Performance and Environmental Assessment of Biochar-Based Membranes Synthesized from Traditional and Eco-Friendly Solvents
Abstract
1. Introduction
2. Materials and Methods
2.1. Materials
2.2. Characterization of Solid Biochar
2.2.1. Adsorption Experiments for Isotherms
2.2.2. Kinetic Adsorption Models
2.2.3. Brunauer–Emmett–Teller (BET) Surface Area Analysis
2.3. Membrane Synthesis
2.4. Membrane Characterization
2.4.1. Thermogravimetric Analysis (TGA)
2.4.2. Scanning Electron Microscopy (SEM)
2.4.3. Fourier Transform Infrared (FTIR)
2.4.4. Contact Angle
2.4.5. Mechanical Strength
2.4.6. Zeta Potential
2.4.7. X-ray Photoelectron Spectroscopy (XPS) and Depth Profile
2.5. Performance Analysis Flux and Rejection
2.6. Leaching Studies
2.7. Life Cycle Assessment (LCA)
2.7.1. Life Cycle Inventory (LCI)
2.7.2. Life Cycle Impact Assessment (LCIA)
2.7.3. Uncertainty and Sensitivity Analyses
3. Results and Discussion
3.1. Biochar Characterization
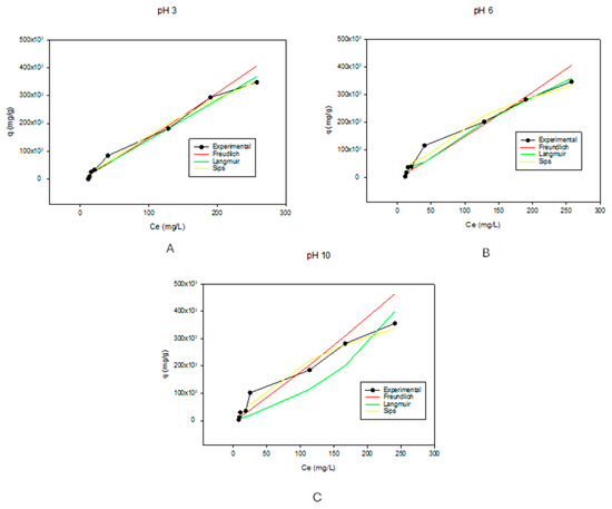
3.1.1. Adsorption Isotherms
3.1.2. Kinetics Models
3.1.3. Nitrogen Sorption/BET Analysis Studies
3.2. Membrane Characterization
3.2.1. Morphological Analysis via Scanning Electron Microscopy
3.2.2. Elemental Analysis via XPS Analysis
3.2.3. Structural Analysis via FTIR
3.2.4. Structural Analysis via Mechanical Strength Testing
3.2.5. Functional Studies via Wettability Studies/Contact Angle Measurements
3.2.6. Effect of Membrane Surface Charge via Zeta Potential Studies
3.2.7. Membrane Structural Analysis via TGA Studies
3.2.8. Stability Studies via Viscosity Measurements
3.3. Adsorptive Properties of the Biochar-Based Membranes
3.4. Membrane Stability via Leaching Studies
3.4.1. Soaking Method (Leaching Study)
3.4.2. Filtration Method (Leaching Study)
3.5. LCA Results
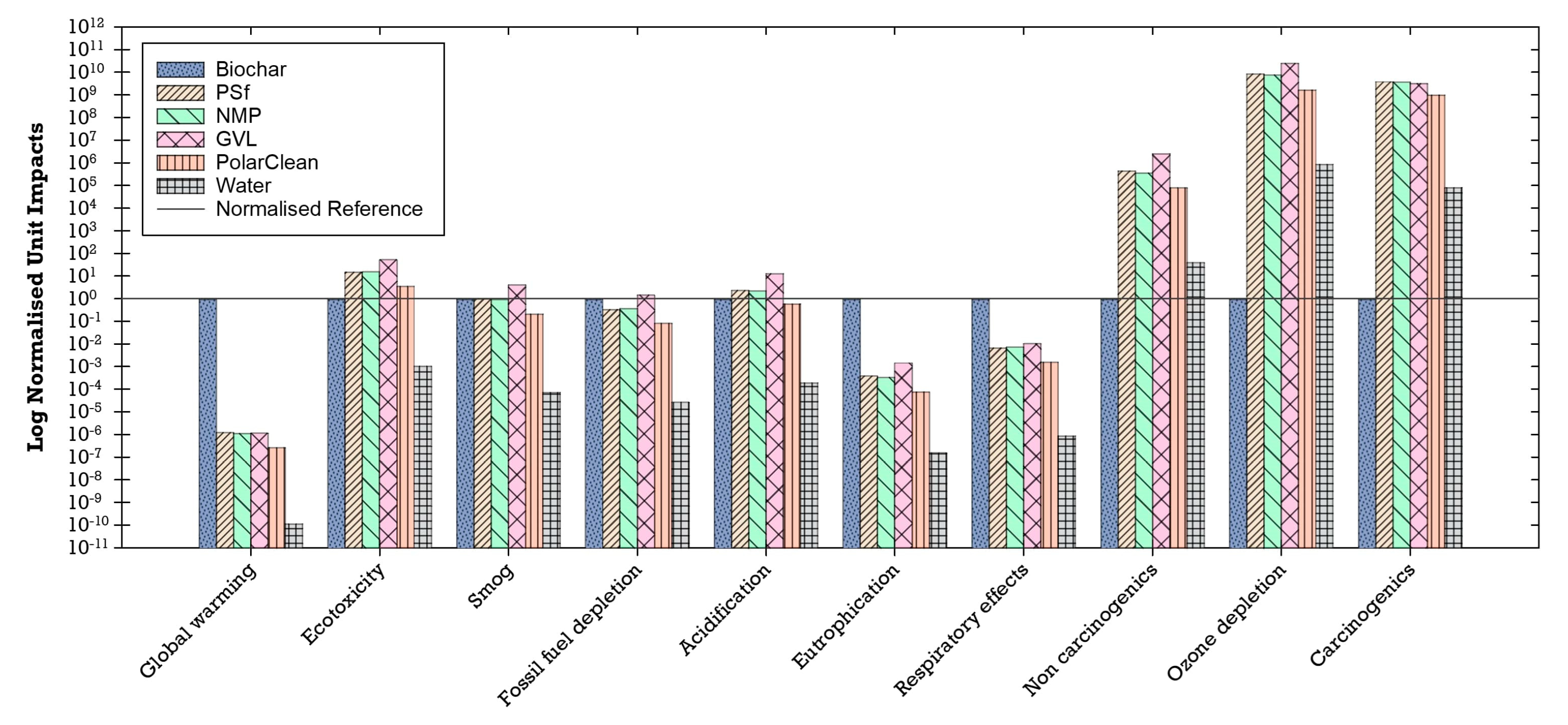
3.5.1. Unit Environmental Impacts of Materials
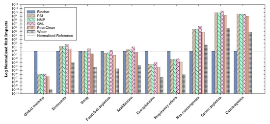
3.5.2. Comparison of Global Environmental Impacts of Membrane Configurations
3.5.3. Uncertainty Analysis of Environmental Impacts and Sensitivity to Membrane Fabrication Materials
4. Conclusions
Supplementary Materials
Author Contributions
Funding
Institutional Review Board Statement
Data Availability Statement
Conflicts of Interest
References
- Yin, C.; Pereira, P.; Hua, T.; Liu, Y.; Zhu, J.; Zhao, W. Recover the food-energy-water nexus from COVID-19 under Sustainable Development Goals acceleration actions. Sci. Total Environ. 2022, 817, 153013. [Google Scholar] [CrossRef] [PubMed]
- Feng, B.; van Dam, K.H.; Guo, M.; Shah, N.; Passmore, S.; Wang, X. Planning of Food-Energy-Water-Waste (FEW2) nexus for sustainable development. BMC Chem. Eng. 2020, 2, 4. [Google Scholar] [CrossRef]
- Bazilian, M.; Rogner, H.; Howells, M.; Hermann, S.; Arent, D.; Gielen, D.; Steduto, P.; Mueller, A.; Komor, P.; Tol, R.S.J.; et al. Considering the energy, water and food nexus: Towards an integrated modelling approach. Energy Policy 2011, 39, 7896–7906. [Google Scholar] [CrossRef]
- Halkos, G.; Gkampoura, E.-C. Where do we stand on the 17 Sustainable Development Goals? An overview on progress. Econ. Anal. Policy 2021, 70, 94–122. [Google Scholar] [CrossRef]
- Escobar, N.; Laibach, N. Sustainability check for bio-based technologies: A review of process-based and life cycle approaches. Renew. Sustain. Energy Rev. 2021, 135, 110213. [Google Scholar] [CrossRef]
- Tardy, B.L.; Richardson, J.J.; Greca, L.G.; Guo, J.; Bras, J.; Rojas, O.J. Advancing bio-based materials for sustainable solutions to food packaging. Nat. Sustain. 2023, 6, 360–367. [Google Scholar] [CrossRef]
- Hairon Azhar, N.N.; Ang, D.T.; Abdullah, R.; Harikrishna, J.A.; Cheng, A. Bio-Based Materials Riding the Wave of Sustainability: Common Misconceptions, Opportunities, Challenges and the Way Forward. Sustainability 2022, 14, 5032. [Google Scholar] [CrossRef]
- Edward Kwaku, A.; Maggie, C.; Jeremiah Adebisi, A.; Denzil Erwin, E.; Boldwin, M.; Nikita, S.; Zikhona, T. Biochar: Production, Application and the Future. In Biochar; Mattia, B., Mauro, G., Alberto, T., Eds.; IntechOpen: London, UK, 2022; Chapter 2. [Google Scholar]
- Jha, S.; Gaur, R.; Shahabuddin, S.; Tyagi, I. Biochar as Sustainable Alternative and Green Adsorbent for the Remediation of Noxious Pollutants: A Comprehensive Review. Toxics 2023, 11, 117. [Google Scholar] [CrossRef] [PubMed]
- Tomczyk, A.; Sokołowska, Z.; Boguta, P. Biochar physicochemical properties: Pyrolysis temperature and feedstock kind effects. Rev. Environ. Sci. Bio/Technol. 2020, 19, 191–215. [Google Scholar] [CrossRef]
- Karre, A.V.; Cai, T. Review of innovative uses of biochar in environmental applications for nitrobenzene removal in aqueous and soil phases. Front. Chem. Eng. 2023, 5, 1186878. [Google Scholar] [CrossRef]
- Heidari, A.; Khaki, E.; Younesi, H.; Lu, H.R. Evaluation of fast and slow pyrolysis methods for bio-oil and activated carbon production from eucalyptus wastes using a life cycle assessment approach. J. Clean. Prod. 2019, 241, 118394. [Google Scholar] [CrossRef]
- Paz-Ferreiro, J.; Nieto, A.; Méndez, A.; Askeland, M.P.; Gascó, G. Biochar from Biosolids Pyrolysis: A Review. Int. J. Environ. Res. Public Health 2018, 15, 956. [Google Scholar] [CrossRef] [PubMed]
- Hassan, M.; Liu, Y.; Naidu, R.; Parikh, S.J.; Du, J.; Qi, F.; Willett, I.R. Influences of feedstock sources and pyrolysis temperature on the properties of biochar and functionality as adsorbents: A meta-analysis. Sci. Total Environ. 2020, 744, 140714. [Google Scholar] [CrossRef] [PubMed]
- Ippolito, J.A.; Cui, L.; Kammann, C.; Wrage-Mönnig, N.; Estavillo, J.M.; Fuertes-Mendizabal, T.; Cayuela, M.L.; Sigua, G.; Novak, J.; Spokas, K.; et al. Feedstock choice, pyrolysis temperature and type influence biochar characteristics: A comprehensive meta-data analysis review. Biochar 2020, 2, 421–438. [Google Scholar] [CrossRef]
- Amalina, F.; Razak, A.S.A.; Krishnan, S.; Sulaiman, H.; Zularisam, A.W.; Nasrullah, M. Biochar production techniques utilizing biomass waste-derived materials and environmental applications—A review. J. Hazard. Mater. Adv. 2022, 7, 100134. [Google Scholar] [CrossRef]
- Aboelela, D.; Saleh, H.; Attia, A.M.; Elhenawy, Y.; Majozi, T.; Bassyouni, M. Recent Advances in Biomass Pyrolysis Processes for Bioenergy Production: Optimization of Operating Conditions. Sustainability 2023, 15, 11238. [Google Scholar] [CrossRef]
- Ghaffar, A.; Zhu, X.; Chen, B. Biochar composite membrane for high performance pollutant management: Fabrication, structural characteristics and synergistic mechanisms. Environ. Pollut. 2018, 233, 1013–1023. [Google Scholar] [CrossRef] [PubMed]
- Wang, K.; Ye, Q.; Shen, Y.; Wang, Y.; Hong, Q.; Zhang, C.; Liu, M.; Wang, H. Biochar Addition in Membrane Bioreactor Enables Membrane Fouling Alleviation and Nitrogen Removal Improvement for Low C/N Municipal Wastewater Treatment. Membranes 2023, 13, 194. [Google Scholar] [CrossRef] [PubMed]
- Zhang, L.; Kan, X.; Huang, T.; Lao, J.; Luo, K.; Gao, J.; Liu, X.; Sui, K.; Jiang, L. Electric field modulated water permeation through laminar Ti3C2Tx MXene membrane. Water Res. 2022, 219, 118598. [Google Scholar] [CrossRef]
- Fionah, A.; McLarney, K.; Judd, A.; Escobar, I.C. Effects of the Applied Potential on the Performance of Polysulfone Membranes Functionalized with Sulfonated Polyether Ether Ketone Polymers. Membranes 2023, 13, 675. [Google Scholar] [CrossRef]
- Merlo, F.; Anticò, E.; Merli, R.; Cabrera-Codony, A.; Fontàs, C.; Speltini, A.; Profumo, A. Biochar-based polymeric film as sustainable and efficient sorptive phase for preconcentration of steroid hormones in environmental waters and wastewaters. Anal. Chim. Acta 2024, 1308, 342658. [Google Scholar] [CrossRef] [PubMed]
- Slunge, D.; Andersson, I.; Sterner, T. REACH authorisation and the substitution of hazardous chemicals: The case of trichloroethylene. J. Clean. Prod. 2022, 364, 132637. [Google Scholar] [CrossRef]
- Rasool, M.A.; Vankelecom, I.F.J. γ-Valerolactone as Bio-Based Solvent for Nanofiltration Membrane Preparation. Membranes 2021, 11, 418. [Google Scholar] [CrossRef] [PubMed]
- Cseri, L.; Szekely, G. Towards cleaner PolarClean: Efficient synthesis and extended applications of the polar aprotic solvent methyl 5-(dimethylamino)-2-methyl-5-oxopentanoate. Green. Chem. 2019, 21, 4178–4188. [Google Scholar] [CrossRef]
- Kumar, A.; Sharma, A.; de la Torre, B.G.; Albericio, F. Rhodiasolv PolarClean—A greener alternative in solid-phase peptide synthesis. Green. Chem. Lett. Rev. 2021, 14, 545–550. [Google Scholar] [CrossRef]
- Dong, X.; Lu, D.; Harris, T.A.L.; Escobar, I.C. Polymers and Solvents Used in Membrane Fabrication: A Review Focusing on Sustainable Membrane Development. Membranes 2021, 11, 309. [Google Scholar] [CrossRef] [PubMed]
- Ravikumar, V.R.; Schröder, A.; Köhler, S.; Çetinel, F.A.; Schmitt, M.; Kondrakov, A.; Eberle, F.; Eichler-Haeske, J.-O.; Klein, D.; Schmidt-Hansberg, B. γ-Valerolactone: An Alternative Solvent for Manufacturing of Lithium-Ion Battery Electrodes. ACS Appl. Energy Mater. 2021, 4, 696–703. [Google Scholar] [CrossRef]
- Germán, L.; Cuevas, J.M.; Cobos, R.; Pérez-Alvarez, L.; Vilas-Vilela, J.L. Green alternative cosolvents to N-methyl-2-pyrrolidone in water polyurethane dispersions. RSC Adv. 2021, 11, 19070–19075. [Google Scholar] [CrossRef] [PubMed]
- Dong, X.; Shannon, H.; Escobar, I. Investigation of PolarClean and Gamma-Valerolactone as Solvents for Polysulfone Membrane Fabrication. In Green Polymer Chemistry: New Products, Processes, and Applications; American Chemical Society: Washington, DC, USA, 2018; pp. 385–403. [Google Scholar]
- Sarkar, A.; May, R.; Valmonte, Z.; Marbella, L.E. PolarClean & dimethyl isosorbide: Green matches in formulating cathode slurry. Energy Adv. 2022, 1, 671–676. [Google Scholar] [CrossRef]
- Dong, X.; Al-Jumaily, A.; Escobar, I.C. Investigation of the Use of a Bio-Derived Solvent for Non-Solvent-Induced Phase Separation (NIPS) Fabrication of Polysulfone Membranes. Membranes 2018, 8, 23. [Google Scholar] [CrossRef]
- ISO 14040:2006; Environmental Management—Life Cycle Assessment—Principles and Framework. ISO: Geneva, Switzerland, 2006.
- Muralikrishna, I.V.; Manickam, V. Life Cycle Assessment. In Environmental Management; Elsevier: Amsterdam, The Netherlands, 2017; pp. 57–75. [Google Scholar]
- Yadav, P.; Ismail, N.; Essalhi, M.; Tysklind, M.; Athanassiadis, D.; Tavajohi, N. Assessment of the environmental impact of polymeric membrane production. J. Membr. Sci. 2021, 622, 118987. [Google Scholar] [CrossRef]
- Finkbeiner, M.; Inaba, A.; Tan, R.; Christiansen, K.; Klüppel, H.-J. The new international standards for life cycle assessment: ISO 14040 and ISO 14044. Int. J. Life Cycle Assess. 2006, 11, 80–85. [Google Scholar] [CrossRef]
- ISO 14044:2006; Environmental Management—Life Cycle Assessment—Requirements and Guidelines. ISO: Geneva, Switzerland, 2006.
- Jaafar, J.; Nasir, A.M. Grand Challenge in Membrane Fabrication: Membrane Science and Technology. Front. Membr. Sci. Technol. 2022, 1, 883913. [Google Scholar] [CrossRef]
- Lawler, W.; Alvarez-Gaitan, J.; Leslie, G.; Le-Clech, P. Comparative life cycle assessment of end-of-life options for reverse osmosis membranes. Desalination 2015, 357, 45–54. [Google Scholar] [CrossRef]
- Shaheen, J.; Fseha, Y.H.; Sizirici, B. Performance, life cycle assessment, and economic comparison between date palm waste biochar and activated carbon derived from woody biomass. Heliyon 2022, 8, e12388. [Google Scholar] [CrossRef] [PubMed]
- Smebye, A.B.; Sparrevik, M.; Schmidt, H.P.; Cornelissen, G. Life-cycle assessment of biochar production systems in tropical rural areas: Comparing flame curtain kilns to other production methods. Biomass Bioenergy 2017, 101, 35–43. [Google Scholar] [CrossRef]
- Han, J.; Son, M.; Kang, D. Process design and environmental analysis for catalytic production of gamma-valerolactone from Kenaf. J. Ind. Eng. Chem. 2023, 120, 254–260. [Google Scholar] [CrossRef]
- Razman, K.K.; Mohammad, A.W.; Hanafiah, M.M. Life cycle design and efficiency strategy for sustainable membrane technology. IOP Conf. Ser. Earth Environ. Sci. 2021, 880, 012053. [Google Scholar] [CrossRef]
- Alhashimi, H.A.; Aktas, C.B. Life cycle environmental and economic performance of biochar compared with activated carbon: A meta-analysis. Resour. Conserv. Recycl. 2017, 118, 13–26. [Google Scholar] [CrossRef]
- Awad, H.; Gar Alalm, M.; El-Etriby, H.K. Environmental and cost life cycle assessment of different alternatives for improvement of wastewater treatment plants in developing countries. Sci. Total Environ. 2019, 660, 57–68. [Google Scholar] [CrossRef]
- Khan, I.; Saeed, K.; Zekker, I.; Zhang, B.; Hendi, A.H.; Ahmad, A.; Ahmad, S.; Zada, N.; Ahmad, H.; Shah, L.A.; et al. Review on Methylene Blue: Its Properties, Uses, Toxicity and Photodegradation. Water 2022, 14, 242. [Google Scholar] [CrossRef]
- Gago, D.; Chagas, R.; Ferreira, L.M.; Velizarov, S.; Coelhoso, I. A Novel Cellulose-Based Polymer for Efficient Removal of Methylene Blue. Membranes 2020, 10, 13. [Google Scholar] [CrossRef] [PubMed]
- Sevim, F.; Lacin, O.; Ediz, E.F.; Demir, F. Adsorption capacity, isotherm, kinetic, and thermodynamic studies on adsorption behavior of malachite green onto natural red clay. Environ. Prog. Sustain. Energy 2021, 40, e13471. [Google Scholar] [CrossRef]
- Andres, A.-B.; Alfredo Campos, T.; Mario, O.-M. Adsorption Isotherms: Enlightenment of the Phenomenon of Adsorption. In Wastewater Treatment; Muharrem, I., Olcay Kaplan, I., Eds.; IntechOpen: London, UK, 2022; Chapter 2. [Google Scholar]
- DeMessie, J.A.; Sorial, G.A.; Sahle-Demessie, E. Chapter 9—Removing chromium (VI) from contaminated water using a nano-chitosan–coated diatomaceous earth. In Separation Science and Technology; Ahuja, S., Ed.; Academic Press: Cambridge, MA, USA, 2022; Volume 15, pp. 163–176. [Google Scholar]
- Liu, L.; Luo, X.-B.; Ding, L.; Luo, S.-L. 4—Application of Nanotechnology in the Removal of Heavy Metal From Water. In Nanomaterials for the Removal of Pollutants and Resource Reutilization; Luo, X., Deng, F., Eds.; Elsevier: Amsterdam, The Netherlands, 2019; pp. 83–147. [Google Scholar]
- Kalam, S.; Abu-Khamsin, S.A.; Kamal, M.S.; Patil, S. Surfactant Adsorption Isotherms: A Review. ACS Omega 2021, 6, 32342–32348. [Google Scholar] [CrossRef] [PubMed]
- Singh, A.K. Chapter 8—Nanoparticle Ecotoxicology. In Engineered Nanoparticles; Singh, A.K., Ed.; Academic Press: Cambridge, MA, USA, 2016; pp. 343–450. [Google Scholar]
- Aguareles, M.; Barrabés, E.; Myers, T.; Valverde, A. Mathematical analysis of a Sips-based model for column adsorption. Phys. D Nonlinear Phenom. 2023, 448, 133690. [Google Scholar] [CrossRef]
- Tran, H.N. Applying Linear Forms of Pseudo-Second-Order Kinetic Model for Feasibly Identifying Errors in the Initial Periods of Time-Dependent Adsorption Datasets. Water 2023, 15, 1231. [Google Scholar] [CrossRef]
- Sahoo, T.R.; Prelot, B. Chapter 7—Adsorption processes for the removal of contaminants from wastewater: The perspective role of nanomaterials and nanotechnology. In Nanomaterials for the Detection and Removal of Wastewater Pollutants; Bonelli, B., Freyria, F.S., Rossetti, I., Sethi, R., Eds.; Elsevier: Amsterdam, The Netherlands, 2020; pp. 161–222. [Google Scholar]
- Revellame, E.D.; Fortela, D.L.; Sharp, W.; Hernandez, R.; Zappi, M.E. Adsorption kinetic modeling using pseudo-first order and pseudo-second order rate laws: A review. Clean. Eng. Technol. 2020, 1, 100032. [Google Scholar] [CrossRef]
- Dollimore, D.; Spooner, P.; Turner, A. The bet method of analysis of gas adsorption data and its relevance to the calculation of surface areas. Surf. Technol. 1976, 4, 121–160. [Google Scholar] [CrossRef]
- Wang, X.; Chen, D.; He, T.; Zhou, Y.; Tian, L.; Wang, Z.; Cui, Z. Preparation of Lateral Flow PVDF Membrane via Combined Vapor- and Non-Solvent-Induced Phase Separation (V-NIPS). Membranes 2023, 13, 91. [Google Scholar] [CrossRef]
- Nguyen, T.D.T.; Altiok, E.; Siekierka, A.; Pietrelli, A.; Yalcinkaya, F. Preparation and Characterization of Microfiltration membrane by Utilization Non-Solvent Induced Phase Separation Technique. J. Membr. Sci. Res. 2023, 9, 1995689. [Google Scholar] [CrossRef]
- Hamta, A.; Ashtiani, F.Z.; Karimi, M.; Moayedfard, S. Asymmetric block copolymer membrane fabrication mechanism through self-assembly and non-solvent induced phase separation (SNIPS) process. Sci. Rep. 2022, 12, 771. [Google Scholar] [CrossRef] [PubMed]
- Xie, H.; Saito, T.; Hickner, M.A. Zeta Potential of Ion-Conductive Membranes by Streaming Current Measurements. Langmuir 2011, 27, 4721–4727. [Google Scholar] [CrossRef] [PubMed]
- Bare, J. TRACI 2.0: The tool for the reduction and assessment of chemical and other environmental impacts 2.0. Clean. Technol. Environ. Policy 2011, 13, 687–696. [Google Scholar] [CrossRef]
- Speck, R.; Selke, S.; Auras, R.; Fitzsimmons, J. Choice of life cycle assessment software can impact packaging system decisions. Packag. Technol. Sci. 2015, 28, 579–588. [Google Scholar] [CrossRef]
- Speck, R.; Selke, S.; Auras, R.; Fitzsimmons, J. Life cycle assessment software: Selection can impact results. J. Ind. Ecol. 2016, 20, 18–28. [Google Scholar] [CrossRef]
- Parshetti, G.K.; Kent Hoekman, S.; Balasubramanian, R. Chemical, structural and combustion characteristics of carbonaceous products obtained by hydrothermal carbonization of palm empty fruit bunches. Bioresour. Technol. 2013, 135, 683–689. [Google Scholar] [CrossRef] [PubMed]
- Agrafioti, E.; Kalderis, D.; Diamadopoulos, E. Arsenic and chromium removal from water using biochars derived from rice husk, organic solid wastes and sewage sludge. J. Environ. Manag. 2014, 133, 309–314. [Google Scholar] [CrossRef] [PubMed]
- Lu, H.; Zhang, W.; Yang, Y.; Huang, X.; Wang, S.; Qiu, R. Relative distribution of Pb2+ sorption mechanisms by sludge-derived biochar. Water Res. 2012, 46, 854–862. [Google Scholar] [CrossRef] [PubMed]
- Ambaye, T.G.; Vaccari, M.; van Hullebusch, E.D.; Amrane, A.; Rtimi, S. Mechanisms and adsorption capacities of biochar for the removal of organic and inorganic pollutants from industrial wastewater. Int. J. Environ. Sci. Technol. 2021, 18, 3273–3294. [Google Scholar] [CrossRef]
- Acharya, A.; Jeppu, G.; Raju Girish, C.; Prabhu, B. Development of a Multicomponent Adsorption Isotherm Equation and Its Validation by Modeling. Langmuir 2023, 39, 17862–17878. [Google Scholar] [CrossRef]
- Najafpour, G.D. Chapter 7—Downstream Processing. In Biochemical Engineering and Biotechnology; Najafpour, G.D., Ed.; Elsevier: Amsterdam, The Netherlands, 2007; pp. 170–198. [Google Scholar]
- Kecili, R.; Hussain, C.M. Chapter 4—Mechanism of Adsorption on Nanomaterials. In Nanomaterials in Chromatography; Hussain, C.M., Ed.; Elsevier: Amsterdam, The Netherlands, 2018; pp. 89–115. [Google Scholar]
- Jang, H.M.; Yoo, S.; Choi, Y.-K.; Park, S.; Kan, E. Adsorption isotherm, kinetic modeling and mechanism of tetracycline on Pinus taeda-derived activated biochar. Bioresour. Technol. 2018, 259, 24–31. [Google Scholar] [CrossRef] [PubMed]
- Zhou, Y.; Liu, X.; Xiang, Y.; Wang, P.; Zhang, J.; Zhang, F.; Wei, J.; Luo, L.; Lei, M.; Tang, L. Modification of biochar derived from sawdust and its application in removal of tetracycline and copper from aqueous solution: Adsorption mechanism and modelling. Bioresour. Technol. 2017, 245, 266–273. [Google Scholar] [CrossRef] [PubMed]
- Plazinski, W.; Dziuba, J.; Rudzinski, W. Modeling of sorption kinetics: The pseudo-second order equation and the sorbate intraparticle diffusivity. Adsorption 2013, 19, 1055–1064. [Google Scholar] [CrossRef]
- Batista, E.M.C.C.; Shultz, J.; Matos, T.T.S.; Fornari, M.R.; Ferreira, T.M.; Szpoganicz, B.; de Freitas, R.A.; Mangrich, A.S. Effect of surface and porosity of biochar on water holding capacity aiming indirectly at preservation of the Amazon biome. Sci. Rep. 2018, 8, 10677. [Google Scholar] [CrossRef] [PubMed]
- Kalina, M.; Sovova, S.; Svec, J.; Trudicova, M.; Hajzler, J.; Kubikova, L.; Enev, V. The Effect of Pyrolysis Temperature and the Source Biomass on the Properties of Biochar Produced for the Agronomical Applications as the Soil Conditioner. Materials 2022, 15, 8855. [Google Scholar] [CrossRef] [PubMed]
- Nicholas, H.L.; Mabbett, I.; Apsey, H.; Robertson, I. Physico-chemical properties of waste derived biochar from community scale faecal sludge treatment plants. Gates Open Res. 2022, 6, 96. [Google Scholar] [CrossRef]
- Gale, M.; Nguyen, T.; Moreno, M.; Gilliard-AbdulAziz, K.L. Physiochemical Properties of Biochar and Activated Carbon from Biomass Residue: Influence of Process Conditions to Adsorbent Properties. ACS Omega 2021, 6, 10224–10233. [Google Scholar] [CrossRef]
- Huang, Z.; Hu, L.; Zhou, Q.; Guo, Y.; Tang, W.; Dai, J. Effect of aging on surface chemistry of rice husk-derived biochar. Environ. Prog. Sustain. Energy 2017, 37, 410–417. [Google Scholar] [CrossRef]
- Baig, U.; Waheed, A. Exploiting interfacial polymerization to fabricate hyper-cross-linked nanofiltration membrane with a constituent linear aliphatic amine for freshwater production. NPJ Clean Water 2022, 5, 46. [Google Scholar] [CrossRef]
- Morgan, D.J. Comments on the XPS Analysis of Carbon Materials. C 2021, 7, 51. [Google Scholar] [CrossRef]
- Jung, J.T.; Kim, J.F.; Wang, H.H.; di Nicolo, E.; Drioli, E.; Lee, Y.M. Understanding the non-solvent induced phase separation (NIPS) effect during the fabrication of microporous PVDF membranes via thermally induced phase separation (TIPS). J. Membr. Sci. 2016, 514, 250–263. [Google Scholar] [CrossRef]
- Tasselli, F. Non-solvent Induced Phase Separation Process (NIPS) for Membrane Preparation. In Encyclopedia of Membranes; Drioli, E., Giorno, L., Eds.; Springer: Berlin/Heidelberg, Germany, 2015; pp. 1–3. [Google Scholar]
- Ding, Z.; Liu, X.; Liu, Y.; Zhang, L. Enhancing the Compatibility, Hydrophilicity and Mechanical Properties of Polysulfone Ultrafiltration Membranes with Lignocellulose Nanofibrils. Polymers 2016, 8, 349. [Google Scholar] [CrossRef] [PubMed]
- Yang, H.; Yang, L.; Wang, H.; Xu, Z.; Zhao, Y.; Luo, Y.; Nasir, N.; Song, Y.; Wu, H.; Pan, F.; et al. Covalent organic framework membranes through a mixed-dimensional assembly for molecular separations. Nat. Commun. 2019, 10, 2101. [Google Scholar] [CrossRef] [PubMed]
- Marino, T.; Blasi, E.; Tornaghi, S.; Di Nicolò, E.; Figoli, A. Polyethersulfone membranes prepared with Rhodiasolv®Polarclean as water soluble green solvent. J. Membr. Sci. 2018, 549, 192–204. [Google Scholar] [CrossRef]
- Hassankiadeh, N.T.; Cui, Z.; Kim, J.H.; Shin, D.W.; Lee, S.Y.; Sanguineti, A.; Arcella, V.; Lee, Y.M.; Drioli, E. Microporous poly(vinylidene fluoride) hollow fiber membranes fabricated with PolarClean as water-soluble green diluent and additives. J. Membr. Sci. 2015, 479, 204–212. [Google Scholar] [CrossRef]
- Jeong, S.; Kim, H.-W. Chapter 3—In situ real-time monitoring technologies for fouling detection in membrane processes. In Current Developments in Biotechnology and Bioengineering; Bui, X.-T., Guo, W., Chiemchaisri, C., Pandey, A., Eds.; Elsevier: Amsterdam, The Netherlands, 2023; pp. 43–64. [Google Scholar]
- Dwivedi, C.; Pandey, I.; Pandey, H.; Ramteke, P.W.; Pandey, A.C.; Mishra, S.B.; Patil, S. Chapter 9—Electrospun Nanofibrous Scaffold as a Potential Carrier of Antimicrobial Therapeutics for Diabetic Wound Healing and Tissue Regeneration. In Nano- and Microscale Drug Delivery Systems; Grumezescu, A.M., Ed.; Elsevier: Amsterdam, The Netherlands, 2017; pp. 147–164. [Google Scholar]
- Selva, T.M.G.; Selva, J.S.G.; Prata, R.B. Sensing Materials: Diamond-Based Materials. In Encyclopedia of Sensors and Biosensors, 1st ed.; Narayan, R., Ed.; Elsevier: Amsterdam, The Netherlands, 2023; pp. 45–72. [Google Scholar]
- Plisko, T.V.; Bildyukevich, A.V.; Burts, K.S.; Hliavitskaya, T.A.; Penkova, A.V.; Ermakov, S.S.; Ulbricht, M. Modification of Polysulfone Ultrafiltration Membranes via Addition of Anionic Polyelectrolyte Based on Acrylamide and Sodium Acrylate to the Coagulation Bath to Improve Antifouling Performance in Water Treatment. Membranes 2020, 10, 264. [Google Scholar] [CrossRef] [PubMed]
- Fievet, P.; Szymczyk, A.; Labbez, C.; Aoubiza, B.; Simon, C.; Foissy, A.; Pagetti, J. Determining the Zeta Potential of Porous Membranes Using Electrolyte Conductivity inside Pores. J. Colloid. Interface Sci. 2001, 235, 383–390. [Google Scholar] [CrossRef] [PubMed]
- Suhaimi, N.; Yeong, Y.F.; Ch’ng, C.; Jusoh, N. Tailoring CO2/CH4 Separation Performance of Mixed Matrix Membranes by Using ZIF-8 Particles Functionalized with Different Amine Groups. Polymers 2019, 11, 2042. [Google Scholar] [CrossRef] [PubMed]
- Shahruddin, M.; Jasni, M. Polymeric Composite Membrane for CO2/CH4 Separation. In ICGSCE 2014: Proceedings of the International Conference on Global Sustainability and Chemical Engineering; Springer: Singapore, 2015; pp. 167–175. [Google Scholar]
- Dias, R.A.; Medeiros, V.d.N.; Silva, B.I.A.; Araújo, E.M.; Lira, H.d.L. Study of The Influence of Viscosity on The Morphology of Polyethersulfone Hollow Fiber Membranes/Additives. Mater. Res. 2019, 22, e20180913. [Google Scholar] [CrossRef]
- Lu, D.; Babaniamansour, P.; Williams, A.; Opfar, K.; Nurick, P.; Escobar, I.C. Fabrication and evaporation time investigation of water treatment membranes using green solvents and recycled polyethylene terephthalate. J. Appl. Polym. Sci. 2022, 139, e52823. [Google Scholar] [CrossRef]
- Xu, H.; Xiao, K.; Wang, X.; Liang, S.; Wei, C.; Wen, X.; Huang, X. Outlining the Roles of Membrane-Foulant and Foulant-Foulant Interactions in Organic Fouling During Microfiltration and Ultrafiltration: A Mini-Review. Front. Chem. 2020, 8, 417. [Google Scholar] [CrossRef] [PubMed]
- He, T. Spongelike Structure. In Encyclopedia of Membranes; Drioli, E., Giorno, L., Eds.; Springer: Berlin/Heidelberg, Germany, 2016; pp. 1814–1815. [Google Scholar]
- Parveez, B.; Jamal, N.A.; Anuar, H.; Ahmad, Y.; Aabid, A.; Baig, M. Microstructure and Mechanical Properties of Metal Foams Fabricated via Melt Foaming and Powder Metallurgy Technique: A Review. Materials 2022, 15, 5302. [Google Scholar] [CrossRef] [PubMed]
- Liang, W.-J.; Chen, Y.-P.; Zheng, F.-Y.; Li, S. Titanium dioxide nanoparticle based solid phase extraction of trace Alizarin Violet, followed by its specrophotometric determination. Microchim. Acta 2014, 181, 1513–1519. [Google Scholar] [CrossRef]
- Sparrevik, M.; Adam, C.; Martinsen, V.; Jubaedah; Cornelissen, G. Emissions of gases and particles from charcoal/biochar production in rural areas using medium-sized traditional and improved “retort” kilns. Biomass Bioenergy 2015, 72, 65–73. [Google Scholar] [CrossRef]
- Santos, U.P.; Arbex, M.A.; Braga, A.L.F.; Mizutani, R.F.; Cançado, J.E.D.; Terra-Filho, M.; Chatkin, J.M. Environmental air pollution: Respiratory effects. J. Bras. Pneumol. 2021, 47, e20200267. [Google Scholar] [CrossRef]
- Khan, M.N.; Mohammad, F. Eutrophication: Challenges and Solutions. In Eutrophication: Causes, Consequences and Control: Volume 2; Ansari, A.A., Gill, S.S., Eds.; Springer: Amsterdam, The Netherlands, 2014; pp. 1–15. [Google Scholar]

















| Membrane Configurations | |||||||
|---|---|---|---|---|---|---|---|
| Units | PSf/NMP | BC/PSf/NMP | PSf/GVL | BC/PSf/GVL | PSf/PC | BC/PSf/PC | |
| Materials | kg/m2 | 0.457 | 0.457 | 0.461 | 0.461 | 0.451 | 0.451 |
| Biochar | % | 0 | 1 | 0 | 1 | 0 | 1 |
| PSf | % | 46 | 45 | 47 | 46 | 45 | 44 |
| NMP | % | 54 | 54 | 0 | 0 | 0 | 0 |
| GVL | % | 0 | 0 | 53 | 53 | 0 | 0 |
| PolarClean | % | 0 | 0 | 0 | 0 | 55 | 55 |
| Water | kg/m2 | 2.46 | 2.46 | 2.46 | 2.46 | 2.46 | 2.46 |
| Isotherms | Langmuir | Freundlich | Sips | ||||||
|---|---|---|---|---|---|---|---|---|---|
| Parameters | qm (mg/g) | kD (L/mg) | R2 | n | K (L/mg) | R2 | n | K (L/mg) | R2 |
| pH 3 | 121910.0 | 6.4 × 10−5 | 0.7495 | 1.08 | 1014.3 | 0.9377 | 0.45 | 0.022 | 0.8760 |
| pH 6 | 1764145.7 | 9.2 × 10−4 | 0.9534 | 0.80 | 790.7 | 0.8615 | 1.10 | 44.027 | 0.9483 |
| pH 10 | 321765.3 | 5.2 × 10−3 | 0.8202 | 1.10 | 1104.4 | 0.8238 | 3.46 | 0.003 | 0.7091 |
| Kinetic Models | Pseudo-1st order | Pseudo-2nd order | |||
| Parameters | K1 | R2 | K2 | R2 | |
| pH 3 | 0.013 | 0.9885 | 1.22 × 1011 | 0.9777 | |
| pH 6 | 0.005 | 0.9958 | 2.80 × 1012 | 0.7571 | |
| pH 10 | 0.002 | 0.9861 | 4.09 × 1011 | 0.6350 | |
| Kinetic Models | Pseudo-1st order | Pseudo-2nd order | |||
| Parameters | K1 | R2 | K2 | R2 | |
| RT (23 °C) | 0.005 | 0.9958 | 2.80 × 1012 | 0.7571 | |
| Cold (4 °C) | 0.0141 | 0.9981 | 3.18 × 108 | 0.8066 | |
| warm (100 °C) | 0.0158 | 0.9899 | 1.16 × 1013 | 0.9964 | |
| BET Surface Analysis | |
|---|---|
| BET Surface Area (m2/g) | 66.03 |
| Langmuir Surface Area (m2/g) | 84.84 |
| Micropore Volume (cm3/g) | 0.04 |
| External Surface Area (m2/g) | 2.09 |
| Single Point Surface Area (m2/g) | 67.31 |
| Micropore Area (m2/g) | 68.12 |
| PSf/NMP | BC-PSf/NMP | ||||
| Name | Peak BE | Atomic % | Name | Peak BE | Atomic % |
| C1s | 284.38 | 80.8 | C1s | 286.86 | 80.13 |
| O1s | 532.01 | 15.71 | O1s | 534.64 | 14.45 |
| S2p | 167.89 | 1.87 | S2p | 169.99 | 3.31 |
| Ca2p | 347.11 | 1.29 | Ca2p | 347.1 | 0 |
| N1s | 399.3 | 0.32 | N1s | 401.62 | 1.48 |
| PSf/GVL | BC-PSf/GVL | ||||
| Name | Peak BE | Atomic % | Name | Peak BE | Atomic % |
| C1s | 285.44 | 80.98 | C1s | 285.45 | 80.89 |
| O1s | 533.34 | 14.22 | O1s | 533.23 | 15.63 |
| S2p | 168.9 | 3.09 | S2p | 168.92 | 2.96 |
| Ca2p | 348.33 | 1.29 | Ca2p | 348.34 | 0 |
| N1s | 400.41 | 0.41 | N1s | 407.08 | 0.52 |
| PSf/PC | BC-PSf/PC | ||||
| Name | Peak BE | Atomic % | Name | Peak BE | Atomic % |
| C1s | 285.13 | 81.58 | C1s | 285.12 | 83.21 |
| O1s | 532.85 | 14.24 | O1s | 532.83 | 13.32 |
| S2p | 168.37 | 3.2 | S2p | 168.31 | 3.45 |
| Ca2p | 348.1 | 0 | Ca2p1 | 348.08 | 0 |
| N1s | 400.08 | 0.3 | N1s | 399.02 | 0 |
| pH 3 | pH 6 | pH 10 | ||||||
|---|---|---|---|---|---|---|---|---|
| Membranes | Zeta (mV) | S/D (mV) | Membranes | Zeta (mV) | S/D (mV) | Membranes | Zeta (mV) | S/D (mV) |
| PSf-NMP | −10.75 | 1.1 | PSf-NMP | −30.09 | 2.1 | PSf-NMP | −29.68 | 1.7 |
| BC-PSf-NMP | −5.27 | 2.1 | BC-PSf-NMP | −41.50 | 4.2 | BC-PSf-NMP | −30.59 | 4.6 |
| PSf-GVL | −4.22 | 4.9 | PSf-GVL | −54.16 | 1.8 | PSf-GVL | −52.60 | 1.2 |
| BC-PSf-GVL | −44.12 | 7.5 | BC-PSf-GVL | −80.38 | 10.4 | BC-PSf-GVL | −66.20 | 3.5 |
| PSf-PC | −14.26 | 7.4 | PSf-PC | −21.81 | 9.3 | PSf-PC | −17.77 | 1.1 |
| BC-PSf-PC | −47.28 | 11.0 | BC-PSf-PC | −83.97 | 12.6 | BC-PSf-PC | −71.38 | 6.5 |
Disclaimer/Publisher’s Note: The statements, opinions and data contained in all publications are solely those of the individual author(s) and contributor(s) and not of MDPI and/or the editor(s). MDPI and/or the editor(s) disclaim responsibility for any injury to people or property resulting from any ideas, methods, instructions or products referred to in the content. |
© 2024 by the authors. Licensee MDPI, Basel, Switzerland. This article is an open access article distributed under the terms and conditions of the Creative Commons Attribution (CC BY) license (https://creativecommons.org/licenses/by/4.0/).
Share and Cite
Fionah, A.; Oluk, I.; Brady, L.; Byrne, D.M.; Escobar, I.C. Performance and Environmental Assessment of Biochar-Based Membranes Synthesized from Traditional and Eco-Friendly Solvents. Membranes 2024, 14, 153. https://doi.org/10.3390/membranes14070153
Fionah A, Oluk I, Brady L, Byrne DM, Escobar IC. Performance and Environmental Assessment of Biochar-Based Membranes Synthesized from Traditional and Eco-Friendly Solvents. Membranes. 2024; 14(7):153. https://doi.org/10.3390/membranes14070153
Chicago/Turabian StyleFionah, Abelline, Isaac Oluk, Laura Brady, Diana M. Byrne, and Isabel C. Escobar. 2024. "Performance and Environmental Assessment of Biochar-Based Membranes Synthesized from Traditional and Eco-Friendly Solvents" Membranes 14, no. 7: 153. https://doi.org/10.3390/membranes14070153
APA StyleFionah, A., Oluk, I., Brady, L., Byrne, D. M., & Escobar, I. C. (2024). Performance and Environmental Assessment of Biochar-Based Membranes Synthesized from Traditional and Eco-Friendly Solvents. Membranes, 14(7), 153. https://doi.org/10.3390/membranes14070153

