High Cortico-Trabecular Transitional Zone Porosity and Reduced Trabecular Density in Men and Women with Stress Fractures
Abstract
1. Introduction
2. Materials and Methods
2.1. Magnetic Resonance Imaging
2.2. Measurement of Bone Microarchitecture
2.3. Statistical Analysis
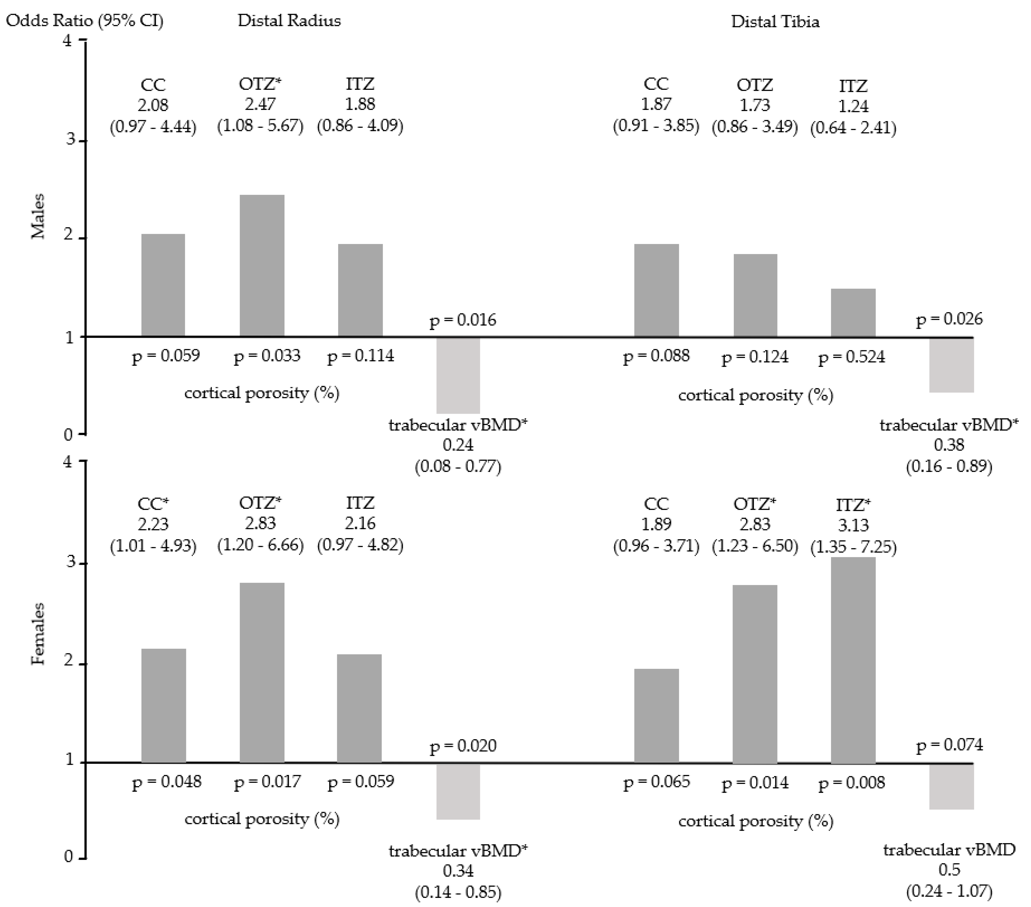
3. Results
3.1. Males
3.2. Females
4. Discussion
5. Conclusions
Author Contributions
Funding
Institutional Review Board Statement
Informed Consent Statement
Data Availability Statement
Acknowledgments
Conflicts of Interest
References
- Saunier, J.; Chapurlat, R. Stress fracture in athletes. Jt. Bone Spine 2018, 85, 307–310. [Google Scholar] [CrossRef]
- Waterman, B.R.; Gun, B.; Bader, J.O.; Orr, J.D.; Belmont, P.J.J. Epidemiology of Lower Extremity Stress Fractures in the United States Military. Mil Med. 2016, 181, 1308–1313. [Google Scholar] [CrossRef]
- McInnis, K.C.; Ramey, L.N. High-Risk Stress Fractures: Diagnosis and Management. PM&R 2016, 8, S113–S124. [Google Scholar] [CrossRef]
- Bennell, K.L.; Malcolm, S.A.; Thomas, S.A.; Reid, S.J.; Brukner, P.D.; Ebeling, P.R.; Wark, J.D. Risk Factors for Stress Fractures in Track and Field Athletes: A Twelve-Month Prospective Study. Am. J. Sports Med. 1996, 24, 810–818. [Google Scholar] [CrossRef] [PubMed]
- Tschopp, M.; Brunner, F. Diseases and overuse injuries of the lower extremities in long distance runners. Z. Rheumatol. 2017, 76, 443–450. [Google Scholar] [CrossRef]
- Burr, D.B.; Martin, R.B.; Schaffler, M.B.; Radin, E.L. Bone remodeling in response to in vivo fatigue microdamage. J. Biomech. 1985, 18, 189–200. [Google Scholar] [CrossRef]
- Schaffler, M.B.; Jepsen, K.J. Fatigue and repair in bone. Int. J. Fatigue 2000, 22, 839–846. [Google Scholar] [CrossRef]
- Rosenberg, Z.; Zanetti, M. Imaging of the Foot and Ankle. In Musculoskeletal Diseases; Springer: Berlin/Heidelberg, Germany, 2005; pp. 39–47. [Google Scholar]
- Turner, C.H.; Burr, D.B. Basic biomechanical measurements of bone: A tutorial. Bone 1993, 14, 595–608. [Google Scholar] [CrossRef]
- Schnackenburg, K.E.; Macdonald, H.M.; Ferber, R.; Wiley, J.P.; Boyd, S.K. Bone Quality and Muscle Strength in Female Athletes with Lower Limb Stress Fractures. Med. Sci. Sports Exerc. 2011, 43, 2110–2119. [Google Scholar] [CrossRef]
- Beck, T.J.; Ruff, C.B.; Mourtada, F.A.; Shaffer, R.A.; Maxwell-Williams, K.; Kao, G.L.; Sartoris, D.J.; Brodine, S. Dual-energy X-ray absorptiometry derived structural geometry for stress fracture prediction in male U.S. marine corps recruits. J. Bone Miner. Res. 1996, 11, 645–653. [Google Scholar] [CrossRef] [PubMed]
- Beck, T.J.; Ruff, C.B.; Shaffer, R.A.; Betsinger, K.; Trone, D.W.; Brodine, S.K. Stress fracture in military recruits: Gender differences in muscle and bone susceptibility factors. Bone 2000, 27, 437–444. [Google Scholar] [CrossRef]
- Armstrong, D.W.; Rue, J.-P.H.; Wilckens, J.H.; Frassica, F.J. Stress fracture injury in young military men and women. Bone 2004, 35, 806–816. [Google Scholar] [CrossRef]
- Giladi, M.; Milgrom, C.; Simkin, A.; Stein, M.; Kashtan, H.; Margulies, J.; Rand, N.; Chisin, R.; Steinberg, R.; Aharonson, Z. Stress fractures and tibial bone width. A risk factor. J. Bone Jt. Surg. Ser. B 1987, 69, 326–329. [Google Scholar] [CrossRef] [PubMed]
- Jepsen, K.J.; Evans, R.; Negus, C.H.; Gagnier, J.J.; Centi, A.; Erlich, T.; Hadid, A.; Yanovich, R.; Moran, D.S. Variation in tibial functionality and fracture susceptibility among healthy, young adults arises from the acquisition of biologically distinct sets of traits. J. Bone Miner. Res. 2013, 28, 1290–1300. [Google Scholar] [CrossRef]
- Cosman, F.; Ruffing, J.; Zion, M.; Uhorchak, J.; Ralston, S.; Tendy, S.; McGuigan, F.E.; Lindsay, R.; Nieves, J. Determinants of stress fracture risk in United States Military Academy cadets. Bone 2013, 55, 359–366. [Google Scholar] [CrossRef] [PubMed]
- Schanda, J.E.; Kocijan, R.; Resch, H.; Baierl, A.; Feichtinger, X.; Mittermayr, R.; Plachel, F.; Wakolbinger, R.; Wolff, K.; Fialka, C.; et al. Bone Stress Injuries Are Associated with Differences in Bone Microarchitecture in Male Professional Soldiers. J. Orthop. Res. 2019, 37, 2516–2523. [Google Scholar] [CrossRef]
- Seeman, E. From Density to Structure: Growing Up and Growing Old on the Surfaces of Bone. J. Bone Miner. Res. 1997, 12, 509–521. [Google Scholar] [CrossRef]
- Bjørnerem, Å.; Bui, Q.M.; Ghasem-Zadeh, A.; Hopper, J.L.; Zebaze, R.; Seeman, E. Fracture risk and height: An association partly accounted for by cortical porosity of relatively thinner cortices. J. Bone Miner. Res. 2013, 28, 2017–2026. [Google Scholar] [CrossRef]
- Cadet, E.R.; Gafni, R.I.; McCarthy, E.F.; McCray, D.R.; Bacher, J.D.; Barnes, K.M.; Baron, J. Mechanisms responsible for longitudinal growth of the cortex: Coalescence of trabecular bone into cortical bone. J. Bone Jt. Surg. Am. 2003, 85, 1739–1748. [Google Scholar] [CrossRef]
- Matcuk, G.R.J.; Mahanty, S.R.; Skalski, M.R.; Patel, D.B.; White, E.A.; Gottsegen, C.J. Stress fractures: Pathophysiology, clinical presentation, imaging features, and treatment options. Emerg. Radiol. 2016, 23, 365–375. [Google Scholar] [CrossRef]
- Boks, S.S.; Vroegindeweij, D.; Koes, B.W.; Bernsen, R.M.D.; Hunink, M.G.M.; Bierma-Zeinstra, S.M.A. MRI Follow-Up of Posttraumatic Bone Bruises of the Knee in General Practice. Am. J. Roentgenol. 2007, 189, 556–562. [Google Scholar] [CrossRef] [PubMed]
- Kaeding, C.C.; Miller, T. The Comprehensive Description of Stress Fractures: A New Classification System. J. Bone Jt. Surg. 2013, 95, 1214–1220. [Google Scholar] [CrossRef] [PubMed]
- Boutroy, S.; Bouxsein, M.L.; Munoz, F.; Delmas, P.D. In VivoAssessment of Trabecular Bone Microarchitecture by High-Resolution Peripheral Quantitative Computed Tomography. J. Clin. Endocrinol. Metab. 2005, 90, 6508–6515. [Google Scholar] [CrossRef] [PubMed]
- Zebaze, R.; Ghasem-Zadeh, A.; Mbala, A.; Seeman, E. A new method of segmentation of compact-appearing, transitional and trabecular compartments and quantification of cortical porosity from high resolution peripheral quantitative computed tomographic images. Bone 2013, 54, 8–20. [Google Scholar] [CrossRef] [PubMed]
- Bala, Y.; Zebaze, R.; Ghasem-Zadeh, A.; Atkinson, E.J.; Iuliano, S.; Peterson, J.M.; Amin, S.; Bjørnerem, Å.; Melton, L.J.; Johansson, H.; et al. Cortical Porosity Identifies Women with Osteopenia at Increased Risk for Forearm Fractures. J. Bone Miner. Res. 2014, 29, 1356–1362. [Google Scholar] [CrossRef]
- Zebaze, R.M.; Libanati, C.; Austin, M.; Ghasem-Zadeh, A.; Hanley, D.A.; Zanchetta, J.R.; Thomas, T.; Boutroy, S.; Bogado, C.E.; Bilezikian, J.P.; et al. Differing effects of denosumab and alendronate on cortical and trabecular bone. Bone 2014, 59, 173–179. [Google Scholar] [CrossRef]
- Giladi, M.; Milgrom, C.; Simkin, A.; Danon, Y. Stress fractures. Identifiable risk factors. Am. J. Sports Med. 1991, 19, 647–652. [Google Scholar] [CrossRef] [PubMed]
- Popp, K.L.; Frye, A.C.; Stovitz, S.D.; Hughes, J.M. Bone geometry and lower extremity bone stress injuries in male runners. J. Sci. Med. Sport 2020, 23, 145–150. [Google Scholar] [CrossRef]
- Popp, K.L.; Hughes, J.M.; Smock, A.J.; Novotny, S.A.; Stovitz, S.D.; Koehler, S.M.; Petit, M.A. Bone Geometry, Strength, and Muscle Size in Runners with a History of Stress Fracture. Med. Sci. Sports Exerc. 2009, 41, 2145–2150. [Google Scholar] [CrossRef] [PubMed]
- Weidauer, L.A.; Binkley, T.; Vukovich, M.; Specker, B. Greater Polar Moment of Inertia at the Tibia in Athletes Who Develop Stress Fractures. Orthop. J. Sports Med. 2014, 2. [Google Scholar] [CrossRef]
- Wang, Q.; Wang, X.-F.; Iuliano-Burns, S.; Ghasem-Zadeh, A.; Zebaze, R.; Seeman, E. Rapid growth produces transient cortical weakness: A risk factor for metaphyseal fractures during puberty. J. Bone Miner. Res. 2010, 25, 1521–1526. [Google Scholar] [CrossRef] [PubMed]
- Ruff, C.B.; Hayes, W.C. Subperiosteal expansion and cortical remodeling of the human femur and tibia with aging. Science 1982, 217, 945–948. [Google Scholar] [CrossRef] [PubMed]
- Zebaze, R.M.D.; Jones, A.; Welsh, F.; Knackstedt, M.; Seeman, E. Femoral neck shape and the spatial distribution of its mineral mass varies with its size: Clinical and biomechanical implications. Bone 2005, 37, 243–252. [Google Scholar] [CrossRef]
- Thomas, C.D.L.; Feik, S.A.; Clement, J.G. Increase in pore area, and not pore density, is the main determinant in the development of porosity in human cortical bone. J. Anat. 2006, 209, 219–230. [Google Scholar] [CrossRef] [PubMed]
- Seeman, E. Age- and Menopause-Related Bone Loss Compromise Cortical and Trabecular Microstructure. J. Gerontol. Ser. A Boil. Sci. Med Sci. 2013, 68, 1218–1225. [Google Scholar] [CrossRef] [PubMed]
- Schaffler, M.B.; Burr, D.B. Stiffness of compact bone: Effects of porosity and density. J. Biomech. 1988, 21, 13–16. [Google Scholar] [CrossRef]
- Yeni, Y.N.; Brown, C.U.; Wang, Z.; Norman, T.L. The influence of bone morphology on fracture toughness of the human femur and tibia. Bone 1997, 21, 453–459. [Google Scholar] [CrossRef]
- Currey, J.D. The many adaptations of bone. J. Biomech. 2003, 36, 1487–1495. [Google Scholar] [CrossRef]
- Parfitt, A.M. Targeted and nontargeted bone remodeling: Relationship to basic multicellular unit origination and progression. Bone 2002, 30, 5–7. [Google Scholar] [CrossRef]
- Schaffler, M.B.; Radin, E.L.; Burr, D.B. Mechanical and morphological effects of strain rate on fatigue of compact bone. Bone 1989, 10, 207–214. [Google Scholar] [CrossRef]
- Pattin, C.A.; Caler, W.E.; Carter, D.R. Cyclic mechanical property degradation during fatigue loading of cortical bone. J. Biomech. 1996, 29, 69–79. [Google Scholar] [CrossRef]
- Hughes, J.M.; Popp, K.L.; Yanovich, R.; Bouxsein, M.L.; Matheny, J.R.W. The role of adaptive bone formation in the etiology of stress fracture. Exp. Biol. Med. 2017, 242, 897–906. [Google Scholar] [CrossRef]
- Patsch, J.M.; Burghardt, A.J.; Kazakia, G.; Majumdar, S. Noninvasive imaging of bone microarchitecture. Ann. N. Y. Acad. Sci. 2011, 1240, 77–87. [Google Scholar] [CrossRef]
- Szulc, P.; Boutroy, S.; Chapurlat, R. Prediction of Fractures in Men Using Bone Microarchitectural Parameters Assessed by High-Resolution Peripheral Quantitative Computed Tomography-The Prospective STRAMBO Study. J. Bone Miner. Res. 2018, 33, 1470–1479. [Google Scholar] [CrossRef]
- Vilayphiou, N.; Boutroy, S.; Szulc, P.; Van Rietbergen, B.; Munoz, F.; Delmas, P.D.; Chapurlat, R. Finite element analysis performed on radius and tibia HR-pQCT images and fragility fractures at all sites in men. J. Bone Miner. Res. 2011, 26, 965–973. [Google Scholar] [CrossRef] [PubMed]
- Mikolajewicz, N.; Bishop, N.; Burghardt, A.J.; Folkestad, L.; Hall, A.; Kozloff, K.M.; Lukey, P.T.; Molloy-Bland, M.; Morin, S.N.; Offiah, A.C.; et al. HR-pQCT Measures of Bone Microarchitecture Predict Fracture: Systematic Review and Meta-Analysis. J. Bone Miner. Res. 2020, 35, 446–459. [Google Scholar] [CrossRef]
- Sornay-Rendu, E.; Boutroy, S.; Duboeuf, F.; Chapurlat, R.D. Bone Microarchitecture Assessed by HR-pQCT as Predictor of Fracture Risk in Postmenopausal Women: The OFELY Study. J. Bone Miner. Res. 2017, 32, 1243–1251. [Google Scholar] [CrossRef] [PubMed]



| Males | Cases (15) | Controls (24) | p |
| Age [ys] | 29.2 ± 2.6 | 30.9 ± 1.7 | 0.450 |
| Weight [kg] | 77.5 ± 3.5 | 84.1 ± 3.1 | 0.180 |
| Height [m] | 1.81 ± 0.02 | 1.78 ± 0.02 | 0.140 |
| Females | Cases (11) | Controls (38) | p |
| Age [ys] | 47.8 ± 4.7 | 40.5 ± 2.3 | 0.140 |
| Weight [kg] | 68.5 ± 5.4 | 61.8 ± 1.2 | 0.340 |
| Height [m] | 1.67 ± 0.02 | 1.65 ± 0.01 | 0.290 |
| Distal Radius | Distal Tibia | |||||||||||
|---|---|---|---|---|---|---|---|---|---|---|---|---|
| Males | Females | Males | Females | |||||||||
| Cases (15) | Controls (24) | p | Cases (11) | Controls (38) | p | Cases (15) | Controls (24) | p | Cases (11) | Controls (38) | p | |
| TCSA [mm2] | 314 ± 25 | 287 ± 14 | 0.418 ** | 225 ± 8.1 | 203 ± 5.9 | 0.878 * | 820 ± 54 | 762 ± 34 | 0.841 ** | 625 ± 19 | 603 ± 16 | 0.768 * |
| Medullary CSA [mm2] | 215 ± 24 | 177 ± 11 | 0.685 ** | 149 ± 7.7 | 126 ± 5.3 | 0.655 * | 629 ± 52 | 553 ± 32 | 0.714 ** | 467 ± 16 | 437 ± 15 | 0.941 * |
| Medullary CSA/TCSA | 67.1 ± 1.7 | 60.9 ± 1.2 | 0.006 * | 66.0 ± 1.7 | 61.4 ± 1.0 | 0.161 * | 75.8 ± 1.4 | 71.8 ± 1.1 | 0.059 * | 74.5 ± 0.8 | 71.9 ± 0.7 | 0.326 * |
| Cortical CSA [mm2] | 98.7 ± 2.4 | 110 ± 4.3 | 0.012 * | 76.0 ± 3.8 | 76.6 ± 1.5 | 0.363 * | 190.3 ± 6.4 | 208.7 ± 6.0 | 0.008 * | 159 ± 5.9 | 166 ± 2.6 | 0.272 * |
| CC CSA [mm2] | 62.8 ± 1.8 | 73.4 ± 3.2 | 0.005 * | 49.6 ± 3.0 | 49.7 ± 1.2 | 0.414 ** | 125 ± 5.9 | 139 ± 5.3 | 0.015 * | 104 ± 5.2 | 108 ± 2.2 | 0.590 * |
| OTZ CSA [mm2] | 8.12 ± 0.2 | 9.86 ± 0.5 | 0.003 * | 6.63 ± 0.5 | 6.47 ± 0.2 | 0.320 ** | 17.5 ± 0.9 | 20.9 ± 1.1 | 0.012 ** | 13.8 ± 0.8 | 14.9 ± 0.4 | 0.349 * |
| ITZ CSA [mm2] | 27.8 ± 1.4 | 26.4 ± 1.4 | 0.616 * | 19.8 ± 0.9 | 20.4 ± 0.7 | 0.139 * | 48.9 ± 2.9 | 49.0 ± 1.9 | 0.512 * | 41.4 ± 1.8 | 43.5 ± 1.5 | 0.182 * |
| Cortical CSA/TCSA | 32.9 ± 1.7 | 39.1 ± 1.2 | 0.006 * | 34.0 ± 1.6 | 38.6 ± 0.9 | 0.161 * | 24.2 ± 1.4 | 28.2 ± 1.1 | 0.059 * | 25.5 ± 0.8 | 28.1 ± 0.7 | 0.326 * |
| Porosity CC [%] | 37.3 ± 2.0 | 32.2 ± 1.5 | 0.023 * | 33.4 ± 1.8 | 29.6 ± 0.7 | 0.054 * | 36.4 ± 1.1 | 33.7 ± 0.9 | 0.090 * | 38.4 ± 2.2 | 33.8 ± 1.1 | 0.295 ** |
| Porosity OTZ [%] | 55.9 ± 1.2 | 52.0 ± 0.9 | 0.006 * | 55.2 ± 1.1 | 52.3 ± 0.4 | 0.028 ** | 52.2 ± 0.9 | 50.4 ± 0.7 | 0.058 * | 54.0 ± 1.0 | 50.8 ± 0.5 | 0.035 ** |
| Porosity ITZ [%] | 66.0 ± 0.6 | 64.4 ± 0.6 | 0.043 * | 65.8 ± 0.7 | 64.3 ± 0.3 | 0.030 * | 61.8 ± 0.7 | 61.3 ± 0.5 | 0.245 * | 63.5 ± 0.7 | 61.4 ± 0.3 | 0.009 * |
| Total vBMD [mgHA/cm3] | 332 ± 16 | 412 ± 13 | 0.001 * | 309 ± 21 | 369 ± 12 | 0.061 | 310 ± 15 | 366 ± 11 | 0.002 * | 266 ± 12 | 311 ± 8.5 | 0.104 * |
| Cortical vBMD [mg HA/cm3] | 657 ± 20 | 731 ± 16 | 0.002 * | 684 ± 20 | 721 ± 9.9 | 0.175 * | 674 ± 13 | 717 ± 11 | 0.016 * | 630 ± 20 | 684 ± 12 | 0.106 * |
| Tr. vBMD [mg HA/cm3] | 168 ± 5.9 | 205 ± 8.9 | 0.002 * | 113 ± 11 | 144 ± 5.4 | 0.041 * | 192 ± 9.5 | 225 ± 8.7 | 0.001 * | 141 ± 8.7 | 1612 ± 5.4 | 0.354 * |
| Tr. thickness [mm] | 0.07 ± 0.003 | 0.10 ± 0.004 | 0.001 * | 0.05 ± 0.006 | 0.06 ± 0.003 | 0.056 * | 0.08 ± 0.005 | 0.1 ± 0.004 | 0.0004 * | 0.06 ± 0.004 | 0.07 ± 0.003 | 0.332 * |
| Tr. connectivity density [1/mm2] | 2.89 ± 0.2 | 3.56 ± 0.2 | 0.012 * | 1.65 ± 0.2 | 2.16 ± 0.1 | 0.127 * | 3.47 ± 0.2 | 4.09 ± 0.3 | 0.006 * | 2.27 ± 0.2 | 2.67 ± 0.1 | 0.570 * |
| Tr. separation [mm] | 0.89 ± 0.04 | 0.80 ± 0.03 | 0.007 * | 1.15 ± 0.09 | 0.96 ± 0.03 | 0.070 ** | 0.86 ± 0.04 | 0.78 ± 0.03 | 0.007 * | 1.06 ± 0.05 | 1.00 ± 0.03 | 0.885 * |
| Tr. number [1/mm2] | 3.16 ± 0.1 | 3.25 ± 0.1 | 0.246 * | 2.60 ± 0.2 | 2.87 ± 0.1 | 0.320 ** | 3.67 ± 0.1 | 3.70 ± 0.1 | 0.166 * | 3.21 ± 0.1 | 3.29 ± 0.08 | 0.587 * |
Publisher’s Note: MDPI stays neutral with regard to jurisdictional claims in published maps and institutional affiliations. |
© 2021 by the authors. Licensee MDPI, Basel, Switzerland. This article is an open access article distributed under the terms and conditions of the Creative Commons Attribution (CC BY) license (http://creativecommons.org/licenses/by/4.0/).
Share and Cite
Zendeli, A.; Bui, M.; Fischer, L.; Ghasem-Zadeh, A.; Schima, W.; Seeman, E. High Cortico-Trabecular Transitional Zone Porosity and Reduced Trabecular Density in Men and Women with Stress Fractures. J. Clin. Med. 2021, 10, 1123. https://doi.org/10.3390/jcm10051123
Zendeli A, Bui M, Fischer L, Ghasem-Zadeh A, Schima W, Seeman E. High Cortico-Trabecular Transitional Zone Porosity and Reduced Trabecular Density in Men and Women with Stress Fractures. Journal of Clinical Medicine. 2021; 10(5):1123. https://doi.org/10.3390/jcm10051123
Chicago/Turabian StyleZendeli, Afrodite, Minh Bui, Lukas Fischer, Ali Ghasem-Zadeh, Wolfgang Schima, and Ego Seeman. 2021. "High Cortico-Trabecular Transitional Zone Porosity and Reduced Trabecular Density in Men and Women with Stress Fractures" Journal of Clinical Medicine 10, no. 5: 1123. https://doi.org/10.3390/jcm10051123
APA StyleZendeli, A., Bui, M., Fischer, L., Ghasem-Zadeh, A., Schima, W., & Seeman, E. (2021). High Cortico-Trabecular Transitional Zone Porosity and Reduced Trabecular Density in Men and Women with Stress Fractures. Journal of Clinical Medicine, 10(5), 1123. https://doi.org/10.3390/jcm10051123

