Patients with Non-Obstructive Coronary Artery Disease Require Strict Control of All Cardiovascular Risk Factors: Results from the Polish Local Population Medical Records
Abstract
1. Introduction
2. Materials and Methods
2.1. Study Population
- -
- history of coronary artery bypass graft (CABG) or qualification for this procedure during the observation period;
- -
- significant stenosis of the left main coronary artery;
- -
- coexisting heart defects;
- -
- concomitant severe NYHA III/IV heart failure.
2.2. Laboratory Assessments
2.3. Statistical Analysis
3. Results
3.1. Characteristics of the Studied Groups and Differences between the CAD Group and the CG
3.2. Characteristics of Patients without Previous Cardiovascular Intervention vs. Patients with History of PTCA and MI
3.3. Multivariate Regression Results
3.4. Analysis of Baseline Coronary Angiography (Second Invasive Procedure)
3.5. Analysis of the Initial Electrocardiography Record (Second Invasive Procedure)
3.6. Analysis of Data from Initial Echocardiography (Second Invasive Procedure)
3.7. Assessment of Total Mortality
4. Discussion
Limitations of the Study
5. Conclusions
Author Contributions
Funding
Institutional Review Board Statement
Informed Consent Statement
Data Availability Statement
Conflicts of Interest
References
- Knuuti, J.; Wijns, W.; Saraste, A.; Capodanno, D.; Barbato, E.; Funck-Brentano, C.; Prescott, E.; Storey, R.F.; Deaton, C.; Cuisset, T.; et al. ESC Scientific Document Group, 2019 ESC Guidelines for the diagnosis and management of chronic coronary syndromes: The Task Force for the diagnosis and management of chronic coronary syndromes of the European Society of Cardiology (ESC). Eur. Heart J. 2020, 14, 407–477. [Google Scholar] [CrossRef] [PubMed]
- Hiczkiewicz, J.; Burchardt, P.; Pieszko, K.; Budzianowski, J.; Hiczkiewicz, D.; Musielak, B.; Winnicka-Zielińska, A.; Adamczak, D.; Faron, W.; Rzeźniczak, J. The risk for subsequent coronary interventions in a local Polish population. Adv. Interv. Cardiol. 2020, 16, 429–435. [Google Scholar]
- Ford, T.J.; Berry, C. How to Diagnose and Manage Angina Without Obstructive Coronary Artery Disease: Lessons from the British Heart Foundation CorMicA Trial. Interv. Cardiol. 2019, 14, 76–82. [Google Scholar] [CrossRef] [PubMed]
- Cook, S.; Walker, A.; Hugli, O.; Togni, M.; Meier, B. Percutaneous coronary interventions in Europe. Clin. Res. Cardiol. 2007, 96, 375–382. [Google Scholar] [CrossRef] [PubMed]
- Patel, M.R.; Peterson, E.D.; Dai, D.; Brennan, J.M.; Redberg, R.F.; Anderson, H.V.; Brindis, R.G.; Douglas, P.S. Low diagnostic yield of elective coronary angiography. N. Engl. J. Med. 2010, 362, 886–895. [Google Scholar] [CrossRef] [PubMed]
- Ford, T.J.; Corcoran, D.; Sidik, N.; Rocchiccioli, P.; McEntegart, M.; Berry, C. MINOCA: Requirement for definitive diagnostic work-up. Heart Lung Circ. 2019, 28, e4–e6. [Google Scholar] [CrossRef] [PubMed]
- Stone, G.W.; Hochman, J.S.; Williams, D.O.; Boden, W.E.; Ferguson, T.B.; Harrington, R.A.; Maron, D.J. Medical Therapy With Versus Without Revascularization in Stable Patients With Moderate and Severe Ischemia. J. Am. Coll. Cardiol. 2016, 67, 81–99. [Google Scholar] [CrossRef] [PubMed]
- Rajkumar, C.A.; Nijjer, S.S.; Cole, G.D.; Al-Lamee, R.; Francis, D.P. “Faith Healing” and “Subtraction Anxiety” in Unblinded Trials of Procedures. Circ. Cardiovasc. Qual. Outcomes 2018, 11, e004665. [Google Scholar] [CrossRef] [PubMed]
- Stone, G.W.; Maehara, A.; Lansky, A.J.; De Bruyne, B.; Cristea, E.; Mintz, G.S.; Mehran, R.; McPherson, J.; Farhat, N.; Marso, S.P.; et al. A prospective natural-history study of coronary atherosclerosis. N. Engl. J. Med. 2011, 364, 226–235. [Google Scholar] [CrossRef] [PubMed]
- Ahmadi, A.; Leipsic, J.; Blankstein, R.; Taylor, C.; Hecht, H.; Stone, G.W.; Narula, J. Do plaques rapidly progress prior to myocardial infarction? The interplay between plaque vulnerability and progression. Circ. Res. 2015, 117, 99–104. [Google Scholar] [CrossRef]
- Fernández-Friera, L.; Fuster, V.; López-Melgar, B.; Oliva, B.; García-Ruiz, J.M.; Mendiguren, J.; Bueno, H.; Pocock, S.; Ibanez, B.; Fernández-Ortiz, A.; et al. Normal LDL-Cholesterol Levels Are Associated With Subclinical Atherosclerosis in the Absence of Risk Factors. J. Am. Coll. Cardiol. 2017, 70, 2979–2991. [Google Scholar] [CrossRef] [PubMed]
- Nambi, V.; Bhatt, D.L. Primary Prevention of Atherosclerosis: Time to Take a Selfie? J. Am. Coll. Cardiol. 2017, 70, 2992–2994. [Google Scholar] [CrossRef]
- Gerber, Y.; Weston, S.A.; Enriquez-Sarano, M.; Manemann, S.M.; Chamberlain, A.M.; Jiang, R.; Roger, V.L. Atherosclerotic Burden and Heart Failure After Myocardial Infarction. JAMA Cardiol. 2016, 1, 156–162. [Google Scholar] [CrossRef]
- Maddox, T.M.; Ho, P.M.; Roe, M.; Dai, D.; Tsai, T.T.; Rumsfeld, J.S. Utilization of secondary prevention therapies in patients with nonobstructive coronary artery disease identified during cardiac catheterization: Insights from the National Cardiovascular Data Registry Cath-PCI Registry. Circ. Cardiovasc. Qual. Outcomes 2010, 3, 632–641. [Google Scholar] [CrossRef]
- Dwyer, J.P.; Redfern, J.; Freedman, S.B. Low utilisation of cardiovascular risk reducing therapy in patients with acute coronary syndromes and non-obstructive coronary artery disease. Int. J. Cardiol. 2008, 129, 394–398. [Google Scholar] [CrossRef] [PubMed]
- Libby, P.; Theroux, P. Pathophysiology of coronary artery disease. Circulation 2005, 111, 3481–3488. [Google Scholar] [CrossRef] [PubMed]
- Little, W.C.; Constantinescu, M.; Applegate, R.J.; Kutcher, M.A.; Burrows, M.T.; Kahl, F.R.; Santamore, W.P. Can coronary angiography predict the site of a subsequent myocardial infarction in patients with mild-to-moderate coronary artery disease? Circulation 1988, 78, 1157–1166. [Google Scholar] [CrossRef] [PubMed]
- Maddox, T.M.; Stanislawski, M.A.; Grunwald, G.K.; Bradley, S.M.; Ho, P.M.; Tsai, T.T.; Rumsfeld, J.S. Nonobstructive coronary artery disease and risk of myocardial infarction. JAMA 2014, 312, 1754–1763. [Google Scholar] [CrossRef] [PubMed]
- Kotseva, K.; De Backer, G.; De Bacquer, D.; Rydén, L.; Hoes, A.; Grobbee, D.; Maggioni, A.; Marques-Vidal, P.; Jennings, C.; Abreu, A.; et al. EUROASPIRE Investigators*. Lifestyle and impact on cardiovascular risk factor control in coronary patients across 27 countries: Results from the European Society of Cardiology ESC-EORP EUROASPIRE V registry. Eur. J. Prev. Cardiol. 2019, 26, 824–835. [Google Scholar] [CrossRef] [PubMed]



| Parameter | Coronary Artery Disease Group n = 2445 | Control Group n = 640 | p-Value |
|---|---|---|---|
| Age [years] | 64.8 ± 9.8 | 66.6 ± 8.9 | p = 0.0005 |
| Male sex [%] | 68 | 61.7 | p = 0.0081 |
| Hypertension (AH) [%] | 92.7 | 82 | p = 0.0000 |
| Diabetes (DM) [%] | 24 | 21 | p = 0.1639 |
| Heart failure by NYHA I/II [%] | 10 | 15 | p = 0.0013 |
| Chronic kidney disease (CKD) [%] | 3 | 15 | p < 0.0001 |
| Chronic obstructive pulmonary disease (COPD) [%] | 4 | 12 | p < 0.0001 |
| Claudication | 6 | 12.8 | p < 0.0001 |
| Dyslipidaemia [%] | 26 | 40 | p < 0.0001 |
| Stroke [%] | 4.7 | 2.3 | p = 0.0214 |
| Smoking [%] | 11.6 | 15 | p = 0.0081 |
| Parameter | OR | 95% CI |
|---|---|---|
| Age during procedure | 1.02 | [1.01; 1.03] |
| Male sex | 0.73 | [0.59; 0.89] |
| Hypertension | 0.36 | [0.27; 0.48] |
| Insulin-dependent DM | 0.17 | [0.09; 0.31] |
| CKD | 2.83 | [2.1; 3.81] |
| COPD | 2.3 | [1.67; 3.18] |
| Intermittent claudication | 1.49 | [1.09; 2.01 ] |
| Ischemic stoke | 0.48 | [0.25; 0.92] |
| Sinus rhythm | 0.45 | [0.34; 0.59] |
| AF | 3.02 | [2.25; 4.07] |
| Lack of R progression in ECG | 4.37 | [3.43; 5.57] |
| Group | A | B | C | p-Value | |
|---|---|---|---|---|---|
| Parameter | |||||
| Age [years] | 64.8 ± 9.8 a,b | 65.8 ±.9.8 b | 64.4 ± 9.8 a | p = 0.0464 | |
| Male sex % | 65 a | 70.5 b | 76.1 b | p < 0.0001 | |
| Stroke % | 4.7 | 3.2 | 5.2 | p = 0.1812 | |
| TC [mg/dL] | 193.7 ± 44.4 b | 173.6 ± 49.4 a,b | 178.2 ± 43.7 a | p = 0.0015 | |
| LDL [mg/dL] | 123.4 ± 36.2 b | 110.3 ± 38.8 a,b | 117.7 ± 36.2 a | p = 0.0023 | |
| HDL [mg/dL] | 44.1 ± 14.1 | 44.3± 11.2 | 45.2 ± 14.1 | p = 0.6810 | |
| TG [mg/dL] | 146.1 ± 95.6 | 142.3 ± 75.0 | 131.5 ±95.7 | p = 0.2200 | |
| Creatinine | 1.03 ± 0.44 | 1.13 ± 0.78 | 1.07 ± 0.5 | p = 0.180 | |
| EF% | 45.8 ± 12.3 b | 44.9 ± 12.2 a,b | 42.1 ± 12.6 a | p = 0.0413 | |
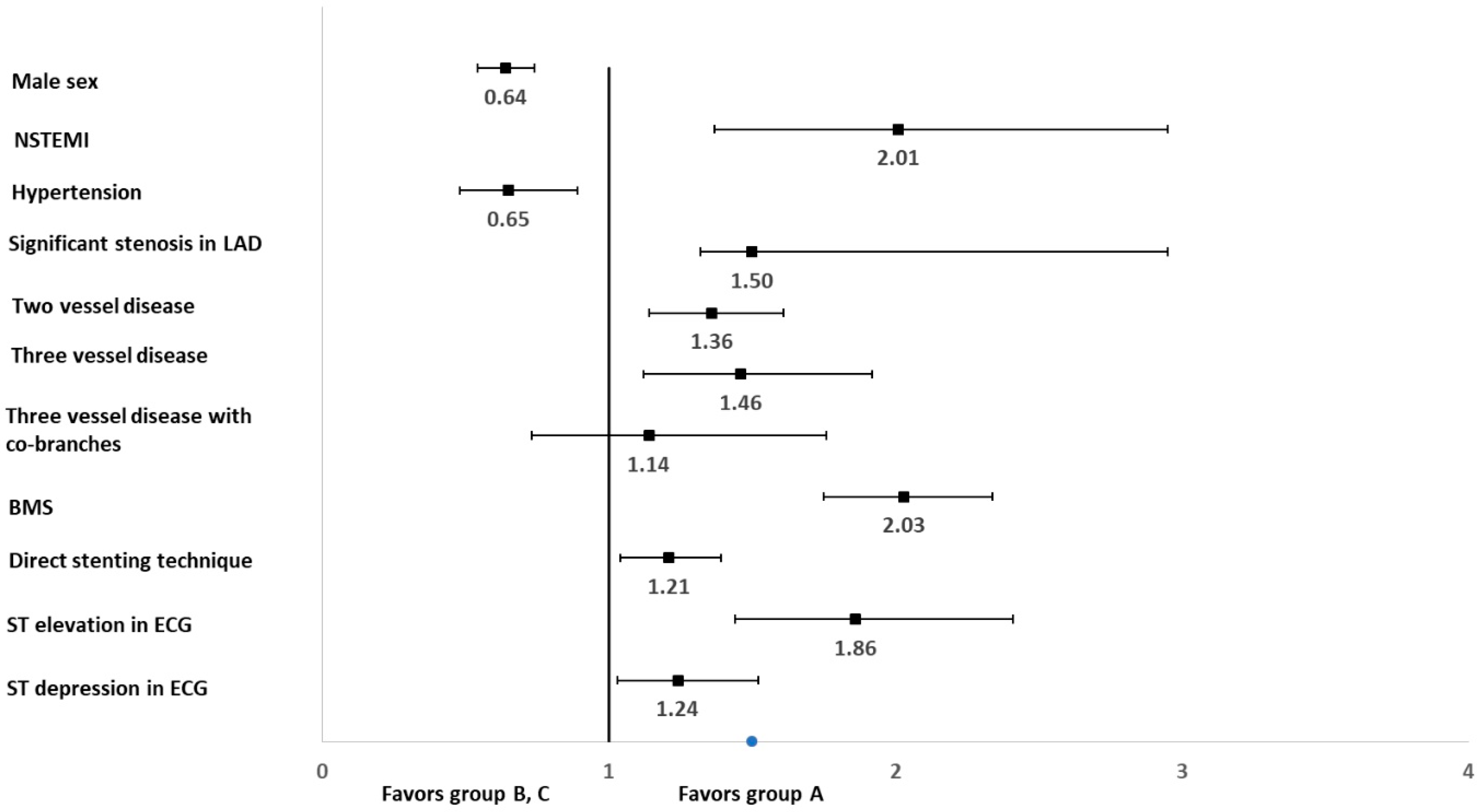
| Parameter | OR | 95% CI |
|---|---|---|
| Number of procedures (3 and more) | 1.32 | [1.13; 1.54] |
| Restenosis | 0.26 | [0.18; 0.37] |
| Male sex | 0.65 | [0.56; 0.76] |
| NSTEMI | 2.76 | [1.91; 3.99] |
| AH | 0.51 | [0.38; 0.67] |
| DM | 0.79 | [0.64; 0.97] |
| Smoking habit | 1.36 | [1.01; 1.82] |
| Occlusion in LAD | 0.73 | [1.51; 1.98] |
| Occlusion in D | 1.66 | [1.31; 2.12] |
| Occlusion in RCA | 1.39 | [1.21; 1.59] |
| Number of critically narrowed arteries | ||
| 1 | 1 | - |
| 2 | 1.6 | [1.36; 1.88] |
| 3 | 2.04 | [1.59; 2.61] |
| Thrombectomy | 7.56 | [3.92; 14.57] |
| BMS | 2.15 | [1.88; 2.48] |
| POBA | 0.39 | [0.29; 0.52] |
| Direct stenting | 1.16 | [1.02; 1.34] |
| Sinus rhythm | 0.72 | [0.55; 0.93] |
| AF | 1.47 | [1.09; 1.99] |
| ST elevation | 2.35 | [1.85; 2.99] |
| ST depression | 1.46 | [1.22; 1.76] |
| Negative T wave | 0.83 | [0.71; 0.97] |
| Absence of R progression | 0.73 | [0.57; 0.94] |
| Troponin > upper limit of normal (ULN) | 1.75 | [1.37; 2.24] |
| Troponin 3x > ULN | 1.73 | [1.34; 2.22] |
| Troponin 5x > ULN | 1.63 | [1.26; 2.09] |
| TC | 1.008 | [1.003; 1.013] |
| LDL | 1.009 | [1.003; 1.015] |
| EF | 1.02 | [1.01; 1.04] |
Publisher’s Note: MDPI stays neutral with regard to jurisdictional claims in published maps and institutional affiliations. |
© 2021 by the authors. Licensee MDPI, Basel, Switzerland. This article is an open access article distributed under the terms and conditions of the Creative Commons Attribution (CC BY) license (https://creativecommons.org/licenses/by/4.0/).
Share and Cite
Hiczkiewicz, J.; Burchardt, P.; Budzianowski, J.; Pieszko, K.; Hiczkiewicz, D.; Musielak, B.; Winnicka-Zielińska, A.; Keller, D.M.; Faron, W.; Rzeźniczak, J. Patients with Non-Obstructive Coronary Artery Disease Require Strict Control of All Cardiovascular Risk Factors: Results from the Polish Local Population Medical Records. J. Clin. Med. 2021, 10, 2704. https://doi.org/10.3390/jcm10122704
Hiczkiewicz J, Burchardt P, Budzianowski J, Pieszko K, Hiczkiewicz D, Musielak B, Winnicka-Zielińska A, Keller DM, Faron W, Rzeźniczak J. Patients with Non-Obstructive Coronary Artery Disease Require Strict Control of All Cardiovascular Risk Factors: Results from the Polish Local Population Medical Records. Journal of Clinical Medicine. 2021; 10(12):2704. https://doi.org/10.3390/jcm10122704
Chicago/Turabian StyleHiczkiewicz, Jarosław, Paweł Burchardt, Jan Budzianowski, Konrad Pieszko, Dariusz Hiczkiewicz, Bogdan Musielak, Anna Winnicka-Zielińska, Daria M. Keller, Wojciech Faron, and Janusz Rzeźniczak. 2021. "Patients with Non-Obstructive Coronary Artery Disease Require Strict Control of All Cardiovascular Risk Factors: Results from the Polish Local Population Medical Records" Journal of Clinical Medicine 10, no. 12: 2704. https://doi.org/10.3390/jcm10122704
APA StyleHiczkiewicz, J., Burchardt, P., Budzianowski, J., Pieszko, K., Hiczkiewicz, D., Musielak, B., Winnicka-Zielińska, A., Keller, D. M., Faron, W., & Rzeźniczak, J. (2021). Patients with Non-Obstructive Coronary Artery Disease Require Strict Control of All Cardiovascular Risk Factors: Results from the Polish Local Population Medical Records. Journal of Clinical Medicine, 10(12), 2704. https://doi.org/10.3390/jcm10122704
