ONLINE-TICS: Internet-Delivered Behavioral Treatment for Patients with Chronic Tic Disorders
Abstract
:1. Introduction
2. Materials and Methods
2.1. Study Design
2.2. Eligibility Criteria
2.3. Outcome Measures
2.4. Data Analysis
2.4.1. Primary Analysis
2.4.2. Secondary Analyses
2.4.3. Safety Analyses
3. Results
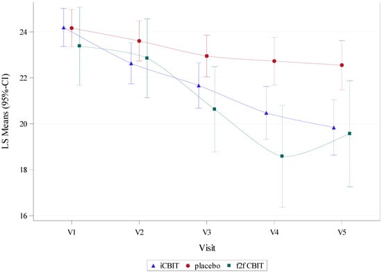
3.1. Efficacy of iCBIT Compared to Placebo
3.2. Efficacy of iCBIT Compared to f2f CBIT
3.3. Efficacy of f2f CBIT Compared to Placebo
3.4. Effects on Tics (According to Self and Video Assessments), Premonitory Urges, Comorbidities, Quality of Life, and Therapeutic Alliance
3.5. Safety Analysis
4. Discussion
5. Conclusions
Supplementary Materials
Author Contributions
Funding
Institutional Review Board Statement
Informed Consent Statement
Data Availability Statement
Acknowledgments
Conflicts of Interest
References
- American Psychiatric Association. Diagnostic and Statistical Manual of Mental Disorders, 5th ed.; American Psychiatric Association: Arlington, VA, USA, 2013; ISBN 0-89042-061-0. [Google Scholar]
- Black, K.J.; Kim, S.; Yang, N.Y.; Greene, D.J. Course of Tic Disorders Over the Lifespan. Curr. Dev. Disord. Rep. 2021, 8, 121–132. [Google Scholar] [CrossRef] [PubMed]
- Pappert, E.J.; Goetz, C.G.; Louis, E.D.; Blasucci, L.; Leurgans, S. Objective assessments of longitudinal outcome in Gilles de la Tourette’s syndrome. Neurology 2003, 61, 936–940. [Google Scholar] [CrossRef] [PubMed]
- Evans, J.; Seri, S.; Cavanna, A.E. The effects of Gilles de la Tourette syndrome and other chronic tic disorders on quality of life across the lifespan: A systematic review. Eur. Child. Adolesc. Psychiatry 2016, 25, 939–948. [Google Scholar] [CrossRef] [Green Version]
- Dodel, I.; Reese, J.P.; Müller, N.; Münchau, A.; Balzer-Geldsetzer, M.; Wasem, J.; Oertel, W.H.; Dodel, R.; Müller-Vahl, K.R. Cost of illness in patients with Gilles de la Tourette’s syndrome. J. Neurol. 2010, 257, 1055–1061. [Google Scholar] [CrossRef]
- Piacentini, J.; Woods, D.W.; Scahill, L.; Wilhelm, S.; Peterson, A.L.; Chang, S.; Ginsburg, G.S.; Deckersbach, T.; Dziura, J.; Levi-Pearl, S.; et al. Behavior therapy for children with tourette disorder: A randomized controlled trial. JAMA 2010, 303, 1929–1937. [Google Scholar] [CrossRef] [Green Version]
- Wilhelm, S.; Peterson, A.L.; Piacentini, J.; Woods, D.W.; Deckersbach, T.; Sukhodolsky, D.G.; Chang, S.; Liu, H.; Dziura, J.; Walkup, J.T.; et al. Randomized Trial of Behavior Therapy for Adults with Tourette Syndrome. Arch. Gen. Psychiatry 2012, 69, 795–803. [Google Scholar] [CrossRef] [Green Version]
- Woods, D.W.; Piacentini, J.C.; Chang, S.W.; Deckersbach, T.; Ginsburg, G.S.; Peterson, A.L.; Scahill, L.D.; Walkup, J.T.; Wilhelm, S. Managing Tourette Syndrome: A Behavioral Intervention for Children and Adults Therapist Guide; Oxford University Press Inc.: New York, NY, USA, 2008. [Google Scholar]
- Pringsheim, T.; Holler-Managan, Y.; Okun, M.S.; Jankovic, J.; Piacentini, J.; Cavanna, A.E.; Martino, D.; Müller-Vahl, K.R.; Woods, D.W.; Robinson, M.; et al. Comprehensive systematic review summary: Treatment of tics in people with Tourette syndrome and chronic tic disorders. Neurology 2019, 92, 907–915. [Google Scholar] [CrossRef] [Green Version]
- Müller-Vahl, K.R.; Szejko, N.; Verdellen, C.; Roessner, V.; Hoekstra, P.J.; Hartmann, A.; Cath, D.C. European clinical guidelines for Tourette syndrome and other tic disorders: Summary statement. Eur. Child. Adolesc. Psychiatry 2021. [Google Scholar] [CrossRef]
- Andrén, P.; Jakubovski, E.; Murphy, T.L.; Woitecki, K.; Tarnok, Z.; Zimmerman-Brenner, S.; van de Griendt, J.; Debes, N.M.; Viefhaus, P.; Robinson, S.; et al. European clinical guidelines for Tourette syndrome and other tic disorders—Version 2.0. Part II: Psychological interventions. Eur. Child. Adolesc. Psychiatry 2021. [Google Scholar] [CrossRef]
- Bhikram, T.; Elmaghraby, R.; Abi-Jaoude, E.; Sandor, P. An International Survey of Health Care Services Available to Patients with Tourette Syndrome. Front. Psychiatry 2021, 12, 621874. [Google Scholar] [CrossRef] [PubMed]
- Jakubovski, E.; Reichert, C.; Karch, A.; Buddensiek, N.; Breuer, D.; Müller-Vahl, K.R. The ONLINE-TICS study protocol: A randomized observer-blind clinical trial to demonstrate the efficacy and safety of internet-delivered behavioral treatment for adults with chronic tic disorders. Front. Psychiatry 2016, 7, 119. [Google Scholar] [CrossRef] [PubMed] [Green Version]
- Goetz, C.G.; Pappert, E.J.; Louis, E.D.; Raman, R.; Leurgans, S. Advantages of a modified scoring method for the Rush Video-Based Tic Rating Scale. Mov. Disord. 1999, 14, 502–506. [Google Scholar] [CrossRef]
- Abramovitch, A.; Reese, H.; Woods, D.W.; Peterson, A.; Deckersbach, T.; Piacentini, J.; Scahill, L.; Wilhelm, S. Psychometric Properties of a Self-Report Instrument for the Assessment of Tic Severity in Adults with Tic Disorders. Behav. Ther. 2014, 46, 786–796. [Google Scholar] [CrossRef] [PubMed] [Green Version]
- Cavanna, A.E.; Schrag, A.; Morley, D.; Orth, M.; Robertson, M.M.; Joyce, E.; Critchley, H.D.; Selai, C. The Gilles de la Tourette Syndrome-Quality of Life Scale (GTS-QOL): Development and validation. Neurology 2008, 71, 1410–1416. [Google Scholar] [CrossRef]
- Woods, D.W.; Piacentini, J.; Himle, M.B.; Chang, S. Premonitory Urge for Tics Scale (PUTS). J. Dev. Behav. Pediatr. 2005, 26, 397–403. [Google Scholar] [CrossRef]
- Guy, W. (Ed.) ECDEU Assessment Manual for Psychopharmacology; U.S. Department of Health Education and Welfare: Rockville, MD, USA, 1976. [Google Scholar]
- Goodman, W.K.; Price, L.H.; Rasmussen, S.A.; Mazure, C.; Fleischmann, R.L.; Hill, C.L.; Heninger, G.R.; Charney, D.S. The Yale-Brown Obsessive Compulsive Scale: I. Development, use, and reliability. Arch. Gen. Psychiatry 1989, 46, 1006–1011. [Google Scholar] [CrossRef]
- Goodman, W.K.; Price, L.H.; Rasmussen, S.A.; Mazure, C.; Delgado, P.; Heninger, G.R.; Charney, D.S. The Yale-Brown Obsessive Compulsive Scale. II. Validity. Arch. Gen. Psychiatry 1989, 46, 1012–1016. [Google Scholar] [CrossRef]
- Conners, C.K.; Erhardt, D.; Sparrow, E.P. Conners’ Adult ADHD Rating Scales (CAARS): Technical Manual; Multi-Health Systems Inc.: North Tonawanda, NY, USA, 1999. [Google Scholar]
- Beck, A.T.; Steer, R.A.; Brown, G.K. Manual for the Beck Depression Inventory–II; Psychological Corporation: San Antonio, TX, USA, 1996. [Google Scholar]
- Beck, A.T.; Epstein, N.; Brown, G.; Steer, R.A. An inventory for measuring clinical anxiety: Psychometric properties. J. Consult. Clin. Psychol. 1988, 56, 893. [Google Scholar] [CrossRef]
- Hatcher, R.L.; Gillaspy, J.A. Development and validation of a revised short version of the working alliance inventory. Psychother. Res. 2006, 16, 12–25. [Google Scholar] [CrossRef]
- Jeon, S.; Walkup, J.T.; Woods, D.W.; Peterson, A.; Piacentini, J.; Wilhelm, S.; Katsovich, L.; McGuire, J.F.; Dziura, J.; Scahill, L. Detecting a clinically meaningful change in tic severity in Tourette syndrome: A comparison of three methods. Contemp. Clin. Trials 2013, 36, 414–420. [Google Scholar] [CrossRef] [Green Version]
- Himle, M.B.; Freitag, M.; Walther, M.; Franklin, S.A.; Ely, L.; Woods, D.W. A randomized pilot trial comparing videoconference versus face-to-face delivery of behavior therapy for childhood tic disorders. Behav. Res. Ther. 2012, 50, 565–570. [Google Scholar] [CrossRef]
- Ricketts, E.J.; Goetz, A.R.; Capriotti, M.R.; Bauer, C.C.; Brei, N.G.; Himle, M.B.; Espil, F.M.; Snorrason, Í.; Ran, D.; Woods, D.W. A randomized waitlist-controlled pilot trial of voice over Internet protocol-delivered behavior therapy for youth with chronic tic disorders. J. Telemed. Telecare 2016, 22, 153–162. [Google Scholar] [CrossRef]
- Andrén, P.; Aspvall, K.; Fernández De La Cruz, L.; Wiktor, P.; Romano, S.; Andersson, E.; Murphy, T.; Isomura, K.; Serlachius, E.; Mataix-Cols, D. Therapist-guided and parent-guided internet-delivered behaviour therapy for paediatric Tourette’s disorder: A pilot randomised controlled trial with long-term follow-up. BMJ Open 2019, 9, e024685. [Google Scholar] [CrossRef] [Green Version]
- Rachamim, L.; Zimmerman-Brenner, S.; Rachamim, O.; Mualem, H.; Zingboim, N.; Rotstein, M. Internet-based guided self-help comprehensive behavioral intervention for tics (ICBIT) for youth with tic disorders: A feasibility and effectiveness study with 6 month-follow-up. Eur. Child Adolesc. Psychiatry 2020. [Google Scholar] [CrossRef]
- Krasner, L. The therapist as a social reinforcement machine. In Research in Psychotherapy; American Psychological Association: Washington, DC, USA, 1962; pp. 61–94. [Google Scholar]
- Müller-Vahl, K.R.; Riemann, L.; Bokemeyer, S. Tourette patients’ misbelief of a tic rebound is due to overall difficulties in reliable tic rating. J. Psychosom. Res. 2014, 76, 472–476. [Google Scholar] [CrossRef] [PubMed]
- Johansson, R.; Andersson, G. Internet-based psychological treatments for depression. Expert Rev. Neurother. 2012, 12, 861–870. [Google Scholar] [CrossRef] [Green Version]
- Palmqvist, B.; Carlbring, P.; Andersson, G. Internet-delivered treatments with or without therapist input: Does the therapist factor have implications for efficacy and cost? Expert Rev. Pharmacoecon. Outcomes Res. 2007, 7, 291–297. [Google Scholar] [CrossRef]
- Andersson, G.; Titov, N. Advantages and limitations of Internet-based interventions for common mental disorders. World Psychiatry 2014, 13, 4–11. [Google Scholar] [CrossRef] [PubMed]
- Cuijpers, P.; Donker, T.; Johansson, R.; Mohr, D.C.; van Straten, A.; Andersson, G. Self-Guided Psychological Treatment for Depressive Symptoms: A Meta-Analysis. PLoS ONE 2011, 6, e21274. [Google Scholar] [CrossRef] [PubMed]
- Essoe, J.K.-Y.; Ricketts, E.J.; Ramsey, K.A.; Piacentini, J.; Woods, D.W.; Peterson, A.L.; Scahill, L.; Wilhelm, S.; Walkup, J.T.; McGuire, J.F. Homework adherence predicts therapeutic improvement from behavior therapy in Tourette’s disorder. Behav. Res. Ther. 2021, 140, 103844. [Google Scholar] [CrossRef] [PubMed]
- Hollis, C.; Hall, C.L.; Jones, R.; Marston, L.; Novere, M.L.; Hunter, R.; Brown, B.J.; Sanderson, C.; Andrén, P.; Bennett, S.D.; et al. Therapist-supported online remote behavioural intervention for tics in children and adolescents in England (ORBIT): A multicentre, parallel group, single-blind, randomised controlled trial. Lancet Psychiatry 2021, 8, 871–882. [Google Scholar] [CrossRef]
- Verdellen, C.W.; Keijsers, G.P.; Cath, D.C.; Hoogduin, C.A. Exposure with response prevention versus habit reversal in Tourettes’s syndrome: A controlled study. Behav. Res. Ther. 2004, 42, 501–511. [Google Scholar] [CrossRef]
- Berger, D. Double-Blinding and Bias in Medication and Cognitive-Behavioral Therapy Trials for Major Depressive Disorder. F1000Research 2015, 4, 638. [Google Scholar] [CrossRef] [PubMed] [Green Version]
- Taylor, C.B.; Luce, K.H. Computer- and Internet-Based Psychotherapy Interventions. Curr. Dir. Psychol. Sci. 2003, 12, 18–22. [Google Scholar] [CrossRef]

| Clinical Data | iCBIT | Placebo (pl) | f2f CBIT (f2f) | Total | |||
|---|---|---|---|---|---|---|---|
| n = 67 | n = 70 | n = 24 | n = 161 | iCBIT vs. pl | iCBIT vs. f2f | pl vs. f2f | |
| Sociodemografic variable | p-Value 1 | ||||||
| Age, mean (SD) | 34.64 (12.0%) | 36.90 (13.2%) | 34.92 (11.73%) | 35.66 (12.47%) | 0.297 | 0.923 | 0.516 |
| Male gender, n (%) | 45 (67.2%) | 49 (70.0%) | 18 (75.0%) | 112 (69.6%) | 0.721 | 0.475 | 0.640 |
| Education, n (%) | |||||||
| Baccalaureate | 30 (44.8%) | 25 (35.7%) | 11 (45.8%) | 66 (41.0%) | 0.638 | 0.909 | 0.709 |
| Secondary education | 22 (32.8%) | 25 (35.7%) | 9 (37.5%) | 56 (34.8%) | |||
| Primary/main education | 8 (11.9%) | 10 (14.3%) | 3 (12.5%) | 21 (13.0%) | |||
| Other | 7 (6.7%) | 10 (14.3%) | 1 (4.2%) | 18 (11.2%) | |||
| Employment, n (%) | |||||||
| Civil servant | 2 (3.8%) | 1 (1.9%) | 0 (0.0%) | 3 (2.4%) | 0.583 | 0.629 | 0.818 |
| Full-time | 30 (57.7%) | 28 (51.9%) | 12 (60.0%) | 70 (55.6%) | |||
| Part-time | 9 (17.3%) | 7 (13.0%) | 3 (15.0%) | 19 (15.1%) | |||
| Pensioner | 0 (0.0%) | 2 (3.7%) | 1 (5.0%) | 3 (2.4%) | |||
| Disability pension | 3 (5.8%) | 3 (5.6%) | 1 (5.0%) | 7 (5.6%) | |||
| Unemployed | 6 (11.5%) | 7 (13.0%) | 3 (15.0%) | 16 (12.7%) | |||
| Family status, n (%) | |||||||
| Married/civil union | 20 (29.9%) | 22 (31.4%) | 6 (25.0%) | 51 (31.7%) | 0.813 | 0.891 | 0.807 |
| Separated/divorced | 6 (9.0%) | 4 (5.7%) | 3 (12.5%) | 13 (8.1%) | |||
| Single/unmarried | 40 (59.7%) | 43 (61.4%) | 15 (62.5%) | 98 (60.9%) | |||
| Other | 1 (1.5%) | 1 (1.4%) | 0 (0.0%) | 2 (1.2%) | |||
| Living conditions, n (%) | |||||||
| Living alone | 13 (19.4%) | 18 (25.7%) | 7 (29.2%) | 38 (23.6%) | 0.805 | 0.651 | 0.963 |
| Living with relatives | 40 (59.7%) | 37 (52.9%) | 10 (41.7%) | 87 (54.0%) | |||
| Living with parents | 8 (11.9%) | 10 (14.3%) | 4 (16.7%) | 22 (13.7%) | |||
| Other | 1 (1.5%) | 1 (1.4%) | 1 (4.2%) | 3 (1.9%) | |||
| iCBIT | Placebo (pl) | f2f CBIT (f2f) | Total | ||||
|---|---|---|---|---|---|---|---|
| n = 67 | n = 70 | n = 24 | n = 161 | iCBIT vs. pl | iCBIT vs. f2f | pl vs. f2f | |
| Assessment | Mean (SD) | p-Value | |||||
| YGTSS-TTS | 24.28 (7.40) | 24.16 (8.36) | 25.25 (9.44) | 24.37 (8.10) | 0.926 | 0.612 | 0.594 |
| - MTS | 15.12 (4.14) | 14.53 (3.58) | 15.83 (3.62) | 14.97 (3.38) | 0.372 | 0.457 | 0.128 |
| - VTS | 9.16 (5.27) | 9.63 (6.36) | 9.42 (6.49) | 9.40 (5.92) | 0.643 | 0.851 | 0.889 |
| - impairment | 25.97 (10.60) | 24.99 (11.78) | 23.33 (12.04) | 25.15 (11.31) | 0.609 | 0.316 | 0.557 |
| - GSS | 50.25 (16.15) | 49.43 (16.59) | 48.58 (17.15) | 49.65 (16.40) | 0.771 | 0.670 | 0.831 |
| ATQ | 57.70 (28.09) | 48.97 (27.97) | 54.86 (27.03) | 53.60 (27.98) | 0.974 | 0.876 | 0.895 |
| MRVS | 12.22 (3.88) | 12.38 (3.61) | 11.05 (4.25) | 12.10 (3.83) | 0.814 | 0.250 | 0.175 |
| CGI-S | 4.78 (0.78) | 4.71 (0.76) | 4.79 (0.78) | 4.75 (0.77) | 0.639 | 0.933 | 0.671 |
| PUTS-9 | 21.05 (5.59) | 20.46 (6.44) | 19.71 (5.58) | 20.59 (5.96) | 0.571 | 0.318 | 0.613 |
| GTS-QoL | 21.98 (15.90) | 23.39 (16.53) | 27.90 (14.44) | 23.47 (16.00) | 0.616 | 0.120 | 0.248 |
| GTS-QoL-VAS | 63.91 (18.84) | 62.16 (21.19) | 54.96 (24.07) | 61.81 (20.79) | 0.612 | 0.067 | 0.170 |
| BDI-II | 10.16 (9.88) | 11.36 (10.05) | 12.17 (9.67) | 10.98 (9.89) | 0.485 | 0.394 | 0.734 |
| BAI | 10.63 (10.23) | 9.48 (8.27) | 12.70 (10.08) | 10.43 (9.40) | 0.472 | 0.403 | 0.130 |
| CAARS: ADHD Index | 9.50 (5.42) | 11.52 (6.15) | 12.59 (5.57) | 10.84 (5.87) | 0.129 | 0.046 * | 0.517 |
| Group 1 vs. 2 | Variable (Change-to-Baseline) | Visit | Group 1: LS Mean (95% CI) | Group 2: LS Mean (95% CI) | LS Mean Diff Arm 1–2 (95% CI) | p-Value |
|---|---|---|---|---|---|---|
| iCBIT vs. placebo | YGTSS-TTS | V3 | −2.54 (−3.53; −1.55) | −1.26 (−2.16; −0.35) | −1.28 (−2.58; 0.01) | 0.053 |
| V4 | −3.69 (−4.84; −2.54) | −1.44 (−2.48; −0.40) | −2.25 (−3.75; −0.75) | 0.003 * | ||
| V5 | −4.27 (−5.47; −3.07) | −1.56 (−2.63; −0.48) | −2.71 (−4.27; −1.16) | <0.001 * | ||
| YGTSS-MTS | V3 | −1.31 (−1.84; −0.77) | −0.42 (−0.91; 0.07) | −0.89 (−1.59; −0.19) | 0.013 * | |
| V4 | −2.29 (−2.91; −1.68) | −0.41 (−0.97; 0.14) | −1.88 (−2.68; −1.08) | <0.001 * | ||
| V5 | −2.62 (−3.28; −1.96) | −0.91 (−1.50; −0.32) | −1.71 (−2.56; −0.86) | <0.001 * | ||
| YGTSS-VTS | V3 | −1.26 (−1.95; −0.56) | −0.86 (−1.50; −0.23) | −0.40 (−1.31; 0.52) | 0.395 | |
| V4 | −1.51 (−2.31; −0.71) | −1.05 (−1.78; −0.33) | −0.46 (−1.50; 0.59) | 0.390 | ||
| V5 | −1.69 (−2.52; −0.85) | −0.69 (−1.42; 0.05) | −1.00 (−2.08; 0.07) | 0.068 | ||
| YGTSS- Impairment | V3 | −5.20 (−7.39; −3.01) | −1.77 (−3.78; 0.24) | −3.43 (−6.29; −0.56) | 0.019 * | |
| V4 | −6.32 (−8.84; −3.79) | −3.52 (−5.83; −1.22) | −2.80 (−6.10; 0.51) | 0.097 | ||
| V5 | −6.38 (−9.16; −3.60) | −1.25 (−3.70; 1.21) | −5.13 (−8.72; −1.54) | 0.005 * | ||
| iCBIT vs. f2f CBIT | YGTSS-TTS | V3 | −2.71 (−3.74; −1.68) | −3.69 (−5.54; −1.83) | 0.98 (−1.01; 2.96) | 0.333 |
| V4 | −3.93 (−5.12; −2.73) | −5.74 (−7.96; −3.53) | 1.82 (−0.54; 4.18) | 0.130 | ||
| V5 | −4.48 (−5.76; −3.20) | −4.73 (−7.04; −2.42) | 0.25 (−2.23; 2.73) | 0.841 | ||
| YGTSS-MTS | V3 | −1.45 (−2.04; −0.86) | −2.26 (−3.34; −1.17) | 0.81 (−0.34; 1.95) | 0.166 | |
| V4 | −2.46 (−3.13; −1.79) | −2.82 (−4.07; −1.56) | 0.35 (−0.97; 1.68) | 0.601 | ||
| V5 | −2.77 (−3.51; −2.04) | −2.62 (−3.96; −1.28) | −0.15 (−1.57; 1.28) | 0.838 | ||
| YGTSS-VTS | V3 | −1.28 (−1.99; −0.57) | −1.53 (−2.79; −0.27) | 0.25 (−1.11; 1.61) | 0.717 | |
| V4 | −1.56 (−2.38; −0.75) | −3.06 (−4.56; −1.56) | 1.50 (−0.12; 3.12) | 0.070 | ||
| V5 | −1.74 (−2.61; −0.88) | −2.24 (−3.76; −0.72) | 0.50 (−1.16; 2.16) | 0.556 | ||
| YGTSS- Impairment | V3 | −5.55 (−7.84; −3.25) | −5.97 (−10.16; −1.78) | 0.43 (−4.04; 4.89) | 0.851 | |
| V4 | −6.73 (−9.34; −4.12) | −5.61 (−10.51; −0.70) | −1.13 (−6.35; 4.10) | 0.672 | ||
| V5 | −6.76 (−9.59; −3.94) | −5.82 (−10.92; −0.72) | −0.95 (−6.44; 4.54) | 0.734 | ||
| placebo vs. f2f CBIT | YGTSS-TTS | V3 | −1.09 (−2.00; −0.18) | −2.35 (−4.10; −0.59) | 1.26 (−0.59; 3.10) | 0.180 |
| V4 | −1.23 (−2.25; −0.21) | −3.71 (−5.74; −1.68) | 2.48 (0.36; 4.60) | 0.022 * | ||
| V5 | −1.38 (−2.44; −0.32) | −2.71 (−4.82; −0.61) | 1.33 (−0.85; 3.52) | 0.230 | ||
| YGTSS-MTS | V3 | −0.34 (−0.84; 0.15) | −1.46 (−2.41; −0.51) | 1.12 (0.13; 2.11) | 0.027 * | |
| V4 | −0.33 (−0.89; 0.24) | −1.83 (−2.95; −0.70) | 1.50 (0.33; 2.67) | 0.012 * | ||
| V5 | −0.85 (−1.47; −0.24) | −1.72 (−2.92; −0.51) | 0.86 (−0.39; 2.12) | 0.177 | ||
| YGTSS-VTS | V3 | −0.80 (−1.41; −0.18) | −0.95 (−2.13; 0.23) | 0.15 (−1.09; 1.40) | 0.808 | |
| V4 | −0.95 (−1.62; −0.27) | −1.95 (−3.28; −0.61) | 1.00 (−0.40; 2.40) | 0.161 | ||
| V5 | −0.58 (−1.27; 0.11) | −1.06 (−2.41; 0.29) | 0.48 (−0.94; 1.90) | 0.506 | ||
| YGTSS- Impairment | V3 | −1.20 (−3.08; 0.67) | −4.60 (−8.17; −1.02) | 3.39 (−0.38; 7.17) | 0.077 | |
| V4 | −2.90 (−5.13; −0.66) | −3.10 (−7.53; 1.33) | 0.20 (−4.46; 4.87) | 0.931 | ||
| V5 | −0.57 (−2.97; 1.82) | −3.11 (−7.77; 1.55) | 2.54 (−2.42; 7.49) | 0.314 |
| Assessment (CFB) | Visit | iCBIT: LS Mean (95% CI) | Placebo: LS Mean (95% CI) | LS Mean Diff iCBIT-pl (95% CI) | p-Value |
|---|---|---|---|---|---|
| ATQ | V3 | −7.50 (−11.62; −3.38) | −1.32 (−5.04; 2.40) | −6.18 (−11.57; −0.80) | 0.025 |
| V4 | −10.42 (−14.65; −6.19) | −3.25 (−7.23; 0.73) | −7.17 (−12.78; −1.55) | 0.013 | |
| V5 | −7.80 (−12.35; −3.24) | −1.54 (−5.76; 2.69) | −6.26 (−12.27; −0.25) | 0.041 | |
| CGI-S | V3 | −0.41 (−0.53; −0.29) | −0.15 (−0.26; −0.03) | −0.26 (−0.42; −0.10) | 0.001 * |
| V4 | −0.60 (−0.75; −0.46) | −0.17 (−0.30; −0.04) | −0.43 (−0.62; −0.25) | <0.001 * | |
| V5 | −0.48 (−0.63; −0.32) | −0.27 (−0.41; −0.14) | −0.20 (−0.40; −0.01) | 0.044 * | |
| MRVS | V3 | −0.94 (−1.66; −0.23) | −0.06 (−0.75; 0.63) | −0.88 (−1.84; 0.08) | 0.072 |
| V4 | −1.83 (−2.58; −1.08) | −0.53 (−1.14; 0.28) | −1.40 (−2.40; −0.40) | 0.006 * | |
| V5 | −1.11 (−1.91; −0.30) | −0.24 (−1.01; 0.53) | −0.87 (−1.95; 0.22) | 0.117 | |
| PUTS-9 | V3 | 0.33 (−0.55; 1.20) | −1.13 (−1.92; −0.34) | 1.46 (0.32; 2.59) | 0.012 * |
| V4 | 0.32 (−0.67; 1.31) | −0.45 (−1.35; 0.45) | 0.77 (−0.51; 2.06) | 0.238 | |
| V5 | −0.07 (−1.18; 1.04) | −0.58 (−1.56; 0.40) | 0.51 (−0.92; 1.93) | 0.484 | |
| GTS-QoL | V3 | −3.58 (−5.87; −1.28) | −1.90 (−4.01; 0.20) | −1.67 (−4.67; 1.32) | 0.272 |
| V4 | −6.95 (−9.57; −4.32) | −1.66 (−4.04; 0.72) | −5.28 (−8.69; −1.88) | 0.002 * | |
| V5 | −5.86 (−8.66; −3.05) | −1.26 (−3.76; 1.24) | −4.60 (−8.21; −0.99) | 0.013 * | |
| GTS-QoL-VAS | V3 | −3.49 (−7.05; 0.06) | 3.83 (0.57; 7.09) | −7.32 (−12.02; −2.62) | 0.002 * |
| V4 | 3.80 (−0.08; 7.68) | 2.11 (−1.43; 5.65) | 1.69 (−3.44; 6.82) | 0.517 | |
| V5 | −1.38 (−5.76; 3.01) | 4.31 (0.45; 8.17) | −5.68 (−11.37; 0.00) | 0.050 | |
| Y-BOCS | V3 | −1.57 (−2.48; −0.66) | 0.29 (−0.57; 1.14) | −1.86 (−3.05; −0.67) | 0.002 * |
| V4 | −0.89 (−1.98; 0.20) | −0.66 (−1.66; 0.33) | −0.23 (−1.63; 1.18) | 0.752 | |
| V5 | −1.37 (−2.51; −0.23) | −0.50 (−1.51; 0.52) | −0.87 (−2.33; 0.58) | 0.239 | |
| CAARS: ADHD Index | V3 | −0.98 (−1.83; −0.13) | −0.32 (−1.06; 0.42) | −0.66 (−1.73; 0.41) | 0.227 |
| V4 | −1.85 (−2.81; −0.90) | −0.43 (−1.25; 0.38) | −1.42 (−2.63; −0.21) | 0.021 * | |
| V5 | −0.97 (−2.03; 0.10) | 0.05 (−0.82; 0.93) | −1.02 (−2.34; 0.30) | 0.129 | |
| BDI-II | V3 | −1.98 (−3.51; −0.45) | −0.95 (−2.36; 0.46) | −1.03 (−3.04; 0.98) | 0.312 |
| V4 | −3.36 (−4.97; −1.75) | −1.13 (−2.60; 0.34) | −2.23 (−4.33; −0.12) | 0.038 * | |
| V5 | −1.85 (−3.58; −0.13) | −0.77 (−2.35; 0.81) | −1.09 (−3.34; 1.17) | 0.345 | |
| BAI | V3 | −1.10 (−2.45; 0.24) | 1.06 (−0.18; 2.30) | −2.17 (−3.94; −0.39) | 0.017 * |
| V4 | −1.90 (−3.38; −0.42) | 0.97 (−0.38; 2.32) | −2.87 (−4.81; −0.93) | 0.004 * | |
| V5 | −1.58 (−3.24; 0.09) | −0.16 (−1.66; 1.34) | −1.42 (−3.58; 0.75) | 0.198 |
Publisher’s Note: MDPI stays neutral with regard to jurisdictional claims in published maps and institutional affiliations. |
© 2022 by the authors. Licensee MDPI, Basel, Switzerland. This article is an open access article distributed under the terms and conditions of the Creative Commons Attribution (CC BY) license (https://creativecommons.org/licenses/by/4.0/).
Share and Cite
Haas, M.; Jakubovski, E.; Kunert, K.; Fremer, C.; Buddensiek, N.; Häckl, S.; Lenz-Ziegenbein, M.; Musil, R.; Roessner, V.; Münchau, A.; et al. ONLINE-TICS: Internet-Delivered Behavioral Treatment for Patients with Chronic Tic Disorders. J. Clin. Med. 2022, 11, 250. https://doi.org/10.3390/jcm11010250
Haas M, Jakubovski E, Kunert K, Fremer C, Buddensiek N, Häckl S, Lenz-Ziegenbein M, Musil R, Roessner V, Münchau A, et al. ONLINE-TICS: Internet-Delivered Behavioral Treatment for Patients with Chronic Tic Disorders. Journal of Clinical Medicine. 2022; 11(1):250. https://doi.org/10.3390/jcm11010250
Chicago/Turabian StyleHaas, Martina, Ewgeni Jakubovski, Katja Kunert, Carolin Fremer, Nadine Buddensiek, Sebastian Häckl, Martina Lenz-Ziegenbein, Richard Musil, Veit Roessner, Alexander Münchau, and et al. 2022. "ONLINE-TICS: Internet-Delivered Behavioral Treatment for Patients with Chronic Tic Disorders" Journal of Clinical Medicine 11, no. 1: 250. https://doi.org/10.3390/jcm11010250
APA StyleHaas, M., Jakubovski, E., Kunert, K., Fremer, C., Buddensiek, N., Häckl, S., Lenz-Ziegenbein, M., Musil, R., Roessner, V., Münchau, A., Neuner, I., Koch, A., & Müller-Vahl, K. (2022). ONLINE-TICS: Internet-Delivered Behavioral Treatment for Patients with Chronic Tic Disorders. Journal of Clinical Medicine, 11(1), 250. https://doi.org/10.3390/jcm11010250

