Prone Position in Mechanically Ventilated COVID-19 Patients: A Multicenter Study
Abstract
1. Background
2. Methods
3. Results
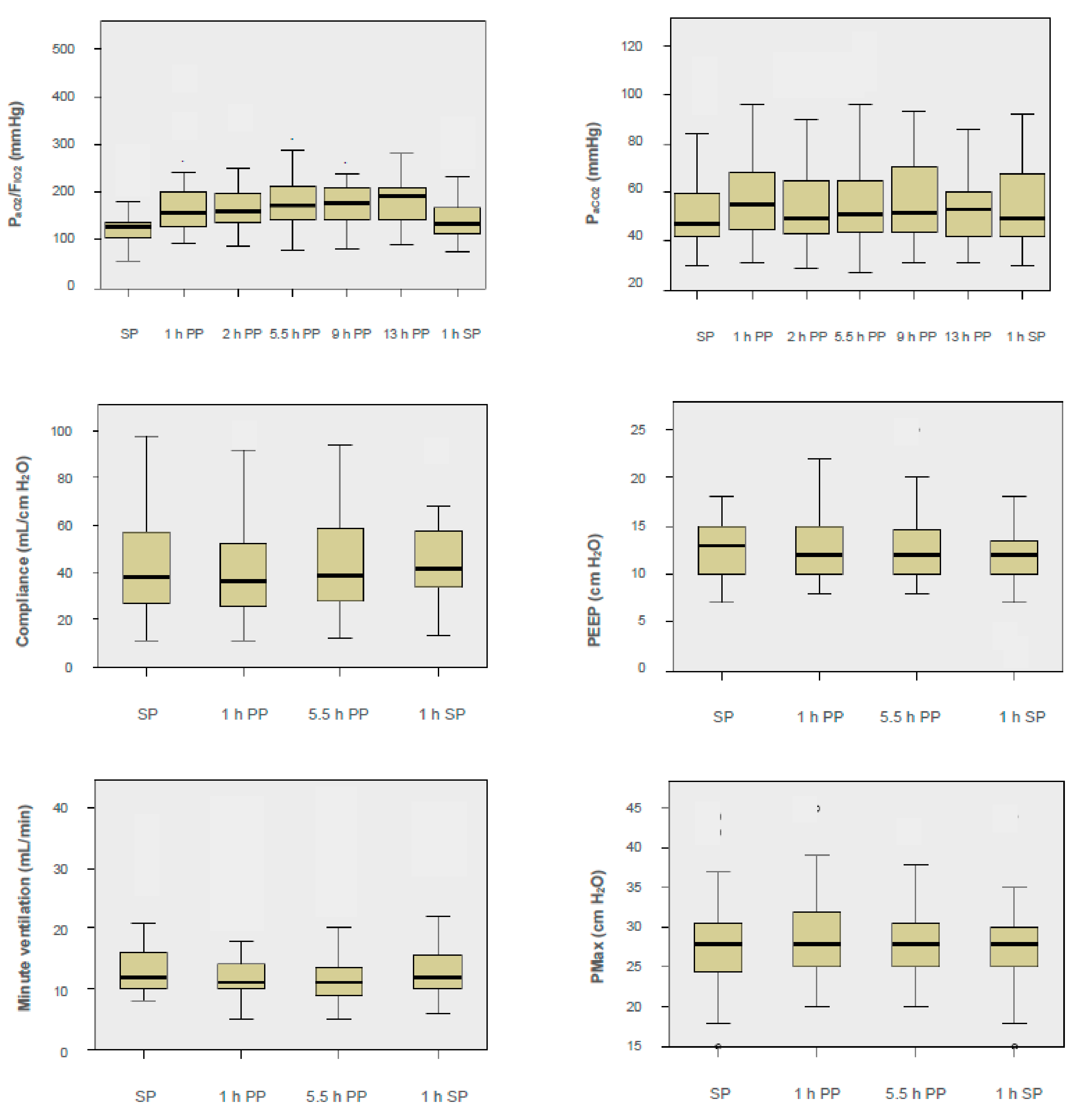
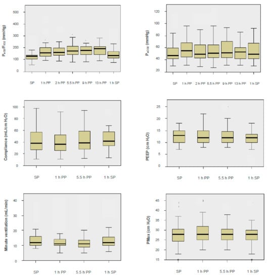
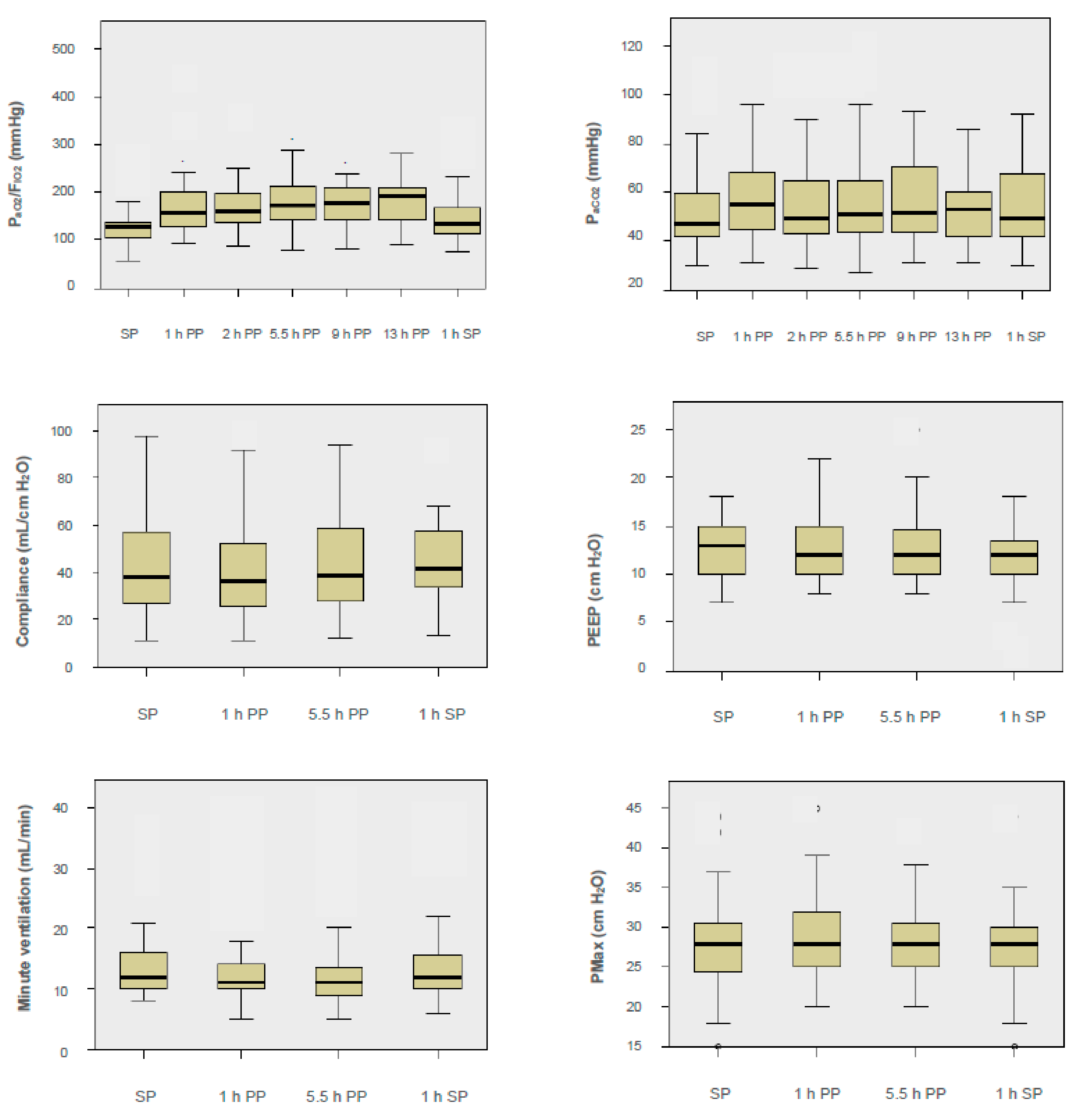
3.1. Prone Position Responder: Oxygenation and Decarboxylation
3.2. Invasive Ventilation of COVID-19 Patients in the Prone Position
3.3. Lung Compliance in COVID-19 Patients Correlates with 28 Day Survival
4. Discussion
4.1. Prevalence of Positive Oxygenation Response in COVID-19 Patients
4.2. Alveolar Ventilation in COVID-19 Patients: Prevalence of Positive Decarboxylation Response
4.3. Significant Correlation between Lung Compliance and Survival in COVID-19 Patients
5. Conclusions
Supplementary Materials
Author Contributions
Funding
Institutional Review Board Statement
Informed Consent Statement
Data Availability Statement
Conflicts of Interest
Abbreviations
| SARS-CoV-2 | severe acute respiratory syndrome coronavirus 2 |
| ICU | intensive care unit |
| ARDS | acute respiratory distress syndrome |
| PP | prone position |
| PP sessions | prone position sessions |
| VA-/VV-ECMO | veno–arterial/veno–veno extracorporeal membrane oxygenation |
| PEEP | positive end-expiratory pressure |
| LC | lung compliance |
| VT | tidal volume |
| ∆p | pressure difference |
| VILI | ventilator-induced lung injury |
References
- Wu, Z.; McGoogan, J.M. Characteristics of and Important Lessons from the Coronavirus Disease 2019 (COVID-19) Outbreak in China: Summary of a Report of 72,314 Cases from the Chinese Center for Disease Control and Prevention. JAMA 2020, 323, 1239–1242. [Google Scholar] [CrossRef] [PubMed]
- Chung, M.; Bernheim, A.; Mei, X.; Zhang, N.; Huang, M.; Zeng, X.; Cui, J.; Xu, W.; Yang, Y.; Fayad, Z.A.; et al. CT Imaging Features of 2019 Novel Coronavirus (2019-nCoV). Radiology 2020, 295, 202–207. [Google Scholar] [CrossRef] [PubMed]
- Kluge, S.; Janssens, U.; Welte, T.; Weber-Carstens, S.; Marx, G.; Karagiannidis, C. Empfehlungen zur inten-sivmedizinischen Therapie von Patienten mit COVID-19 (Recommendations for critically ill patients with COVID-19). Med. Klin. Intensivmed. Notf. 2020, 115, 175–177. [Google Scholar] [CrossRef]
- Gattinoni, L.; Busana, M.; Giosa, L.; Macrì, M.M.; Quintel, M. Prone Positioning in Acute Respiratory Distress Syndrome. Semin. Respir. Crit. Care Med. 2019, 40, 094–100. [Google Scholar] [CrossRef] [PubMed]
- Kluge, S.; Janssens, U.; Welte, T.; Weber-Carstens, S.; Schälte, G.; Spinner, C.D.; Malin, J.J.; Gastmeier, P.; Langer, F.; Wepler, M.; et al. S2k-Leitlinie—Empfehlungen zur stationären Therapie von Patienten mit COVID-19. Pneumology 2021, 75, 88–112. [Google Scholar] [CrossRef]
- Horby, P.; Lim, W.S.; Emberson, J.R.; Mafham, M.; Bell, J.L.; Linsell, L.; Staplin, N.; Brightling, C.; Ustianowski, A.; Elmahi, E.; et al. Dexamethasone in Hospitalized Patients with Covid-19—Preliminary Report. N. Engl. J. Med. 2020. [Google Scholar] [CrossRef]
- Beigel, J.H.; Tomashek, K.M.; Dodd, L.E.; Mehta, A.K.; Zingman, B.S.; Kalil, A.C.; Hohmann, E.; Chu, H.Y.; Luetkemeyer, A.; Kline, S.; et al. Remdesivir for the Treatment of Covid-19—Final Report. N. Engl. J. Med. 2020, 383, 1813–1826. [Google Scholar] [CrossRef] [PubMed]
- MacLaren, G.; Combes, A.; Brodie, D. What’s new in ECMO for COVID-19? Intensive Care Med. 2021, 47, 107–109. [Google Scholar] [CrossRef]
- Piehl, M.A.; Brown, R.S. Use of extreme position changes in acute respiratory failure. Crit. Care Med. 1976, 4, 13–14. [Google Scholar] [CrossRef]
- Douglas, W.W.; Rehder, K.; Beynen, F.M.; Sessler, A.D.; Marsh, H.M. Improved oxygenation in patients with acute respiratory failure: The prone position. Am. Rev. Respir. Dis. 1977, 115, 559–566. [Google Scholar] [CrossRef] [PubMed]
- Seeber, C. S3-Leitlinie Invasive Beatmung und Einsatz extrakorporaler Verfahren bei akuter respiratorischer Insuffizienz. 2017, pp. 1–295. Available online: https://www.awmf.org/uploads/tx_szleitlinien/001-021m_S3_Invasive_Beatmung_2017-12.pdf (accessed on 16 January 2021).
- Force, A.D.T.; Ranieri, V.M.; Rubenfeld, G.D.; Thompson, B.T.; Ferguson, N.D.; Caldwell, E.; Fan, E.; Camporota, L.; Slutsky, A.S. Acute Respiratory Distress Syndrome. JAMA 2012, 307, 2526–2533. [Google Scholar] [CrossRef]
- Bastos, L.S.; Niquini, R.P.; Lana, R.M.; Villela, D.A.M.; Cruz, O.G.; Coelho, F.C.; Codeço, C.T.; Gomes, M.F.C. COVID-19 e hospitalizações por SRAG no Brasil: Uma comparação até a 12ª semana epidemiológica de 2020. Cad. De Saúde Pública 2020, 36, e00070120. [Google Scholar] [CrossRef] [PubMed]
- Kallet, R.H. A Comprehensive Review of Prone Position in ARDS. Respir. Care 2015, 60, 1660–1687. [Google Scholar] [CrossRef]
- Gattinoni, L.; Vagginelli, F.; Carlesso, E.; Taccone, P.; Conte, V.; Chiumello, D.; Valenza, F.; Caironi, P.; Pesenti, A. Decrease in PaCO2 with prone position is predictive of improved outcome in acute respiratory distress syndrome*. Crit. Care Med. 2003, 31, 2727–2733. [Google Scholar] [CrossRef] [PubMed]
- Lee, K.; Kim, M.-Y.; Yoo, J.-W.; Hong, S.-B.; Lim, C.-M.; Koh, Y. Clinical Meaning of Early Oxygenation Improvement in Severe Acute Respiratory Distress Syndrome under Prolonged Prone Positioning. Korean J. Intern. Med. 2010, 25, 58–65. [Google Scholar] [CrossRef]
- Charron, C.; Repesse, X.; Bouferrache, K.; Bodson, L.; Castro, S.; Page, B.; Jardin, F.; Vieillard-Baron, A. PaCO2 and alveolar dead space are more relevant than PaO2/FiO2 ratio in monitoring the respiratory response to prone position in ARDS patients: A physiological study. Crit. Care 2011, 15, R175. [Google Scholar] [CrossRef] [PubMed]
- Bos, L.D.J.; Paulus, F.; Vlaar, A.P.J.; Beenen, L.F.M.; Schultz, M.J. Subphenotyping Acute Respiratory Distress Syndrome in Patients with COVID-19: Consequences for Ventilator Management. Ann. Am. Thorac. Soc. 2020, 17, 1161–1163. [Google Scholar] [CrossRef] [PubMed]
- Mutoh, T.; Guest, R.J.; Lamm, W.J.E.; Albert, R.K. Prone Position Alters the Effect of Volume Overload on Regional Pleural Pressures and Improves Hypoxemia in PigsIn Vivo. Am. Rev. Respir. Dis. 1992, 146, 300–306. [Google Scholar] [CrossRef]
- Galiatsou, E.; Kostanti, E.; Svarna, E.; Kitsakos, A.; Koulouras, V.; Efremidis, S.C.; Nakos, G. Prone position augments recruitment and prevents alveolar overinflation in acute lung injury. Am. J. Respir. Crit. Care Med. 2006, 174, 187–197. [Google Scholar] [CrossRef]
- Vieillard-Baron, A.; Rabiller, A.; Chergui, K.; Peyrouset, O.; Page, B.; Beauchet, A.; Jardin, F. Prone position improves mechanics and alveolar ventilation in acute respiratory distress syndrome. Intensiv. Care Med. 2004, 31, 220–226. [Google Scholar] [CrossRef] [PubMed]
- Albert, R.K.; Hubmayr, R.D. The prone position eliminates compression of the lungs by the heart. Am. J. Respir. Crit. Care Med. 2000, 161, 1660–1665. [Google Scholar] [CrossRef]
- Mure, M.; Glenny, R.W.; Domino, K.B.; Hlastala, M.P. Pulmonary gas exchange improves in the prone position with abdominal distension. Am. J. Respir. Crit. Care Med. 1998, 157, 1785–1790. [Google Scholar] [CrossRef] [PubMed]
- Jardin, F. Role of the heart in the loss of aeration characterizing lower lobes in acute respiratory distress syndrome. Am. J. Respir. Crit. Care Med. 2001, 164, 171. [Google Scholar] [CrossRef]
- Pelosi, P.; Brazzi, L.; Gattinoni, L. Prone position in acute respiratory distress syndrome. Eur. Respir. J. 2002, 20, 1017–1028. [Google Scholar] [CrossRef]
- Blanch, L.; Mancebo, J.; Perez, M.; Martinez, M.; Mas, A.; Betbese, A.J.; Joseph, D.; Ballús, J.; Lucangelo, U.; Bak, E. Short-term effects of prone position in critically ill patients with acute respiratory distress syndrome. Intensiv. Care Med. 1997, 23, 1033–1039. [Google Scholar] [CrossRef]
- Johannigman, J.A.; Davis, K.; Miller, S.L.; Campbell, R.S.; Luchette, F.A.; Frame, S.B.; Branson, R.D. Prone positioning for acute respiratory distress syndrome in the surgical intensive care unit: Who, when, and how long? Surgery 2000, 128, 708–716. [Google Scholar] [CrossRef]
- Máca, J.; Jor, O.; Holub, M.; Sklienka, P.; Burša, F.; Burda, M.; Janout, V.; Ševčík, P. Past and present ARDS mortality rates: A systematic review. Respir. Care 2017, 62, 113–122. [Google Scholar] [CrossRef] [PubMed]
- Sahoo, J.N.; Gurjar, M.; Mohanty, K.; Majhi, K.; Sradhanjali, G. Prone ventilation in H1N1 virus-associated severe acute respiratory distress syndrome: A case series. Int. J. Crit. Illn. Inj. Sci. 2019, 9, 182. [Google Scholar] [CrossRef]
- Thompson, A.E.; Ranard, B.L.; Wei, Y.; Jelic, S. Prone positioning in awake, nonintubated patients with COVID-19 hypoxemic respiratory failure. JAMA Intern. Med. 2020, 17, e203030. [Google Scholar] [CrossRef]
- Prasad, M.; Visrodia, K. Should I prone non-ventilated awake patients with COVID-19? Clevel. Clin. J. Med. 2020. [Google Scholar] [CrossRef]
- Paul, V.; Patel, S.; Royse, M.; Odish, M.; Malhotra, A.; Koenig, S. Proning in non-intubated (pini) in times of COVID-19: Case series and a review. J. Intensiv. Care Med. 2020, 35, 818–824. [Google Scholar] [CrossRef]
- Meng, L.; Qiu, H.; Wan, L.; Ai, Y.; Xue, Z.; Guo, Q.; Deshpande, R.; Zhang, L.; Meng, J.; Tong, C.; et al. Intubation and ventilation amid the COVID-19 outbreak. Anesthesiology 2020, 132, 1317–1332. [Google Scholar] [CrossRef] [PubMed]
- Telias, I.; Katira, B.H.; Brochard, L. Is the prone position helpful during spontaneous breathing in patients with COVID-19? JAMA 2020, 323, 2265. [Google Scholar] [CrossRef] [PubMed]
- Stocker, R.; Neff, T.; Stein, S.; Ecknauer, E.; Trentz, O.; Russi, E. Prone positioning and low-volume pressure-limited ventilation improve survival in patients with severe ARDS. Chest 1997, 111, 1008–1017. [Google Scholar] [CrossRef]
- Papazian, L.; Paladini, M.-H.; Brégeon, F.; Huiart, L.; Thirion, X.; Saux, P.; Jammes, Y.; Auffray, J.-P. Is a short trial of prone positioning sufficient to predict the improvement in oxygenation in patients with acute respiratory distress syndrome? Intensiv. Care Med. 2001, 27, 1044–1049. [Google Scholar] [CrossRef]
- Kallet, R.H. Measuring dead-space in acute lung injury. Minerva Anestesiol. 2012, 78, 1297–1305. [Google Scholar] [PubMed]
- Protti, A.; Chiumello, D.; Cressoni, M.; Carlesso, E.; Mietto, C.; Berto, V.; Lazzerini, M.; Quintel, M.; Gattinoni, L. Relationship between gas exchange response to prone position and lung recruitability during acute respiratory failure. Intensiv. Care Med. 2009, 35, 1011–1017. [Google Scholar] [CrossRef]
- Nuckton, T.J.; Alonso, J.A.; Allet, R.I.H.K.; Daniel, B.M.; Pittet, J.-F.; Eisner, M.A.D.; Matthay, M.A. Pulmonary Dead-Space Fraction as a Risk Factor for Death in the Acute Respiratory Distress Syndrome. N. Engl. J. Med. 2002, 346, 1281–1286. [Google Scholar] [CrossRef]
- Raurich, J.M.; Vilar, M.; Colomar, A.; Ibáñez, J.; Ayestarán, I.; Pérez-Bárcena, J.; Llompart-Pou, J.A. Prognostic value of the pulmonary dead-space fraction during the early and intermediate phases of acute respiratory distress syndrome. Respir. Care 2010, 55, 282–287. [Google Scholar] [PubMed]
- Bellani, G.; Laffey, J.G.; Pham, T.; Fan, E.; Brochard, L.; Esteban, A.; Gattinoni, L.; Van Haren, F.; Larsson, A.; McAuley, D.F.; et al. Epidemiology, patterns of care, and mortality for patients with acute respiratory distress syndrome in intensive care units in 50 countries. JAMA 2016, 315, 788–800. [Google Scholar] [CrossRef]
- Network, A.R.D.S.; Brower, R.G.; Matthay, M.A.; Morris, A.; Schoenfeld, D.; Thompson, B.T.; Wheeler, A. Ventilation with lower tidal volumes as compared with traditional tidal volumes for acute lung injury and the acute respiratory distress syndrome. N. Engl. J. Med. 2000, 342, 1301–1308. [Google Scholar] [CrossRef]
- Li, X.; Ma, X. Acute respiratory failure in COVID-19: Is it typical ARDS? Crit. Care 2020, 24, 198. [Google Scholar] [CrossRef] [PubMed]


| n = 13 | Characterization of the Patient Population | |||
|---|---|---|---|---|
| Min. | Max. | Median (Q1; Q3) | Avg. (± SD) | |
| Age (years) | 45 | 78 | 63 (51; 69) | 61 (± 10.2) |
| Body weight (kg) | 72 | 140 | 80 (76; 98) | 88 (± 19.8) |
| BMI (kg/m2) | 22 | 36 | 25 (25; 30) | 27 (± 4.4) |
| Cardiovascular risk factors | Pre-medication | |||
| n (%) | n (%) | |||
| Arterial hypertension | 6 (46%) | Immunosuppressive therapy | 0 (0) | |
| Diabetes mellitus | 0 (0%) | Antihypertensive therapy | 6 (46%) | |
| Nicotine abuse | 4 (30.6%) | ACE-inhibitor | 1 (7.7%) | |
| Male gender | 12 (92.3%) | AT1R-antagonists | 3 (23.1%) | |
| Insulin therapy | 0 (0%) | |||
| Other pre-existing conditions | Oral diabetes therapy | 0 (0%) | ||
| n (%) | Systemic steroids therapy | 0 (0) | ||
| Cardiovascular diseases | 5 (38.5%) | Local steroids therapy | 0 (0) | |
| Cerebrovascular diseases | 1 (7.7%) | Antiviral medication | 2 (15.4%) | |
| COPD | 0 (0%) | |||
| Bronchial asthma | 0 (0%) | Co-infections | ||
| Other pulmonary diseases | 0 (0%) | n (%) | ||
| Immunosuppressive disease | 2 (15.4%) | Bacterial superinfection | 13 (100%) | |
| Comorbidity | 12 (92.3%) | Mycotic superinfection | 3 (23.1%) | |
| Medication before illness | 12 (92.3%) | Antibiotic therapy (ICU) | 13 (100%) | |
| Patient Number | Age | Gender | Charlson Comorbidity Index (CCI) | Severity of ARDS: PaO2/FIO2 Ratio on The Day of Prone | Intubation to Prone Ventilation in Days | Number of Prone Ventilation Sessions | PaO2/FIO2 Responder (1 h PP) | PaCO2 Responder (1 h PP) | Viral Load: Ct Value (RT-PCR) | PEEP Reduction (1 h PP) | PMax Reduction (1 h PP) | Minute Ventilation Reduction (1 h PP) | 28 Day Mortality after Last PP |
|---|---|---|---|---|---|---|---|---|---|---|---|---|---|
| 1 | 65 | Male | 4 | 102 | 0 | 4 | 4/4 | 0/4 | 27.4 | 1/4 | 2/4 | 3/4 | Died |
| 2 | 68 | Male | 3 | 128 | 9 | 3 | 1/3 | 1/3 | 35.6 | 1/3 | 0/3 | 2/3 | Survived |
| 3 | 50 | Male | 1 | 145 | 0 | 2 | 2/2 | 0/2 | 22.7 | 0/2 | 1/2 | 1/2 | Died |
| 4 | 60 | Male | 3 | 97 | 0 | 2 | 2/2 | 0/2 | 0 | 0/2 | 1/2 | 2/2 | Survived |
| 5 | 64 | Male | 3 | 92 | 0 | 3 | 3/3 | 2/3 | 36.8 | 2/3 | 3/3 | 1/3 | Died |
| 6 | 63 | Male | 3 | 61 | 0 | 1 | 1/1 | 1/1 | - | 1/1 | 0/1 | 1/1 | Died |
| 7 | 63 | Male | 3 | 99 | 0 | 2 | 2/2 | 1/2 | - | 2/2 | 0/2 | 2/2 | Survived |
| 8 | 70 | Male | 4 | 200 | 3 | 2 | 0/2 | 1/2 | 35.1 | 0/2 | 2/2 | 1/2 | Survived |
| 9 | 45 | Male | 0 | 88 | 0 | 3 | 0/3 | 1/3 | 0 | 1/3 | 1/3 | 2/3 | Survived |
| 10 | 77 | Male | 4 | 124 | 1 | 5 | 4/5 | 3/5 | - | 1/5 | 3/5 | 4/5 | Died |
| 11 | 58 | Male | 2 | 127 | 16 | 1 | 0/1 | 0/1 | - | 0/1 | 1/1 | 0/1 | Survived |
| 12 | 78 | Male | 4 | 115 | 1 | 2 | 1/2 | 0/2 | - | 0/2 | 0/2 | 2/2 | Died |
| 13 | 48 | Female | 1 | 58 | 1 | 6 | 4/6 | 1/6 | - | 0/6 | 1/6 | 4/6 | Died |
| PaO2/FIO2 | ||||||
|---|---|---|---|---|---|---|
| 1 h PP | 2 h PP | 5.5 h PP | 9.5 h PP | 13 h PP | 1 h SP | |
| Responder (≥15%) | 24/36 (67%) | 24/36 (67%) | 26/36 (72%) | 29/36 (81%) | 28/36 (78%) | 20/36 (56%) |
| M [Q1; Q3] increase (responder) | 38.4% [26%; 95%] | 42.6% [23%; 84%] | 58.3% [31%; 95%] | 40.9% [28%; 67%] | 48% [36%; 81%] | 46.6% [30%; 62%] |
| Avg. (± SD) increase (responder) | 69.7% (± 67%) | 62.8% (± 58%) | 68.7% (± 52%) | 55.8% (± 49%) | 65.7% (± 50%) | 52% (± 32%) |
| PP1 | 9/13 (69%) | 12/13 (92%) | 11/13 (85%) | 11/13 (85%) | 12/13 (92%) | 11/13 (85%) |
| PP2 | 8/11 (73%) | 6/11 (55%) | 8/11 (73%) | 9/11 (82%) | 8/11 (73%) | 4/11 (36%) |
| PP3 | 4/6 (67%) | 3/6 (50%) | 3/6 (50%) | 5/6 (83%) | 5/6 (83%) | 5/6 (83%) |
| PP4 | 3/3 (100%) | 1/3 (33%) | 3/3 (100%) | 3/3 (100%) | 2/3 (66%) | 0/3 (0%) |
| PP5 | 0/2 (0%) | 2/2 (100%) | 1/2 (50%) | 1/2 (50%) | 1/2 (50%) | 0/2 (0%) |
| PP6 | 0/1 (0%) | 0/1 (0%) | 0/1 (0%) | 0/1 (0%) | 0/1 (0%) | 0/1 (0%) |
| PaCO2 | ||||||
| 1 h PP | 2 h PP | 5.5 h PP | 9.5 h PP | 13 h PP | 1 h SP | |
| Responder (≥2%) | 12/36 (33%) | 14/36 (39%) | 12/36 (33%) | 12/36 (33%) | 15/36 (42%) | 15/36 (42%) |
| M [Q1; Q3] increase (responder) | −4.5% [−27%; −3%] | −9% [−21%; −5%] | −12% [−26%; −9%] | −9% [−21%; −4%] | −11% [−21%; −7%] | −11% [−25%; −9%] |
| Avg. (± SD) increase (responder) | −11.8% (± 13.1%) | −13.3% (± 11.8%) | −16.5% (± 12.6%) | −15.5% (± 17%) | −16.3% (± 14.6%) | −18.9% (± 16%) |
| PP1 | 6/13 (46%) | 7/13 (54%) | 7/13 (54%) | 7/13 (54%) | 6/13 (46%) | 7/13 (54%) |
| PP2 | 1/11 (9%) | 2/11 (18%) | 1/11 (9%) | 2/11 (18%) | 3/11 (27%) | 4/11 (36%) |
| PP3 | 3/6 (50%) | 3/6 (50%) | 2/6 (33%) | 1/6 (17%) | 2/6 (33%) | 3/6 (50%) |
| PP4 | 1/3 (33%) | 1/3 (33%) | 0/3 (0%) | 0/3 (0%) | 1/3 (33%) | 0/3 (0%) |
| PP5 | 1/2 (50%) | 1/2 (50%) | 2/2 (100%) | 2/2 (100%) | 2/2 (100%) | 1/2 (50%) |
| PP6 | 0/1 (0%) | 0/1 (0%) | 0/1 (0%) | 0/1 (0%) | 1/0 (100%) | 0/1 (0%) |
| PEEP | ||||||
| 1 h PP | 5.5 h PP | 1 h SP | ||||
| Reduction | 8/36 (22%) | 8/36 (22%) | 15/36 (42%) | |||
| M [Q1; Q2] decrease | −14.2% [−22%; −8%] | −13.8% [−21%; −8%] | −19.9% [−30%; −12%] | |||
| Avg. (± SD) | −16.2% (± 9%) | −15.1% (± 7.8%) | −21.4% (± 12.2%) | |||
| PP1 | 2/13 (15%) | 2/13 (15%) | 4/13 (31%) | |||
| PP2 | 1/11 (9%) | 3/11 (27%) | 4/11 (36%) | |||
| PP3 | 3/6 (50%) | 1/6 (17%) | 3/6 (50%) | |||
| PP4 | 2/3 (67%) | 2/3 (67%) | 2/3 (67%) | |||
| PP5 | 0/2 (0%) | 0/2 (0%) | 2/2 (100%) | |||
| PP6 | 0/0 (0%) | 0/2 (0%) | 0/1 (0%) | |||
| PMax | ||||||
| 1 h PP | 5.5 h PP | 1 h SP | ||||
| Reduction | 15/36 (42%) | 14/36 (39%) | 12/36 (33%) | |||
| M [Q1; Q2] decrease | −3.9% [−14%; −3%] | −7.4% [−12%; −6%] | −22.6% [−27%; −10%] | |||
| Avg. (± SD) | −7.7% (± 6.6%) | −9.3 (± 5.9%) | −18.8% (± 9.5%) | |||
| PP1 | 4/13 (31%) | 5/13 (38%) | 4/13 (31%) | |||
| PP2 | 6/11 (55%) | 4/11 (36%) | 2/11 (18%) | |||
| PP3 | 2/6 (33%) | 3/6 (50%) | 4/6 (67%) | |||
| PP4 | 2/3 (67%) | 1/3 (33%) | 1/3 (33%) | |||
| PP5 | 1/2 (50%) | 1/1 (50%) | 1/2 (50%) | |||
| PP6 | 0/1 (0%) | 0/1 (0%) | 0/1 (0%) | |||
| Minute ventilation | ||||||
| 1 h PP | 5.5 h PP | 1 h SP | ||||
| Reduction | 25/36 (69%) | 27/36 (75%) | 21/36 (58%) | |||
| M [Q1; Q2] decrease | −15.8% [−23%; −6%] | −19% [−32%; −8%] | −18.5% [−35%; −6%] | |||
| Avg. (± SD) | −18.7% (± 17.3%) | −22.4% (± 17.5%) | −21.5% (± 10.6%) | |||
| PP1 | 7/13 (54%) | 8/13 (62%) | 9/13 (69%) | |||
| PP2 | 10/11 (91%) | 9/11 (82%) | 5/11 (45%) | |||
| PP3 | 4/6 (67%) | 6/6 (100%) | 2/6 (33%) | |||
| PP4 | 2/3 (67%) | 3/3 (100%) | 3/3 (100%) | |||
| PP5 | 1/2 (50%) | 0/2 (0%) | 1/2 (50%) | |||
| PP6 | 1/1 (100%) | 1/1 (100%) | 1/1 (100%) | |||
Publisher’s Note: MDPI stays neutral with regard to jurisdictional claims in published maps and institutional affiliations. |
© 2021 by the authors. Licensee MDPI, Basel, Switzerland. This article is an open access article distributed under the terms and conditions of the Creative Commons Attribution (CC BY) license (http://creativecommons.org/licenses/by/4.0/).
Share and Cite
Vollenberg, R.; Matern, P.; Nowacki, T.; Fuhrmann, V.; Padberg, J.-S.; Ochs, K.; Schütte-Nütgen, K.; Strauß, M.; Schmidt, H.; Tepasse, P.-R. Prone Position in Mechanically Ventilated COVID-19 Patients: A Multicenter Study. J. Clin. Med. 2021, 10, 1046. https://doi.org/10.3390/jcm10051046
Vollenberg R, Matern P, Nowacki T, Fuhrmann V, Padberg J-S, Ochs K, Schütte-Nütgen K, Strauß M, Schmidt H, Tepasse P-R. Prone Position in Mechanically Ventilated COVID-19 Patients: A Multicenter Study. Journal of Clinical Medicine. 2021; 10(5):1046. https://doi.org/10.3390/jcm10051046
Chicago/Turabian StyleVollenberg, Richard, Philipp Matern, Tobias Nowacki, Valentin Fuhrmann, Jan-Sören Padberg, Kevin Ochs, Katharina Schütte-Nütgen, Markus Strauß, Hartmut Schmidt, and Phil-Robin Tepasse. 2021. "Prone Position in Mechanically Ventilated COVID-19 Patients: A Multicenter Study" Journal of Clinical Medicine 10, no. 5: 1046. https://doi.org/10.3390/jcm10051046
APA StyleVollenberg, R., Matern, P., Nowacki, T., Fuhrmann, V., Padberg, J.-S., Ochs, K., Schütte-Nütgen, K., Strauß, M., Schmidt, H., & Tepasse, P.-R. (2021). Prone Position in Mechanically Ventilated COVID-19 Patients: A Multicenter Study. Journal of Clinical Medicine, 10(5), 1046. https://doi.org/10.3390/jcm10051046

