Fragility Index and Fragility Quotient in Randomized Controlled Trials on Corticosteroids in ARDS Due to COVID-19 and Non-COVID-19 Etiology
Abstract
:1. Background
2. Methods
2.1. Study Search
2.2. Data Extraction and Quality Assessment
2.3. Qualitative Analysis
2.4. Quantitative Analysis
3. Results
3.1. Study Selection
3.2. Meta-Analysis including All the RCTs
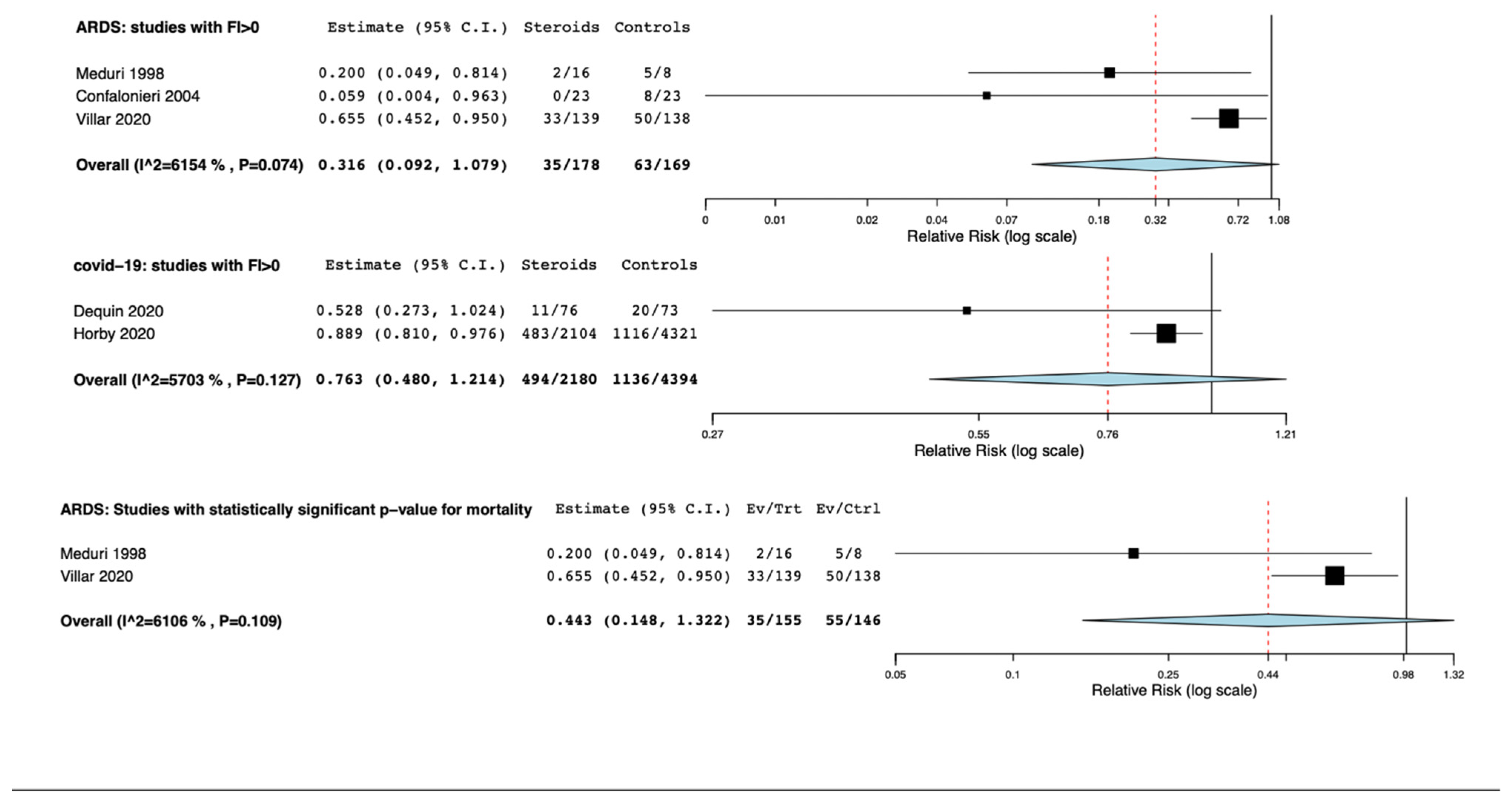
3.3. Fragility Index, Fragility Quotient, p-Value
3.4. Trial Sequential Analysis including All RCTs
3.5. GRADE Approach
4. Discussion
5. Conclusions
Supplementary Materials
Author Contributions
Funding
Conflicts of Interest
Abbreviations
| FI | Fragility index |
| RCT | Randomized controlled trial |
| FQ | Fragility quotient |
| ARDS | Acute respiratory distress syndrome |
| TSA | Trial sequential analysis |
References
- Einav, S.; O’Connor, M. p-values and significance: The null hypothesis that they are not related is correct. J. Crit. Care 2019, 54, 159–162. [Google Scholar] [CrossRef]
- Svantesson, E.; Senorski, E.H.; Danielsson, A.; Sundemo, D.; Westin, O.; Ayeni, O.R.; Samuelsson, K. Strength in numbers? The fragility index of studies from the Scandinavian knee ligament registries. Knee Surgery Sports Traumatol. Arthrosc. 2019, 28, 339–352. [Google Scholar] [CrossRef] [Green Version]
- Wasserstein, R.L.; Lazar, N.A. The ASA Statement on p-Values: Context, Process, and Purpose. Am. Stat. 2016, 70, 129–133. [Google Scholar] [CrossRef] [Green Version]
- Walsh, M.; Srinathan, S.K.; McAuley, D.; Mrkobrada, M.; Levine, O.; Ribic, C.; Molnar, A.O.; Dattani, N.D.; Burke, A.; Guyatt, G.; et al. The statistical significance of randomized controlled trial results is frequently fragile: A case for a Fragility Index. J. Clin. Epidemiology 2014, 67, 622–628. [Google Scholar] [CrossRef] [Green Version]
- Ridgeon, E.E.; Young, P.; Bellomo, R.; Mucchetti, M.; Lembo, R.; Landoni, G. The Fragility Index in Multicenter Randomized Controlled Critical Care Trials. Crit. Care Med. 2016, 44, 1278–1284. [Google Scholar] [CrossRef] [PubMed]
- Vargas, M.; Buonano, P.; Marra, A.; Iacovazzo, C.; Servillo, G. Fragility Index in Multicenter Randomized Controlled Trials in Critical Care Medicine That Have Shown Reduced Mortality. Crit. Care Med. 2020, 48, e250–e251. [Google Scholar] [CrossRef]
- Grolleau, F.; Collins, G.S.; Smarandache, A.; Pirracchio, R.; Gakuba, C.; Boutron, I.; Busse, J.W.; Devereaux, P.J.; Le Manach, Y. The fragility and reliability of conclusions of anesthesia and critical care randomized trials with statistically significant findings: A systematic review. Crit. Care Med. 2019, 47, 456–462. [Google Scholar] [CrossRef]
- Jamilloux, Y.; Henry, T.; Belot, A.; Viel, S.; Fauter, M.; El Jammal, T.; Walzer, T.; François, B.; Sève, P. Should we stimulate or suppress immune responses in COVID-19? Cytokine and anti-cytokine interventions. Autoimmun. Rev. 2020, 19, 102567. [Google Scholar] [CrossRef] [PubMed]
- van Paassen, J.; Vos, J.S.; Hoekstra, E.M.; Neumann, K.M.I.; Boot, P.C.; Arbous, S.M. Corticosteroid use in COVID-19 patients: A systematic review and meta-analysis on clinical outcomes. Crit. Care 2020, 24, 1–22. [Google Scholar] [CrossRef]
- Higgins, J.P.T.; Altman, D.G.; Gøtzsche, P.C.; Jüni, P.; Moher, D.; Oxman, A.D.; Savović, J.; Schulz, K.F.; Weeks, L.; Sterne, J.A.C.; et al. The Cochrane Collaboration’s tool for assessing risk of bias in randomised trials. BMJ 2011, 343, d5928. [Google Scholar] [CrossRef] [Green Version]
- Peters, J.L.; Sutton, A.J.; Jones, D.R.; Abrams, K.; Rushton, L. Comparison of Two Methods to Detect Publication Bias in Meta-analysis. JAMA 2006, 295, 676–680. [Google Scholar] [CrossRef] [PubMed] [Green Version]
- Watterslev, J.; Jakobsen, J.C.; Gluud, C. Trial sequential analysis in systematic reviews with meta-analyisis. BMC Med. Res. Methodol. 2017, 17, 39. [Google Scholar]
- Tignanelli, C.; Napolitano, L.M. The Fragility Index in Randomized Clinical Trials as a Means of Optimizing Patient Care. JAMA Surg. 2019, 154, 74–79. [Google Scholar] [CrossRef] [PubMed]
- The RECOVERY Collaborative Group. Dexamethasone in Hospitalized Patients with Covid-19. N. Engl. J. Med. 2021, 384, 693–704. [Google Scholar] [CrossRef] [PubMed]
- Jeronimo, C.M.P.; Farias, M.E.L.; Val, F.F.A.; Sampaio, V.S.; Alexandre, M.A.A.; Melo, G.C.; Safe, I.P.; Borba, M.G.S.; Netto, R.L.A.; Maciel, A.B.S.; et al. Methylprednisolone as Adjunctive Therapy for Patients Hospitalized With Coronavirus Disease 2019 (COVID-19; Metcovid): A Randomized, Double-blind, Phase IIb, Placebo-controlled Trial. Clin. Infect. Dis. 2021, 72, e373–e381. [Google Scholar] [CrossRef]
- Dequin, P.F.; Heming, N.; Meziani, F.; Plantefève, G.; Voiriot, G.; Badié, J.; François, B.; Aubron, C.; Ricard, J.D.; Ehrmann, S.; et al. Effect of hydrocortisone on 21-day mortality or respiratory support among critically ill patients with COVID-19: A randomized clinical trial. JAMA 2020, 324, 1298–1306. [Google Scholar] [CrossRef] [PubMed]
- Angus, D.C.; Derde, L.; Al-Beidh, F.; Annane, D.; Arabi, Y.; Beane, A.; van Bentum-Puijk, W.; Berry, L.; Bhimani, Z.; Bonten, M.; et al. Effect of hydrocortisone on mortality and organ support in patients with severe COVID-19: The REMAPCAP COVID-19 corticosteroid domain randomized clinical trial. JAMA 2020, 324, 1317–1329. [Google Scholar]
- Tomazini, B.M.; Maia, I.S.; Cavalcanti, A.B.; Berwanger, O.; Rosa, R.G.; Veiga, V.C.; Avezum, A.; Lopes, R.D.; Bueno, F.R.; Silva, M.V.; et al. Effect of Dexamethasone on Days Alive and Ventilator-Free in Patients With Moderate or Severe Acute Respiratory Distress Syndrome and COVID-19: The CoDEX Randomized Clinical Trial. JAMA 2020, 324, 1307–1316. [Google Scholar] [CrossRef]
- Villar, J.; Ferrando, C.; Martínez, D.; Ambrós, A.; Muñoz, T.; Soler, J.A.; Aguilar, G.; Alba, F.; González-Higueras, E.; Conesa, L.A.; et al. Dexamethasone treatment for the acute respiratory distress syndrome: A multicentre, randomised controlled trial. Lancet Respir. Med. 2020, 8, 267–276. [Google Scholar] [CrossRef]
- Tongyoo, S.; Permpikul, C.; Mongkolpun, W.; Vattanavanit, V.; Udompanturak, S.; Kocak, M.; Meduri, G.U. Hydrocortisone treatment in early sepsis-associated acuterespiratory distress syndrome: Results of a randomized controlled trial. Crit. Care 2016, 20, 329. [Google Scholar] [CrossRef] [Green Version]
- Steinberg, K.P.; Hudson, L.D.; Goodman, R.B.; Hough, C.L.; Lanken, P.N.; Hyzy, R.; Thompson, B.T.; Ancukiewicz, M. National Heart, Lung, and Blood Institute Acute Respiratory Distress Syndrome (ARDS) Clinical Trials Network Efficacy and Safety of Corticosteroids for Persistent Acute Respiratory Distress Syndrome. N. Engl. J. Med. 2006, 354, 1671–1684. [Google Scholar] [PubMed]
- Meduri, G.U.; Golden, E.; Freire, A.X.; Taylor, E.; Zaman, M.; Carson, S.J.; Gibson, M.; Umberger, R. Methylprednisolone infusion in early severe ARDS: Results of a randomized controlled trial. Chest 2007, 131, 954–963. [Google Scholar] [CrossRef] [Green Version]
- Meduri, U.G.; Headley, S.A.; Golden, E.; Carson, S.J.; Umberger, R.A.; Kelso, T.; Tolley, E.A. Effect of Prolonged Methylprednisolone Therapy in Unresolving Acute Respiratory Distress Syndrome: A Randomized Controlled Trial. Surv. Anesthesiol. 1999, 43, 135–136. [Google Scholar] [CrossRef]
- Confalonieri, M.; Urbino, R.; Potena, A.; Piattella, M.; Parigi, P.; Puccio, G.; Della Porta, R.; Giorgio, C.; Blasi, F.; Umberger, R.; et al. Hydrocortisone infusion for severe community-acquired pneumonia: A preliminary randomized study. Am. J. Respir. Crit. Care Med. 2005, 171, 242–248. [Google Scholar] [CrossRef] [PubMed] [Green Version]
- Annane, D.; Sébille, V.; Bellissant, E. Effect of low doses of corticosteroids in septic shock patients with or without early acute respiratory distress syndrome. Crit. Care Med. 2006, 34, 22–30. [Google Scholar] [CrossRef] [Green Version]
- Bernard, G.R.; Luce, J.M.; Sprung, C.L.; Rinaldo, J.E.; Tate, R.M.; Sibbald, W.J.; Kariman, K.; Higgins, S.; Bradley, R.; Metz, C.A.; et al. High-Dose Corticosteroids in Patients with the Adult Respiratory Distress Syndrome. N. Engl. J. Med. 1987, 317, 1565–1570. [Google Scholar] [CrossRef]
- Chaudhuri, D.; Sasaki, K.; Karkar, A.; Sharif, S.; Lewis, K.; Mammen, M.J.; Alexander, P.; Ye, Z.; Lozano, L.E.C.; Munch, M.W.; et al. Corticosteroids in COVID-19 and non-COVID-19 ARDS: A systematic review and meta-analysis. Intensiv. Care Med. 2021, 47, 521–537. [Google Scholar] [CrossRef]
- Lamontagne, F.; Agoritsas, T.; Macdonald, H.; Leo, Y.S.; Diaz, J.; Agarwal, A.; Appiah, J.A.; Arabi, Y.; Blumberg, L.; Calfee, C.S.; et al. A living WHO guideline on drugs for covid-19. BMJ 2020, 370, m3379. [Google Scholar]
- Vargas, M.; Sutherasan, Y.; Gregoretti, C.; Pelosi, P. PEEP Role in ICU and Operating Room: From Pathophysiology to Clinical Practice. Sci. World J. 2014, 2014, 1–8. [Google Scholar] [CrossRef]
- Condon, T.M.; Sexton, R.W.; Wells, A.J.; To, M.S. The weakness of fragility index exposed in an analysis of the traumatic brain injury management guidelines: A meta-epidemiological and simulation study. PLoS One 2020, 15, e0237879. [Google Scholar] [CrossRef]
- Gaudino, M.; Hameed, I.; Biondi-Zoccai, G.; Tam, D.Y.; Gerry, S.; Rahouma, M.; Khan, F.M.; Angiolillo, D.J.; Benedetto, U.; Taggart, D.P.; et al. Systematic Evaluation of the Robustness of the Evidence Supporting Current Guidelines on Myocardial Revascularization Using the Fragility Index. Circ. Cardiovasc. Qual. Outcomes 2019, 12, e006017. [Google Scholar] [CrossRef]
- Vargas, M.; Servillo, G. The End of Corticosteroid in Sepsis: Fragile Results From Fragile Trials. Crit. Care Med. 2018, 46, e1228. [Google Scholar] [CrossRef] [PubMed]
- Sackett, D.L.; Rosenberg, W.; Gray, J.A.M.; Haynes, R.B.; Richardson, W.S. Evidence based medicine: What it is and what it isn’t. 1996. Clin. Orthop. Relat. Res. 2007, 455, 3–5. [Google Scholar] [PubMed]
- Guyatt, G.H.; Sackett, D.L.; Sinclair, J.C.; Hayward, R.; Cook, D.J.; Cook, R.J. Users’ guides to the medical literature. IX. A method for grading health care recommendations. Evidence-Based Medicine Working Group. JAMA 1995, 274, 1800–1804. [Google Scholar] [CrossRef] [PubMed]
- Vargas, M.; Buonanno, P.; Iacovazzo, C.; Servillo, G. WITHDRAWN: Epinephrine for out of hospital cardiac arrest: A systematic review and meta-analysis of randomized controlled trials. Resuscitation 2019, 136, 54–60. [Google Scholar] [CrossRef]






Publisher’s Note: MDPI stays neutral with regard to jurisdictional claims in published maps and institutional affiliations. |
© 2021 by the authors. Licensee MDPI, Basel, Switzerland. This article is an open access article distributed under the terms and conditions of the Creative Commons Attribution (CC BY) license (https://creativecommons.org/licenses/by/4.0/).
Share and Cite
Vargas, M.; Marra, A.; Buonanno, P.; Coviello, A.; Iacovazzo, C.; Servillo, G. Fragility Index and Fragility Quotient in Randomized Controlled Trials on Corticosteroids in ARDS Due to COVID-19 and Non-COVID-19 Etiology. J. Clin. Med. 2021, 10, 5287. https://doi.org/10.3390/jcm10225287
Vargas M, Marra A, Buonanno P, Coviello A, Iacovazzo C, Servillo G. Fragility Index and Fragility Quotient in Randomized Controlled Trials on Corticosteroids in ARDS Due to COVID-19 and Non-COVID-19 Etiology. Journal of Clinical Medicine. 2021; 10(22):5287. https://doi.org/10.3390/jcm10225287
Chicago/Turabian StyleVargas, Maria, Annachiara Marra, Pasquale Buonanno, Antonio Coviello, Carmine Iacovazzo, and Giuseppe Servillo. 2021. "Fragility Index and Fragility Quotient in Randomized Controlled Trials on Corticosteroids in ARDS Due to COVID-19 and Non-COVID-19 Etiology" Journal of Clinical Medicine 10, no. 22: 5287. https://doi.org/10.3390/jcm10225287
APA StyleVargas, M., Marra, A., Buonanno, P., Coviello, A., Iacovazzo, C., & Servillo, G. (2021). Fragility Index and Fragility Quotient in Randomized Controlled Trials on Corticosteroids in ARDS Due to COVID-19 and Non-COVID-19 Etiology. Journal of Clinical Medicine, 10(22), 5287. https://doi.org/10.3390/jcm10225287

