Prognostic Role of TAPSE to PASP Ratio in Patients Undergoing MitraClip Procedure
Abstract
1. Introduction
2. Materials and Methods
2.1. Study Design and Population
2.2. Echocardiography Parameters
2.3. Right Heart Catheterization
2.4. Definitions and Outcomes
2.5. Statistical Analysis
3. Results
3.1. Baseline Characteristics According to TAPSE/PASP Values
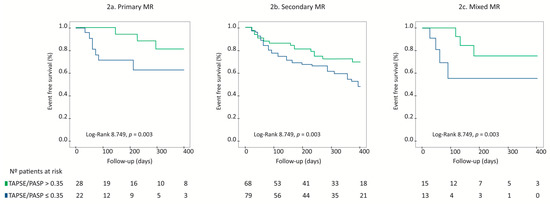
3.2. Outcomes
3.3. Survival and Multivariate Analysis
4. Discussion
Limitations
5. Conclusions
Supplementary Materials
Author Contributions
Funding
Institutional Review Board Statement
Informed Consent Statement
Data Availability Statement
Acknowledgments
Conflicts of Interest
References
- Feldman, T.; Foster, E.; Glower, D.D.; Kar, S.; Rinaldi, M.J.; Fail, P.S.; Smalling, R.W.; Siegel, R.; Rose, G.A.; Engeron, E.; et al. EVEREST II Investigators. Percutaneous repair or surgery for mitral regurgitation. N. Engl. J. Med. 2011, 364, 1395–1406. [Google Scholar] [CrossRef] [PubMed]
- Sorajja, P.; Vemulapalli, S.; Feldman, T.; Mack, M.; Holmes, D.R., Jr.; Stebbins, A.; Kar, S.; Thourani, V.; Ailawadi, G. Outcomes with Transcatheter Mitral Valve Repair in the United States: An STS/ACC TVT Registry Report. J. Am. Coll. Cardiol. 2017, 70, 2315–2327. [Google Scholar] [CrossRef]
- Ailawadi, G.; Lim, D.S.; Mack, M.J.; Trento, A.; Kar, S.; Grayburn, P.A.; Glower, D.D.; Wang, A.; Foster, E.; Qasim, A.; et al. EVEREST II Investigators. One-Year Outcomes after MitraClip for Functional Mitral Regurgitation. Circulation 2019, 139, 37–47. [Google Scholar] [CrossRef] [PubMed]
- Maisano, F.; Franzen, O.; Baldus, S.; Schäfer, U.; Hausleiter, J.; Butter, C.; Ussia, G.P.; Sievert, H.; Richardt, G.; Widder, J.D.; et al. Percutaneous mitral valve interventions in the real world: Early and 1-year results from the ACCESS-EU, a prospective, multicenter, nonrandomized post-approval study of the MitraClip therapy in Europe. J. Am. Coll. Cardiol. 2013, 62, 1052–1061. [Google Scholar] [CrossRef] [PubMed]
- Baumgartner, H.; Falk, V.; Bax, J.J.; De Bonis, M.; Hamm, C.; Holm, P.J.; Iung, B.; Lancellotti, P.; Lansac, E.; Rodriguez Muñoz, D.; et al. 2017 ESC/EACTS Guidelines for the management of valvular heart disease. Eur. Heart J. 2017, 38, 2739–2791. [Google Scholar] [CrossRef] [PubMed]
- Otto, C.M.; Nishimura, R.A.; Bonow, R.O.; Carabello, B.A.; Erwin, J.P., 3rd; Gentile, F.; Jneid, H.; Krieger, E.V.; Mack, M.; McLeod, C.; et al. 2020 ACC/AHA Guideline for the Management of Patients with Valvular Heart Disease: Executive Summary: A Report of the American College of Cardiology/American Heart Association Joint Committee on Clinical Practice Guidelines. J. Am. Coll. Cardiol. 2021, 77, 450–500. [Google Scholar] [CrossRef] [PubMed]
- Kortlandt, F.A.; van’t Klooster, C.C.; Bakker, A.L.; Swaans, M.J.; Kelder, J.C.; de Kroon, T.L.; Rensing, B.J.; Eefting, F.D.; van der Heyden, J.A.; Post, M.C. The predictive value of conventional surgical risk scores for periprocedural mortality in percutaneous mitral valve repair. Neth. Heart J. 2016, 24, 475–480. [Google Scholar] [CrossRef][Green Version]
- Puls, M.; Lubos, E.; Boekstegers, P.; von Bardeleben, R.S.; Ouarrak, T.; Butter, C.; Zuern, C.S.; Bekeredjian, R.; Sievert, H.; Nickenig, G.; et al. One-year outcomes and predictors of mortality after MitraClip therapy in contemporary clinical practice: Results from the German transcatheter mitral valve interventions registry. Eur. Heart J. 2016, 37, 703–712. [Google Scholar] [CrossRef]
- Baldi, C.; Citro, R.; Silverio, A.; Di Maio, M.; De Rosa, R.; Bonadies, D.; Verolino, G.; Esposito, L.; Mastrogiovanni, G.; Di Muro, M.R.; et al. Predictors of outcome in heart failure patients with severe functional mitral regurgitation undergoing MitraClip treatment. Int. J. Cardiol. 2019, 284, 50–58. [Google Scholar] [CrossRef]
- Capodanno, D.; Adamo, M.; Barbanti, M.; Giannini, C.; Laudisa, M.L.; Cannata, S.; Curello, S.; Immè, S.; Maffeo, D.; Bedogni, F.; et al. Predictors of clinical outcomes after edge-to-edge percutaneous mitral valve repair. Am. Heart J. 2015, 170, 187–195. [Google Scholar] [CrossRef]
- Nickenig, G.; Estevez-Loureiro, R.; Franzen, O.; Tamburino, C.; Vanderheyden, M.; Lüscher, T.F.; Moat, N.; Price, S.; Dall’Ara, G.; Winter, R.; et al. Percutaneous mitral valve edge-to-edge repair: In-hospital results and 1-year follow-up of 628 patients of the 2011-2012 Pilot European Sentinel Registry. J. Am. Coll. Cardiol. 2014, 64, 875–884. [Google Scholar] [CrossRef]
- Al-Bawardy, R.; Vemulapalli, S.; Thourani, V.H.; Mack, M.; Dai, D.; Stebbins, A.; Palacios, I.; Inglessis, I.; Sakhuja, R.; Ben-Assa, E.; et al. Association of Pulmonary Hypertension with Clinical Outcomes of Transcatheter Mitral Valve Repair. JAMA Cardiol. 2020, 5, 47–56. [Google Scholar] [CrossRef] [PubMed]
- Osteresch, R.; Diehl, K.; Kühl, M.; Fiehn, E.; Schmucker, J.; Backhaus, T.; Fach, A.; Wienbergen, H.; Hambrecht, R. Impact of right heart function on outcome in patients with functional mitral regurgitation and chronic heart failure undergoing percutaneous edge-to-edge-repair. J. Interv. Cardiol. 2018, 31, 916–924. [Google Scholar] [CrossRef]
- Tigges, E.; Blankenberg, S.; von Bardeleben, R.S.; Zürn, C.; Bekeredjian, R.; Ouarrak, T.; Sievert, H.; Nickenig, G.; Boekstegers, P.; Senges, J.; et al. Implication of pulmonary hypertension in patients undergoing MitraClip therapy: Results from the German transcatheter mitral valve interventions (TRAMI) registry. Eur. J. Heart Fail. 2018, 20, 585–594. [Google Scholar] [CrossRef] [PubMed]
- Godino, C.; Salerno, A.; Cera, M.; Agricola, E.; Fragasso, G.; Rosa, I.; Oppizzi, M.; Monello, A.; Scotti, A.; Magni, V.; et al. Impact and evolution of right ventricular dysfunction after successful MitraClip implantation in patients with functional mitral regurgitation. Int. J. Cardiol. Heart Vasc. 2016, 11, 90–98. [Google Scholar] [CrossRef][Green Version]
- Kottenberg, E.; Dumont, M.; Frey, U.H.; Heine, T.; Plicht, B.; Kahlert, P.; Erbel, R.; Peters, J. The minimally invasive MitraClip™ procedure for mitral regurgitation under general anaesthesia: Immediate effects on the pulmonary circulation and right ventricular function. Anaesthesia 2014, 69, 860–867. [Google Scholar] [CrossRef] [PubMed]
- Tello, K.; Dalmer, A.; Axmann, J.; Vanderpool, R.; Ghofrani, H.A.; Naeije, R.; Roller, F.; Seeger, W.; Sommer, N.; Wilhelm, J.; et al. Reserve of Right Ventricular-Arterial Coupling in the Setting of Chronic Overload. Circ. Heart Fail. 2019, 12, e005512. [Google Scholar] [CrossRef] [PubMed]
- Vanderpool, R.; Pinsky, M.; Naeije, R.; Deible, C.; Kosaraju, V.; Bunner, C.; Mathier, M.A.; Lacomis, J.; Champion, H.C.; Simon, M.A. Right ventricular-pulmonary arterial coupling predicts outcome in patients referred for pulmonary hypertension. Heart 2015, 101, 37–43. [Google Scholar] [CrossRef]
- Guazzi, M.; Bandera, F.; Pelissero, G.; Castelvecchio, S.; Menicanti, L.; Ghio, S.; Temporelli, P.L.; Arena, R. Tricuspid annular plane systolic excursion and pulmonary arterial systolic pressure relationship in heart failure: An index of right ventricular contractile function and prognosis. Am. J. Physiol. Heart Circ. Physiol. 2013, 305, H1373–H1381. [Google Scholar] [CrossRef]
- Santas, E.; Palau, P.; Guazzi, M.; de la Espriella, R.; Miñana, G.; Sanchis, J.; Bayes-Genís, A.; Lupón, J.; Chorro, F.J.; Núñez, J. Usefulness of Right Ventricular to Pulmonary Circulation Coupling as an Indicator of Risk for Recurrent Admissions in Heart Failure With Preserved Ejection Fraction. Am. J. Cardiol. 2019, 124, 567–572. [Google Scholar] [CrossRef] [PubMed]
- Guazzi, M.; Dixon, D.; Labate, V.; Beussink-Nelson, L.; Bandera, F.; Cuttica, M.J.; Shah, S.J. RV Contractile function and its coupling to pulmonary circulation in heart failure with preserved ejection fraction: Stratification of clinical phenotypes and outcomes. JACC Cardiovasc. Imaging 2017, 10, 1211–1221. [Google Scholar] [CrossRef]
- Tello, K.; Wan, J.; Dalmer, A.; Vanderpool, R.; Ghofrani, H.A.; Naeije, R.; Roller, F.; Mohajerani, E.; Seeger, W.; Herberg, U.; et al. Validation of the Tricuspid Annular Plane Systolic Excursion/Systolic Pulmonary Artery Pressure Ratio for the Assessment of Right Ventricular-Arterial Coupling in Severe Pulmonary Hypertension. Circ. Cardiovasc. Imaging 2019, 12, e009047. [Google Scholar] [CrossRef]
- Stone, G.W.; Adams, D.H.; Abraham, W.T.; Kappetein, A.P.; Généreux, P.; Vranckx, P.; Mehran, R.; Kuck, K.H.; Leon, M.B.; Piazza, N.; et al. Mitral Valve Academic Research Consortium (MVARC). Clinical Trial Design Principles and Endpoint Definitions for Transcatheter Mitral Valve Repair and Replacement: Part 2: Endpoint Definitions: A Consensus Document from the Mitral Valve Academic Research Consortium. J. Am. Coll. Cardiol. 2015, 66, 308–321. [Google Scholar] [CrossRef] [PubMed]
- Guazzi, M.; Naeije, R.; Arena, R.; Corrà, U.; Ghio, S.; Forfia, P.; Rossi, A.; Cahalin, L.P.; Bandera, F.; Temporelli, P. Echocardiography of Right Ventriculoarterial Coupling Combined With Cardiopulmonary Exercise Testing to Predict Outcome in Heart Failure. Chest 2015, 148, 226–234. [Google Scholar] [CrossRef] [PubMed]
- Gorter, T.M.; van Veldhuisen, D.J.; Voors, A.A.; Hummel, Y.M.; Lam, C.S.P.; Berger, R.M.F.; van Melle, J.P.; Hoendermis, E.S. Right ventricular-vascular coupling in heart failure with preserved ejection fraction and pre- vs. post-capillary pulmonary hypertension. Eur. Heart J. Cardiovasc. Imaging 2018, 19, 425–432. [Google Scholar] [CrossRef] [PubMed]
- Vonk Noordegraaf, A.; Westerhof, B.E.; Westerhof, N. The Relationship Between the Right Ventricle and its Load in Pulmonary Hypertension. J. Am. Coll. Cardiol. 2017, 69, 236–243. [Google Scholar] [CrossRef]
- Masarone, D.; Errigo, V.; Melillo, E.; Valente, F.; Gravino, R.; Verrengia, M.; Ammendola, E.; Vastarella, R.; Pacileo, G. Effects of Sacubitril/Valsartan on the Right Ventricular Arterial Coupling in Patients with Heart Failure with Reduced Ejection Fraction. J. Clin. Med. 2020, 9, 3159. [Google Scholar] [CrossRef]
- Sultan, I.; Cardounel, A.; Abdelkarim, I.; Kilic, A.; Althouse, A.D.; Sharbaugh, M.S.; Gupta, A.; Xu, J.; Fukui, M.; Simon, M.A.; et al. Right ventricle to pulmonary artery coupling in patients undergoing transcatheter aortic valve implantation. Heart 2019, 105, 117–121. [Google Scholar] [CrossRef]
- Sugimoto, T.; Bandera, F.; Generati, G.; Alfonzetti, E.; Bussadori, C.; Guazzi, M. Left Atrial Function Dynamics During Exercise in Heart Failure: Pathophysiological Implications on the Right Heart and Exercise Ventilation Inefficiency. JACC Cardiovasc. Imaging 2017, 10, 1253–1264. [Google Scholar] [CrossRef]
- Hussain, I.; Mohammed, S.F.; Forfia, P.R.; Lewis, G.D.; Borlaug, B.A.; Gallup, D.S.; Redfield, M.M. Impaired Right Ventricular-Pulmonary Arterial Coupling and Effect of Sildenafil in Heart Failure with Preserved Ejection Fraction: An Ancillary Analysis From the Phosphodiesterase-5 Inhibition to Improve Clinical Status And Exercise Capacity in Diastolic Heart Failure (RELAX) Trial. Circ. Heart Fail. 2016, 9, e002729. [Google Scholar] [CrossRef] [PubMed]
- Pascual, I.; Carrasco-Chinchilla, F.; Benito-Gonzalez, T.; Li, C.H.; Avanzas, P.; Nombela-Franco, L.; Pan, M.; Serrador-Frutos, A.; Freixa, X.; Trillo-Nouche, R.; et al. Transcatheter Mitral Repair for Functional Mitral Regurgitation According to Left Ventricular Function: A Real-Life Propensity-Score Matched Study. J. Clin. Med. 2020, 9, 1792. [Google Scholar] [CrossRef] [PubMed]
- Stone, G.W.; Lindenfeld, J.; Abraham, W.T.; Kar, S.; Lim, D.S.; Mishell, J.M.; Whisenant, B.; Grayburn, P.A.; Rinaldi, M.; Kapadia, S.R.; et al. COAPT Investigators. Transcatheter Mitral-Valve Repair in Patients with Heart Failure. N. Engl. J. Med. 2018, 379, 2307–2318. [Google Scholar] [CrossRef] [PubMed]
- Obadia, J.F.; Messika-Zeitoun, D.; Leurent, G.; Iung, B.; Bonnet, G.; Piriou, N.; Lefèvre, T.; Piot, C.; Rouleau, F.; Carrié, D.; et al. MITRA-FR Investigators. Percutaneous Repair or Medical Treatment for Secondary Mitral Regurgitation. N. Engl. J. Med. 2018, 379, 2297–2306. [Google Scholar] [CrossRef]
- Grayburn, P.A.; Sannino, A.; Packer, M. Proportionate and Disproportionate Functional Mitral Regurgitation: A New Conceptual Framework That Reconciles the Results of the MITRA-FR and COAPT Trials. JACC Cardiovasc. Imaging 2019, 12, 353–362. [Google Scholar] [CrossRef] [PubMed]


| TAPSE/PASP ≤ 0.35 (n = 114) | TAPSE/PASP > 0.35 (n = 114) | Total Sample (n = 228) | p-Value | |
|---|---|---|---|---|
| Clinical Characteristics | ||||
| Age (years) | 71.8 ± 11.8 | 73.3 ± 11.2 | 72.5 ± 11.5 | 0.327 |
| Sex, male (n, %) | 81(71.1) | 73(64) | 154(67.5) | 0.258 |
| Hypertension (n, %) | 79(69.3) | 86(76.1) | 165(72.7) | 0.250 |
| Diabetes mellitus (n, %) | 40(35.1) | 34(29.8) | 74(32.5) | 0.396 |
| Atrial fibrillation (n, %) | 68(59.6) | 65(58) | 133(58.8) | 0.893 |
| Glomerular filtration rate (mL/min/1.73 m2) | 58.2 ± 24.8 | 64 ± 26.1 | 60.9 ± 25.4 | 0.164 |
| Stage 3b-5 chronic renal failure (n, %) | 42(36.8) | 33(28.9) | 75(32.9) | 0.205 |
| Ischemic heart disease (n, %) | 61(53.5) | 52(45.6) | 113(49.6) | 0.400 |
| Prior PCI (n, %) | 41(36) | 35(30.7) | 76(33.3) | 0.699 |
| Prior CABG (n, %) | 25(21.9) | 17(14.9) | 42(18.4) | 0.156 |
| Extra cardiac arteriopathy (n, %) | 16(14) | 19(16.7) | 35(15.4) | 0.512 |
| Previous cardiac surgery (n, %) | 38(33.3) | 24(21.1) | 62(27.2) | 0.113 |
| COPD (n, %) | 25(21.9) | 24(21.1) | 49(21.5) | 0.872 |
| FC NYHA III-IV/IV (n, %) | 101(88.6) | 97(85.1) | 198(86.8) | 0.433 |
| NT-proBNP | 4821.6 ± 6364 | 4715.2 ± 5715 | 4762.2 ± 5990 | 0.915 |
| EuroScore II | 8.7 ± 8.3 | 8.2 ± 7.6 | 8.5 ± 7.9 | 0.589 |
| STS-Score | 5.4 ± 5.2 | 6.3 ± 5.5 | 5.8 ± 5.3 | 0.244 |
| Medical therapy (n, %): Betablockers Mineralocorticoid antagonists ACE inhibitors/ARB/ARNis Diuretics | 86 (76.8) 72 (64.3) 86 (76.8) 108 (96.4) | 90 (78.9) 60 (52.6) 84 (73.7) 109 (95.6) | 176 (77.9) 132 (58.4) 170 (75.2) 217 (96) | 0.695 0.076 0.589 0.754 |
| Baseline Echocardiographic Characteristics | ||||
| LVEDD (mm) | 60.7 ± 9.9 | 61 ± 10.4 | 60.9 ± 10.1 | 0.838 |
| LVESD (mm) | 49.9 ± 12.5 | 49.9 ± 12.6 | 49.9 ± 12.5 | 0.975 |
| Indexed LVEDV (mL/m2) | 93.4 ± 34.3 | 90.9 ± 34.6 | 92.1 ± 34.4 | 0.623 |
| Indexed LVEDV (mL/m2) | 56.6 ± 31 | 55.2±31.3 | 55.8±31.1 | 0.762 |
| LVEF (%) | 39.3 ± 14.9 | 41.4 ± 15.5 | 40.4 ± 15.3 | 0.283 |
| Indexed LA volume (mL/m2) | 58.3 ± 21.2 | 62.3 ± 26.8 | 60.3 ± 24.2 | 0.291 |
| MR grade IV/IV (n, %) | 94(82.5) | 98(86.7) | 187(82.1) | 0.373 |
| Regurgitant Volume (mL) | 60 ± 24.9 | 58.8 ± 19.2 | 59.5 ± 22.3 | 0.828 |
| Effective Regurgitant Orifice (mm2) | 42.6 ± 16.9 | 43.6 ± 18.5 | 43.1 ± 17.6 | 0.741 |
| Indexed LVEDV/ Effective Regurgitant Orifice (mL/mm2) | 2.5 ± 1.4 | 2.5 ± 1.3 | 2.5 ± 1.4 | 0.979 |
| MR aetiology (n, %) * Primary Secondary Mixed | 22(19.3) 79(69.3) 13(11.4) | 28(25.2) 68(61.3) 15(13.5) | 50(22.2) 147(65.3) 28(12.4) | 0.439 |
| Tricuspid regurgitation (n, %) Grade 0–1 Grade 2 Grade 3 Grade 4 | 35(30.7) 29(25.4) 29(25.4) 21(18.4) | 63(55.3) 28(24.6) 17(14.9) 6(5.3) | 98(43) 57(25) 46(20.2) 27(11.8) | <0.001 |
| TAPSE (mm) | 14.4 ± 3.3 | 19.5 ± 3.7 | 16.9 ± 4.3 | <0.001 |
| PASP (mmHg) | 57.7 ± 11.9 | 40.2 ± 11.1 | 48.9 ± 14.4 | <0.001 |
| TAPSE/ PASP ratio | 0.26 ± 0.1 | 0.52 ± 0.16 | 0.39 ± 0.18 | <0.001 |
| Right Heart Catheterization ϕ | ||||
| Right atrial pressure (mmHg) | 9.8 ± 4.8 | 8.5 ± 6.1 | 9.1 ± 5.5 | 0.520 |
| LA mean pressure (mmHg) | 25 ± 25.5 | 17.4 ± 7.6 | 20.7 ± 18 | 0.116 |
| LA V-wave pressure (mmHg) | 42.9 ± 13.8 | 29.8 ± 15.5 | 36 ± 15.9 | 0.010 |
| Change in LA mean pressure (mmHg) | 6.2 ± 6.6 | 5.8 ± 7.4 | 5.9 ± 7.1 | 0.848 |
| Change in LA v-wave pressure (mmHg) | 21.6 ± 15.7 | 12.8 ± 12.9 | 16.4 ± 14.6 | 0.081 |
| PCW pressure (mmHg) | 18.4 ± 7 | 19 ± 7.9 | 18.7 ± 7.3 | 0.833 |
| Mean PA pressure (mmHg) | 30.7 ± 12.4 | 29.5 ± 10.9 | 30.2 ± 11.5 | 0.795 |
| Systolic PA pressure (mmHg) ϒ | 52.7 ± 18.9 | 41.1 ± 13.9 | 47.1 ± 17.4 | 0.016 |
| PA Pulse Pressure (mmHg) | 28.6 ± 13.6 | 23.2 ± 6.8 | 26 ± 11 | 0.214 |
| Cardiac index (mL/min/m2) | 2.3 ± 0.6 | 2.1 ± 0.6 | 2.2 ± 0.6 | 0.342 |
| Pulmonary vascular resistance (WU) | 2.9 ± 1.5 | 3.2 ± 1.2 | 3.1 ± 1.3 | 0.651 |
| Transpulmonary pressure gradient (mmHg) | 12.6 ± 7.6 | 10.8 ± 3.7 | 11.8 ± 6.1 | 0.442 |
| Diastolic pressure gradient (mmHg) | 2.9 ± 3.7 | 2.6 ± 2.5 | 2.7 ± 3.2 | 0.847 |
| PA compliance (mL/mmHg) | 2.4 ± 1.2 | 2.5 ± 1.3 | 2.4 ± 1.2 | 0.756 |
| RHC-Derived Parameters | Pearson/Spearman Correlation Coefficients | p-Value |
|---|---|---|
| Mean right atrial pressure (mmHg) | −0.102 | 0.606 |
| Mean left atrial pressure (mmHg) | −0.197 | 0.142 |
| Mean left atrial V-wave (mmHg) | −0.324 | 0.047 |
| Mean PCW (mmHg) | −0.203 | 0.299 |
| Mean PA Pressure (mmHg) | −0.236 | 0.246 |
| Systolic PA Pressure (mmHg) | −0.373 | 0.007 |
| PA Pulse Pressure (mmHg) | −0.423 | 0.028 |
| Cardiac Index (mL/min/m2) | −0.003 | 0.988 |
| Pulmonary vascular resistance (WU) | −0.103 | 0.615 |
| Transpulmonary pressure gradient (mmHg) | −0.168 | 0.412 |
| Diastolic pressure gradient (mmHg) | 0.067 | 0.742 |
| PA compliance (mL/mmHg) | 0.418 | 0.030 |
| Variables | β | Hazard Ratio | 95% CI | p-Value |
|---|---|---|---|---|
| Diabetes Mellitus | 0.442 | 1.56 | 0.92–2.64 | 0.101 |
| NYHA FC III-IV/IV | 0.722 | 2.06 | 0.73–5.84 | 0.175 |
| TAPSE/PASP ≤ 0.35 | 0.693 | 2.0 | 1.13–3.53 | 0.017 |
| STS-Score | 0.050 | 1.05 | 1.01–1.10 | 0.024 |
| TR grade III-IV/IV | 0.091 | 1.09 | 0.62–1.92 | 0.750 |
| LVEF | −0.003 | 0.99 | 0.98–1.01 | 0.765 |
| Regression Model Tests | ||||
| Concordance = 0.662 (SE = 0.036) | ||||
| Likelihood ratio test | 0.001 | |||
| Wald test | 0.002 | |||
| Score (log rank) test | 0.002 | |||
| Proportional Hazard Assumption | ||||
| Diabetes Mellitus | 0.54 | |||
| NYHA FC | 0.76 | |||
| TAPSE/PASP ≤ 0.35 | 0.93 | |||
| STS Score | 0.96 | |||
| TR | 0.26 | |||
| LVEF | 0.54 | |||
| Global | 0.86 | |||
Publisher’s Note: MDPI stays neutral with regard to jurisdictional claims in published maps and institutional affiliations. |
© 2021 by the authors. Licensee MDPI, Basel, Switzerland. This article is an open access article distributed under the terms and conditions of the Creative Commons Attribution (CC BY) license (http://creativecommons.org/licenses/by/4.0/).
Share and Cite
Trejo-Velasco, B.; Estevez-Loureiro, R.; Carrasco-Chinchilla, F.; Fernández-Vázquez, F.; Arzamendi, D.; Pan, M.; Pascual, I.; Nombela-Franco, L.; Amat-Santos, I.J.; Freixa, X.; et al. Prognostic Role of TAPSE to PASP Ratio in Patients Undergoing MitraClip Procedure. J. Clin. Med. 2021, 10, 1006. https://doi.org/10.3390/jcm10051006
Trejo-Velasco B, Estevez-Loureiro R, Carrasco-Chinchilla F, Fernández-Vázquez F, Arzamendi D, Pan M, Pascual I, Nombela-Franco L, Amat-Santos IJ, Freixa X, et al. Prognostic Role of TAPSE to PASP Ratio in Patients Undergoing MitraClip Procedure. Journal of Clinical Medicine. 2021; 10(5):1006. https://doi.org/10.3390/jcm10051006
Chicago/Turabian StyleTrejo-Velasco, Blanca, Rodrigo Estevez-Loureiro, Fernando Carrasco-Chinchilla, Felipe Fernández-Vázquez, Dabit Arzamendi, Manuel Pan, Isaac Pascual, Luis Nombela-Franco, Ignacio J. Amat-Santos, Xavier Freixa, and et al. 2021. "Prognostic Role of TAPSE to PASP Ratio in Patients Undergoing MitraClip Procedure" Journal of Clinical Medicine 10, no. 5: 1006. https://doi.org/10.3390/jcm10051006
APA StyleTrejo-Velasco, B., Estevez-Loureiro, R., Carrasco-Chinchilla, F., Fernández-Vázquez, F., Arzamendi, D., Pan, M., Pascual, I., Nombela-Franco, L., Amat-Santos, I. J., Freixa, X., Hernández-Antolín, R. A., Trillo-Nouche, R., Andraka Ikazuriaga, L., López-Mínguez, J. R., Sanmiguel Cervera, D., Sanchis, J., Diez-Gil, J. L., Ruiz-Quevedo, V., Urbano-Carrillo, C., ... Cruz-González, I. (2021). Prognostic Role of TAPSE to PASP Ratio in Patients Undergoing MitraClip Procedure. Journal of Clinical Medicine, 10(5), 1006. https://doi.org/10.3390/jcm10051006

