]
- Chiesa, C.; Natale, F.; Pascone, R.; Osborn, J.F.; Pacifico, L.; Bonci, E.; De Curtis, M. C reactive protein and procalcitonin: Reference intervals for preterm and term newborns during the early neonatal period. Clin. Chim. Acta 2011, 412, 1053–1059. [Google Scholar] [CrossRef]
- Rewa, O.; Muscedere, J.; Reynolds, S.; Jiang, X.; Heyland, D.K. Coagulase-negative Staphylococcus, catheter-related, bloodstream infections and their association with acute phase markers of inflammation in the intensive care unit: An observational study. Can. J. Infect. Dis. Med. Microbiol. 2012, 23, 204–208. [Google Scholar] [CrossRef][Green Version]
- Białecka, A.; Mak, M.; Biedroń, R.; Bobek, M.; Kasprowicz, A.; Marcinkiewicz, J. Different pro-inflammatory and immunogenic potentials of Propionibacterium acnes and Staphylococcus epidermidis: Implications for chronic inflammatory acne. Arch. Immunol. Ther. Exp. 2005, 53, 79–85. [Google Scholar]
- Kilbride, H.W.; Wirtschafter, D.D.; Powers, R.J.; Sheehan, M.B. Implementation of evidence-based potentially better practices to decrease nosocomial infections. Pediatrics 2003, e519–e533. [Google Scholar] [CrossRef]
- Kilbride, H.W.; Powers, R.; Wirtschafter, D.D.; Sheehan, M.B.; Charsha, D.S.; LaCorte, M.; Finer, N.; Goldmann, D.A. Evaluation and development of potentially better practices to prevent neonatal nosocomial bacteremia. Pediatrics 2003, e504–e518. [Google Scholar] [CrossRef]
- Kao, L.S.; Morris, B.H.; Lally, K.P.; Stewart, C.D.; Huseby, V.; Kennedy, K.A. Hyperglycemia and morbidity and mortality in extremely low birth weight infants. J. Perinatol. 2006, 26, 730–736. [Google Scholar] [CrossRef] [PubMed]
- Manzoni, P.; Castagnola, E.; Mostert, M.; Sala, U.; Galletto, P.; Gomirato, G. Hyperglycaemia as a possible marker of invasive fungal infection in preterm neonates. Acta Paediatr. 2006, 95, 486–493. [Google Scholar] [CrossRef] [PubMed]
- Farrag, H.M.; Cowett, R.M. Glucose homeostasis in the micropremie. Clin. Perinatol. 2000, 27, 1–22. [Google Scholar] [CrossRef]
- Manzoni, P.; Farina, D.; Leonessa, M.; d’Oulx, E.A.; Galletto, P.; Mostert, M.; Miniero, R.; Gomirato, G. Risk factors for progression to invasive fungal infection in preterm neonates with fungal colonization. Pediatrics 2006, 118, 2359–2364. [Google Scholar] [CrossRef]
- Levit, O.; Bhandari, V.; Li, F.Y.; Shabanova, V.; Gallagher, P.G.; Bizzarro, M.J. Clinical and laboratory factors that predict death in very low birth weight infants presenting with late-onset sepsis. Pediatric Infect. Dis. J. 2014, 33, 143–146. [Google Scholar] [CrossRef]



| Gram Positive | Gram Negative | Fungal | Negative Culture | p Value | |
|---|---|---|---|---|---|
| Gestational age | 25.5 (25.0–26.5) | 25.4 (24.5–26.4) | 25.3(24.3–26.2) | 25.9 (24.3–26.3) | 0.415 |
| Birth weight | 780 (695–900) | 790 (710–910) | 760 (685–835) | 790 (705–920) | 0.580 |
| Male gender | 27 (60%) | 19 (54%) | 16 (59%) | 25 (49%) | 0.865 |
| Inborn | 41 (91%) | 28 (80%) | 21 (78%) | 39 (77%) | 0.234 |
| Onset (age, d) | 34 (26–61) | 31 (19–59) | 21 (11–31) | 29 (20–55) | 0.001 * |
| RDS | 45 (100.0%) | 35 (100.0%) | 27 (100.0%) | 50 (98.0%) | 0.550 |
| PDA | 16 (35.6%) | 19 (54.3%) | 14 (51.9%) | 19 (37.3%) | 0.223 |
| IVH | 6 (13. 3%) | 6 (17.1%) | 9 (33.0%) | 7 (13.7%) | 0.106 |
| BPD | 42 (93.3%) | 28 (80.0%) | 23 (85.2%) | 43 (84.3%) | 0.205 |
| ROP | 7 (15.6%) | 4 (11.4%) | 0 (0.0%) | 8 (15.7%) | 0.181 |
| PVL | 4 (8.9%) | 2 (5.7%) | 1 (3.7%) | 5 (9.8%) | 0.748 |
| Mortality | 13 (28.9%) | 29 (54.3%) | 18 (66.7%) | 10 (19.6%) | <0.001 * |
| Gram Positive | Gram Negative | Fungal | Negative Culture | p Value | |
|---|---|---|---|---|---|
| WBC | 11440 (7220–18740) | 16880 (9005–26005) | 9080 (5585–13325) | 11940 (7425–17415) | 0.044 * |
| Hb | 10.9 (9.7–11.9) | 10.6 (9.0–12.4) | 10.9 (9.8–12.0) | 11.3 (10.5–12.5) | 0.305 |
| PLT | 137,000 (83,000–225,000) | 100,000 (48,000–185,500) | 61,000 (32,000–70,000) | 199,000 (106,500–271,000) | <0.001 * |
| CRP | 2.2 (1.6–4.6) | 6.8 (4.7–11.6) | 1.13 (0.4–3.3) | 2.29 (0.96–4.05) | <0.001 * |
| Glucose | 133 (99–155) | 130 (102–167) | 253 (219–288) | 97 (79–131) | <0.001 * |
| ph | 7.34 (7.27–7.37) | 7.29 (7.21–7.38) | 7.28 (7.18–7.34) | 7.31 (7.29–7.41) | 0.211 |
Publisher’s Note: MDPI stays neutral with regard to jurisdictional claims in published maps and institutional affiliations. |
© 2022 by the authors. Licensee MDPI, Basel, Switzerland. This article is an open access article distributed under the terms and conditions of the Creative Commons Attribution (CC BY) license (https://creativecommons.org/licenses/by/4.0/).
Share and Cite
Park, K.-H.; Park, S.-J.; Bae, M.-H.; Jeong, S.-H.; Jeong, M.-H.; Lee, N.; Han, Y.-M.; Byun, S.-Y. Clinical and Laboratory Findings of Nosocomial Sepsis in Extremely Low Birth Weight Infants According to Causative Organisms. J. Clin. Med. 2022, 11, 260. https://doi.org/10.3390/jcm11010260
Park K-H, Park S-J, Bae M-H, Jeong S-H, Jeong M-H, Lee N, Han Y-M, Byun S-Y. Clinical and Laboratory Findings of Nosocomial Sepsis in Extremely Low Birth Weight Infants According to Causative Organisms. Journal of Clinical Medicine. 2022; 11(1):260. https://doi.org/10.3390/jcm11010260
Chicago/Turabian StylePark, Kyung-Hee, Su-Jung Park, Mi-Hye Bae, Seong-Hee Jeong, Mun-Hui Jeong, Narae Lee, Young-Mi Han, and Shin-Yun Byun. 2022. "Clinical and Laboratory Findings of Nosocomial Sepsis in Extremely Low Birth Weight Infants According to Causative Organisms" Journal of Clinical Medicine 11, no. 1: 260. https://doi.org/10.3390/jcm11010260
APA StylePark, K.-H., Park, S.-J., Bae, M.-H., Jeong, S.-H., Jeong, M.-H., Lee, N., Han, Y.-M., & Byun, S.-Y. (2022). Clinical and Laboratory Findings of Nosocomial Sepsis in Extremely Low Birth Weight Infants According to Causative Organisms. Journal of Clinical Medicine, 11(1), 260. https://doi.org/10.3390/jcm11010260

