Research on the Performance and Computational Fluid Dynamics Numerical Simulation of Plate Air Gap Membrane Distillation Module
Abstract
1. Introduction
2. Theoretical Model
2.1. Heat Transfer Mechanism
2.2. Mass Transfer Mechanism
2.3. Polarization Coefficient
3. Experimental Process
4. Numerical Simulation
4.1. CFD Model Governing Equations
4.2. UDFs
4.3. Boundary Conditions
5. Results and Discussion
5.1. Cell Independence Test
5.2. Verification of the CFD Model
5.2.1. Mass Flux at Different Feed Temperatures
5.2.2. Outlet Temperature at Different Feed Flow Rates
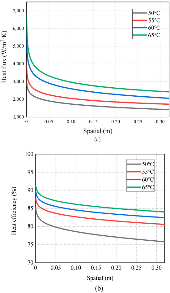
5.3. Simulation of Heat Transfer Process in AGMD
5.4. Simulation of AGMD Mass Transfer Process
6. Response Surface Methodology Analysis
6.1. Response Surface Methodology
6.2. The Influence of the Interaction of Various Factors on Mass Flux
7. Conclusions
Supplementary Materials
Author Contributions
Funding
Institutional Review Board Statement
Data Availability Statement
Conflicts of Interest
References
- Ghaffour, N.; Li, J.D.; Gray, S.; Francis, L.; Maab, H.; Amy, G.L. Modeling of air-gap membrane distillation process: A theoretical and experimental study. J. Membr. Sci. 2013, 445, 53–65. [Google Scholar] [CrossRef]
- Summers, E.K.; John, H.L.V. Experimental study of thermal performance in air gap membrane distillation systems, including the direct solar heating of membranes. Desalination 2013, 330, 100–111. [Google Scholar] [CrossRef]
- Kumar, R.; Ahmed, M.; Bhadrachari, G.; Al-Missri, A.; Thomas, J.P. The effect of chemistry of nanoparticle modifier groups on the PVDF membranes for membrane distillation. Chem. Eng. Res. Des. 2020, 164, 1–10. [Google Scholar] [CrossRef]
- Zare, S.; Kargari, A. CFD simulation and optimization of an energy-efficient direct contact membrane distillation (DCMD) desalination system. Chem. Eng. Res. Des. 2022, 188, 655–667. [Google Scholar] [CrossRef]
- Ding, Z.; Ma, R.; Fane, A.G. A new model for mass transfer in direct contact membrane distillation. Desalination 2003, 151, 217–227. [Google Scholar] [CrossRef]
- Phattaranawik, J.; Jiraratananon, R. Direct contact membrane distillation: Effect of mass transfer on heat transfer. J. Membr. Sci. 2001, 188, 137–143. [Google Scholar] [CrossRef]
- Khayet, M. Membranes and theoretical modeling of membrane distillation: A review. Adv. Colloid Interface Sci. 2011, 164, 56–88. [Google Scholar] [CrossRef] [PubMed]
- Cheng, L.H.; Wu, P.C.; Chen, J. Numerical Simulation and Optimal Design of AGMD-Based Hollow Fiber Modules for Desalination. Ind. Eng. Chem. Res. 2009, 48, 4948–4959. [Google Scholar] [CrossRef]
- Gopi, G.; Vasanthkumar, M.; Arthanareeswaran, G.; Ismail, A.F.; Thuyavan, Y.L.; Goh, P.S.; Matsuura, T. Performance, energy and economic investigation of airgap membrane distillation system: An experimental and numerical investigation. Desalination 2023, 551, 116400. [Google Scholar] [CrossRef]
- Martin, K.A. Membrane distillation and applications for water purification in thermal cogeneration plants. Sep. Purif. Technol. 2011, 76, 231–237. [Google Scholar] [CrossRef]
- Makanjuola, O.; Lalia, B.; Janajreh, I.; Hashaikeh, R. Numerical and experimental investigation of thermoelectric materials in direct contact membrane distillation. Energy Convers. Manag. 2022, 267, 115880. [Google Scholar] [CrossRef]
- Janajreh, I.; Kadi, K.E.; Hashaikeh, R.; Ahmed, R. Numerical investigation of air gap membrane distillation (AGMD): Seeking optimal performance. Desalination 2017, 424, 122–130. [Google Scholar] [CrossRef]
- Tan, Y.Z.; Ang, E.H.; Chew, J.W. Metallic Spacers to Enhance Membrane Distillation. J. Membr. Sci. 2018, 572, 171–183. [Google Scholar] [CrossRef]
- Ali, K.; Arafat, H.A.; Hassan Ali, M.I. Detailed numerical analysis of air gap membrane distillation performance using different membrane materials and porosity. Desalination 2023, 551, 116436. [Google Scholar] [CrossRef]
- Karbasi, E.; Karimi-Sabet, J.; Mohammadi-Rovshandeh, J.; Ali Moosavian, M.; Ahadi, H.; Amini, Y. Experimental and numerical study of air-gap membrane distillation (AGMD): Novel AGMD module for Oxygen-18 stable isotope enrichment. Chem. Eng. J. 2017, 322, 667–678. [Google Scholar] [CrossRef]
- Darman, M.; Niknafs, N.; Jalali, A. Effect of wavy corrugations on the performance enhancement of direct contact membrane distillation modules: A numerical study. Chem. Eng. Process. 2023, 190, 109421. [Google Scholar] [CrossRef]
- Cipollina, A.; Miceli, A.D.; Koschikowski, J.; Micale, G.; Rizzuti, L. CFD simulation of a membrane distillation module channel. Desalination Water Treat. 2009, 6, 177–183. [Google Scholar] [CrossRef]
- Choi, S.H.; Tasselli, F.; Jansen, J.C.; Barbieri, G.; Drioli, E. Effect of the preparation conditions on the formation of asymmetric poly(vinylidene fluoride) hollow fibre membranes with a dense skin. Eur. Polym. J. 2010, 46, 1713–1725. [Google Scholar] [CrossRef]
- Imdakm, A.O.; Matsuura, T. A Monte Carlo simulation model for membrane distillation processes: Direct contact (MD). J. Membr. Sci. 2004, 237, 51–59. [Google Scholar] [CrossRef]
- Zhang, J.; Li, J.D.; Duke, M.; Xie, Z.; Gray, S. Performance of asymmetric hollow fibre membranes in membrane distillation under various configurations and vacuum enhancement. J. Membr. Sci. 2010, 362, 517–528. [Google Scholar] [CrossRef]
- Matsuura, T.; Khayet, M. Membrane Distillation Principles and Applications; Elsevier: Amsterdam, The Netherlands, 2011. [Google Scholar]
- Ibrahim, S.S.; Alsalhy, Q.F. Modeling and simulation for direct contact membrane distillation in hollow fiber modules. AIChE J. 2013, 59, 589–603. [Google Scholar] [CrossRef]
- De Záarate, J.M.O.; Velázquez, A.; Peña, L.; Mengual, J.I. Influence of Temperature Polarization on Separation by Membrane Distillation. Sep. Sci. Technol. 1993, 28, 1421–1436. [Google Scholar] [CrossRef]
- Lawson, K.W.; Lloyd, D.R. Membrane distillation. II. Direct contact MD. J. Membr. Sci. 2015, 120, 123–133. [Google Scholar] [CrossRef]
- Versteeg, H.K.; Malalasekera, W. An Introduction to Computational Fluid Dynamics; Pearson Education Limited: Harlow, UK, 1995. [Google Scholar]
- Alkhudhiri, A.; Darwish, N.; Hilal, N. Membrane distillation: A comprehensive review. Desalination 2012, 287, 2–18. [Google Scholar] [CrossRef]
- El-Bourawi, M.S.; Ding, Z.; Ma, R.; Khayet, M. A framework for better understanding membrane distillation separation process. J. Membr. Sci. 2006, 285, 4–29. [Google Scholar] [CrossRef]
- Lawson, K.W.; Lloyd, D.R. Membrane distillation: Review. J. Membr. Sci. 1997, 124, 1–25. [Google Scholar] [CrossRef]
- Yu, H.; Yang, X.; Wang, R.; Fane, A.G. Numerical simulation of heat and mass transfer in direct membrane distillation in a hollow fiber module with laminar flow. J. Membr. Sci. 2011, 384, 107–116. [Google Scholar] [CrossRef]
- Janajreh, I.; Hussain, M.N.; Hashaikeh, R.; Rizwan, A. Thermal efficiency enhancement of the direct contact membrane distillation: Conductive layer integration and geometrical undulation. Appl. Energy 2018, 227, 7–17. [Google Scholar] [CrossRef]
- Phattaranawik, J.; Jiraratananon, R.; Fane, A.G. Heat transport and membrane distillation coefficients in direct contact membrane distillation. J. Membr. Sci. 2003, 212, 177–193. [Google Scholar] [CrossRef]
- Anqi, A.E.; Usta, M.; Krysko, R.; Lee, J.-G.; Ghaffour, N.; Oztekin, A. Numerical study of desalination by vacuum membrane distillation—Transient three-dimensional analysis. J. Membr. Sci. 2020, 596, 117609. [Google Scholar] [CrossRef]
- Omar, A.; Li, Q.; Nashed, A.; Guan, J.; Dai, P.; Taylor, R.A. Experimental and numerical investigation of a new hollow fiber-based multi-effect vacuum membrane distillation design. Desalination 2021, 501, 114908. [Google Scholar] [CrossRef]
- Ullah, S.Z.; Muhammad, A.; Sohaib, Q.; Younas, M.; Yuan, Z.-H.; Rezakazemi, M. CFD simulation of osmotic membrane distillation using hollow fiber membrane contactor: Operating conditions and concentration polarization effects. Chem. Eng. Res. Des. 2023, 197, 984–996. [Google Scholar] [CrossRef]
- Chen, T.C.; Ho, C.D.; Yeh, H.M. Theoretical modeling and experimental analysis of direct contact membrane distillation. J. Membr. Sci. 2009, 330, 279–287. [Google Scholar] [CrossRef]
- Fatriasari, W.; Ulwan, W.; Aminingsih, T.; Sari, F.P.; Fitria; Suryanegara, L.; Iswanto, A.H.; Ghozali, M.; Kholida, L.N.; Hussin, M.H. Optimization of maleic acid pretreatment of oil palm empty fruit bunches (OPEFB) using response surface methodology to produce reducing sugars. Ind. Crops Prod. 2021, 171, 113971. [Google Scholar] [CrossRef]
- Dehban, A.; Kargari, A.; Ashtiani, F.Z. Preparation and optimization of antifouling PPSU/PES/SiO2 nanocomposite ultrafiltration membranes by VIPS-NIPS technique. J. Ind. Eng. Chem. 2020, 88, 292–311. [Google Scholar] [CrossRef]
- Khayet, M.; Cojocaru, C.; Zakrzewska-Trznadel, G. Response surface modelling and optimization in pervaporation. J. Membr. Sci. 2008, 321, 272–283. [Google Scholar] [CrossRef]
- Abdelkader, S.; Boubakri, A.; Geissen, S.U.; Bousselmi, L. Direct contact membrane distillation applied to saline wastewater: Parameter optimization. Water Sci. Technol. 2018, 77, 2823–2833. [Google Scholar] [CrossRef] [PubMed]
- Ali, E.; Orfi, J.; Najib, A.; Hamdaoui, O. Understanding the dynamic behavior and the effect of feeding policies of a direct contact membrane distillation for water desalination. Chem. Eng. Commun. 2020, 208, 1737–1756. [Google Scholar] [CrossRef]



















| Membrane | Properties |
|---|---|
| Material | PTFE-PVDF (Polytetrafluoroethylene-polyvinylidene difluoride) |
| Pore | 2.2 μm |
| Zigzag factor | 1.556 (calculated by Equation (15)) |
| Porosity | 0.85 |
| Total thickness | 160 μm |
| Feed | Air Gap | Coolant | ||||
|---|---|---|---|---|---|---|
| Thermal | Velocity | Thermal | Velocity | Thermal | Velocity | |
| Inlet | Th = 50 °C, 55 °C, 60 °C, 65 °C, 70 °C | v = 0.068 m/s | Normal | Tp = 7 °C | v = 0.068 m/s | |
| Outlet | P = 0, dv/dx = 0 | P= 0, dv/dx = 0 | P = 0, dv/dx = 0 | |||
| Top wall | Heat flux = 0 | Stationary | UDF imported | Stationary | Coupled | Stationary |
| Lower wall | UDF imported | Stationary | Coupled | Stationary | Heat flux = 0 | Stationary |
| Material | Specific Heat | Conductivity | Density |
|---|---|---|---|
| (J/kg·K) | (W/m·K) | (kg/m3) | |
| Membrane | 960 | 0.25 | 2100 |
| Brine a | 4153 | 0.64 | 1017 |
| Cold plate (aluminum) | 871 | 202.4 | 2719 |
| Air | 1006.43 | 0.0242 | 1.225 |
| Water | 4182 | 0.6 | 998.2 |
| Cell Number | Mass Flux | Error (%) | Feed Out Temperature | Error (%) |
|---|---|---|---|---|
| 43,016 | 7.63 | 3.1 | 55.01 | 0.43 |
| 93,049 | 7.73 | 1.7 | 55.13 | 0.21 |
| 185,107 | 7.87 | - | 55.25 | - |
| 987,315 | 7.90 | 0.38 | 55.27 | 0.03 |
Disclaimer/Publisher’s Note: The statements, opinions and data contained in all publications are solely those of the individual author(s) and contributor(s) and not of MDPI and/or the editor(s). MDPI and/or the editor(s) disclaim responsibility for any injury to people or property resulting from any ideas, methods, instructions or products referred to in the content. |
© 2024 by the authors. Licensee MDPI, Basel, Switzerland. This article is an open access article distributed under the terms and conditions of the Creative Commons Attribution (CC BY) license (https://creativecommons.org/licenses/by/4.0/).
Share and Cite
Bi, H.; Yuan, H.; Xu, Z.; Liang, Z.; Du, Y. Research on the Performance and Computational Fluid Dynamics Numerical Simulation of Plate Air Gap Membrane Distillation Module. Membranes 2024, 14, 162. https://doi.org/10.3390/membranes14080162
Bi H, Yuan H, Xu Z, Liang Z, Du Y. Research on the Performance and Computational Fluid Dynamics Numerical Simulation of Plate Air Gap Membrane Distillation Module. Membranes. 2024; 14(8):162. https://doi.org/10.3390/membranes14080162
Chicago/Turabian StyleBi, Haojie, Hongying Yuan, Zhiyuan Xu, Zhuobin Liang, and Yongliang Du. 2024. "Research on the Performance and Computational Fluid Dynamics Numerical Simulation of Plate Air Gap Membrane Distillation Module" Membranes 14, no. 8: 162. https://doi.org/10.3390/membranes14080162
APA StyleBi, H., Yuan, H., Xu, Z., Liang, Z., & Du, Y. (2024). Research on the Performance and Computational Fluid Dynamics Numerical Simulation of Plate Air Gap Membrane Distillation Module. Membranes, 14(8), 162. https://doi.org/10.3390/membranes14080162
