Mechanisms of Efficient Desalination by a Two-Dimensional Porous Nanosheet Prepared via Bottom-Up Assembly of Cucurbit[6]urils
Abstract
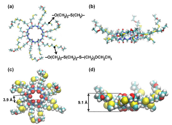
:1. Introduction
2. Molecular Dynamics (MD) Simulation and Quantum Mechanics (QM) Calculation
3. Results and Discussion
3.1. MD Simulations to Determine the Desalination Performance of the 2D Porous CB[6] Nanosheet
3.2. Investigation of the Possibility of Water Leakage through the Interstitial Space
3.3. QM Calculations to Weigh Up the Best Candidate among Cucurbituril Homologues
4. Conclusions
Supplementary Materials
Author Contributions
Funding
Institutional Review Board Statement
Data Availability Statement
Conflicts of Interest
References
- Joshi, R.K.; Carbone, P.; Wang, F.C.; Kravets, V.G.; Su, Y.; Grigorieva, I.V.; Wu, H.A.; Geim, A.K.; Nair, R.R. Precise and Ultrafast Molecular Sieving Through Graphene Oxide Membranes. Science 2014, 343, 752–754. [Google Scholar] [CrossRef] [PubMed] [Green Version]
- Karahan, H.E.; Goh, K.; Zhang, C.; Yang, E.; Yıldırım, C.; Chuah, C.Y.; Ahunbay, M.G.; Lee, J.; Tantekin-Ersolmaz, Ş.B.; Chen, Y.; et al. MXene Materials for Designing Advanced Separation Membranes. Adv. Mater. 2020, 32, 1906697. [Google Scholar] [CrossRef] [PubMed]
- Tansel, B. Significance of thermodynamic and physical characteristics on permeation of ions during membrane separation: Hydrated radius, hydration free energy and viscous effects. Sep. Purif. Technol. 2012, 86, 119–126. [Google Scholar] [CrossRef]
- Nie, L.; Goh, K.; Wang, Y.; Lee, J.; Huang, Y.; Karahan, H.E.; Zhou, K.; Guiver, M.D.; Bae, T.-H. Realizing small-flake graphene oxide membranes for ultrafast size-dependent organic solvent nanofiltration. Sci. Adv. 2020, 6, eaaz9184. [Google Scholar] [CrossRef] [Green Version]
- Lee, J.; Wang, R.; Bae, T.-H. A comprehensive understanding of co-solvent effects on interfacial polymerization: Interaction with trimesoyl chloride. J. Membr. Sci. 2019, 583, 70–80. [Google Scholar] [CrossRef]
- Lee, J.; Jang, J.H.; Chae, H.-R.; Lee, S.H.; Lee, C.-H.; Park, P.-K.; Won, Y.-J.; Kim, I.-C. A facile route to enhance the water flux of a thin-film composite reverse osmosis membrane: Incorporating thickness-controlled graphene oxide into a highly porous support layer. J. Mater. Chem. A 2015, 3, 22053–22060. [Google Scholar] [CrossRef]
- Lee, J.; Wang, R.; Bae, T.-H. High-performance reverse osmosis membranes fabricated on highly porous microstructured supports. Desalination 2018, 436, 48–55. [Google Scholar] [CrossRef]
- Lee, J.; Lim, Y.J. On the Control Strategy to Improve the Salt Rejection of a Thin-Film Composite Reverse Osmosis Membrane. Appl. Sci. 2021, 11, 7619. [Google Scholar] [CrossRef]
- Morelos-Gomez, A.; Cruz-Silva, R.; Muramatsu, H.; Ortiz-Medina, J.; Araki, T.; Fukuyo, T.; Tejima, S.; Takeuchi, K.; Hayashi, T.; Terrones, M.; et al. Effective NaCl and dye rejection of hybrid graphene oxide/graphene layered membranes. Nat. Nanotechnol. 2017, 12, 1083–1088. [Google Scholar] [CrossRef]
- Guan, K.; Jia, Y.; Lin, Y.; Wang, S.; Matsuyama, H. Chemically Converted Graphene Nanosheets for the Construction of Ion-Exclusion Nanochannel Membranes. Nano Lett. 2021, 21, 3495–3502. [Google Scholar] [CrossRef]
- Cohen-Tanugi, D.; Grossman, J.C. Water Desalination across Nanoporous Graphene. Nano Lett. 2012, 12, 3602–3608. [Google Scholar] [CrossRef] [PubMed]
- Chen, Q.; Yang, X. Pyridinic nitrogen doped nanoporous graphene as desalination membrane: Molecular simulation study. J. Membr. Sci. 2015, 496, 108–117. [Google Scholar] [CrossRef]
- Guerrero-Avilés, R.; Orellana, W. Energetics and diffusion of liquid water and hydrated ions through nanopores in graphene: Ab initio molecular dynamics simulation. Phys. Chem. Chem. Phys. 2017, 19, 20551–20558. [Google Scholar] [CrossRef] [PubMed]
- Gao, H.; Shi, Q.; Rao, D.; Zhang, Y.; Su, J.; Liu, Y.; Wang, Y.; Deng, K.; Lu, R. Rational design and strain engineering of na-noporous boron nitride nanosheet membranes for water desalination. J. Phys. Chem. C 2017, 121, 22105–22113. [Google Scholar] [CrossRef]
- Liu, Y.; Cheng, Z.; Song, M.; Jiang, L.; Fu, G.; Liu, L.; Li, J. Molecular dynamics simulation-directed rational design of nanoporous graphitic carbon nitride membranes for water desalination. J. Membr. Sci. 2021, 620, 118869. [Google Scholar] [CrossRef]
- Pathania, Y. Gaganpreet Self-passivated nanoporous phosphorene as a membrane for water desalination. Desalination 2020, 497, 114777. [Google Scholar] [CrossRef]
- Li, Z.; Han, Q.; Qiu, Y. Field-enhanced water transport in sub-nanometer graphene nanopores. Desalination 2022, 528, 115610. [Google Scholar] [CrossRef]
- Celebi, K.; Buchheim, J.; Wyss, R.M.; Droudian, A.; Gasser, P.; Shorubalko, I.; Kye, J.-I.; Lee, C.; Park, H.G. Ultimate Permeation Across Atomically Thin Porous Graphene. Science 2014, 344, 289–292. [Google Scholar] [CrossRef]
- Buchheim, J.; Wyss, R.M.; Shorubalko, I.; Park, H.G. Understanding the interaction between energetic ions and freestanding graphene towards practical 2D perforation. Nanoscale 2016, 8, 8345–8354. [Google Scholar] [CrossRef] [Green Version]
- Roy, A.; Shen, J.; Joshi, H.; Song, W.; Tu, Y.-M.; Chowdhury, R.; Ye, R.; Li, N.; Ren, C.; Kumar, M.; et al. Foldamer-based ultrapermeable and highly selective artificial water channels that exclude protons. Nat. Nanotechnol. 2021, 16, 911–917. [Google Scholar] [CrossRef]
- Shen, J.; Ye, R.; Zeng, H. Crystal Packing-Guided Construction of Hetero-Oligomeric Peptidic Ensembles as Synthetic 3-in-1 Transporters. Angew. Chem. Int. Ed. 2021, 60, 12924–12930. [Google Scholar] [CrossRef] [PubMed]
- Shen, J.; Ye, R.; Romanies, A.; Roy, A.; Chen, F.; Ren, C.; Liu, Z.; Zeng, H. Aquafoldmer-Based Aquaporin-like Synthetic Water Channel. J. Am. Chem. Soc. 2020, 142, 10050–10058. [Google Scholar] [CrossRef] [PubMed]
- Lagona, J.; Mukhopadhyay, P.; Chakrabarti, S.; Isaacs, L. The Cucurbit[n]uril Family. Angew. Chem. Int. Ed. 2005, 44, 4844–4870. [Google Scholar] [CrossRef]
- Barrow, S.J.; Kasera, S.; Rowland, M.J.; del Barrio, J.; Scherman, O.A. Cucurbituril-Based Molecular Recognition. Chem. Rev. 2015, 115, 12320–12406. [Google Scholar] [CrossRef] [PubMed] [Green Version]
- Lee, J.W.; Samal, S.; Selvapalam, N.; Kim, H.-J.; Kim, K. Cucurbituril homologues and derivatives: New opportunities in su-pramolecular chemistry. Acc. Chem. Res. 2003, 36, 621–630. [Google Scholar] [CrossRef]
- Baek, K.; Xu, D.; Murray, J.; Kim, S.; Kim, K. Permselective 2D-polymer-based membrane tuneable by host–guest chemistry. Chem. Commun. 2016, 52, 9676–9678. [Google Scholar] [CrossRef] [PubMed]
- Cao, X.; Guo, J.; Cai, J.; Liu, M.; Japip, S.; Xing, W.; Sun, S. The encouraging improvement of polyamide nanofiltration membrane by cucurbituril-based host–guest chemistry. AIChE J. 2020, 66, e16879. [Google Scholar] [CrossRef]
- Lee, J.; Zhou, F.; Baek, K.; Kim, W.; Su, H.; Kim, K.; Wang, R.; Bae, T.-H. Use of rigid cucurbit[6]uril mediating selective water transport as a potential remedy to improve the permselectivity and durability of reverse osmosis membranes. J. Membr. Sci. 2021, 623, 119017. [Google Scholar] [CrossRef]
- Baek, K.; Yun, G.; Kim, Y.; Kim, D.; Hota, R.; Hwang, I.; Xu, D.; Ko, Y.H.; Gu, G.H.; Suh, J.H. Free-standing, single-monomer-thick two-dimensional polymers through covalent self-assembly in solution. J. Am. Chem. Soc. 2013, 135, 6523–6528. [Google Scholar] [CrossRef]
- Van der Spoel, D.; Lindahl, E.; Hess, B.; Groenhof, G.; Mark, A.E.; Berendsen, H.J.C. GROMACS: Fast, flexible, and free. J. Comput. Chem. 2005, 26, 1701–1718. [Google Scholar] [CrossRef]
- Duan, Y.; Wu, C.; Chowdhury, S.; Lee, M.C.; Xiong, G.; Zhang, W.; Yang, R.; Cieplak, P.; Luo, R.; Lee, T.; et al. A point-charge force field for molecular mechanics simulations of proteins based on condensed-phase quantum mechanical calculations. J. Comput. Chem. 2003, 24, 1999–2012. [Google Scholar] [CrossRef] [PubMed]
- Jorgensen, W.L.; Chandrasekhar, J.; Madura, J.D.; Impey, R.W.; Klein, M.L. Comparison of simple potential functions for simulating liquid water. J. Chem. Phys. 1983, 79, 926–935. [Google Scholar] [CrossRef]
- Dennington, R.; Keith, T.; Millam, J. GaussView; Version 5; Semichem Inc.: Shawnee Mission, KS, USA, 2009. [Google Scholar]
- Kusalik, P.G.; Svishchev, I.M. The Spatial Structure in Liquid Water. Science 1994, 265, 1219–1221. [Google Scholar] [CrossRef] [PubMed]
- Jedlovszky, P.; Richardi, J. Comparison of different water models from ambient to supercritical conditions: A Monte Carlo simulation and molecular Ornstein–Zernike study. J. Chem. Phys. 1999, 110, 8019–8031. [Google Scholar] [CrossRef]
- Sorenson, J.M.; Hura, G.; Glaeser, R.M.; Head-Gordon, T. What can X-ray scattering tell us about the radial distribution func-tions of water? J. Chem. Phys. 2000, 113, 9149–9161. [Google Scholar] [CrossRef]
- Zhao, Y.; Truhlar, D.G. The M06 suite of density functionals for main group thermochemistry, thermochemical kinetics, noncovalent interactions, excited states, and transition elements: Two new functionals and systematic testing of four M06-class functionals and 12 other functionals. Theor. Chem. Acc. 2008, 120, 215–241. [Google Scholar] [CrossRef] [Green Version]
- Ditchfield, R.; Hehre, W.J.; Pople, J.A. Self-consistent molecular-orbital methods. Extended Gaussian-type basis for molecular-orbital studies of organic molecules. J. Chem. Phys. 1971, 54, 724–728. [Google Scholar] [CrossRef]
- Frisch, M.J.; Trucks, G.W.; Schlegel, H.B.; Scuseria, G.E.; Robb, M.A.; Cheeseman, J.R.; Scalmani, G.; Barone, V.; Mennucci, B.; Petersson, G.A.; et al. Gaussian 09; Revision A.1; Gaussian, Inc.: Wallingford, CT, USA, 2009. [Google Scholar]





Publisher’s Note: MDPI stays neutral with regard to jurisdictional claims in published maps and institutional affiliations. |
© 2022 by the authors. Licensee MDPI, Basel, Switzerland. This article is an open access article distributed under the terms and conditions of the Creative Commons Attribution (CC BY) license (https://creativecommons.org/licenses/by/4.0/).
Share and Cite
Zhou, F.; Lee, J.; Wang, R.; Su, H. Mechanisms of Efficient Desalination by a Two-Dimensional Porous Nanosheet Prepared via Bottom-Up Assembly of Cucurbit[6]urils. Membranes 2022, 12, 252. https://doi.org/10.3390/membranes12030252
Zhou F, Lee J, Wang R, Su H. Mechanisms of Efficient Desalination by a Two-Dimensional Porous Nanosheet Prepared via Bottom-Up Assembly of Cucurbit[6]urils. Membranes. 2022; 12(3):252. https://doi.org/10.3390/membranes12030252
Chicago/Turabian StyleZhou, Feng, Jaewoo Lee, Rong Wang, and Haibin Su. 2022. "Mechanisms of Efficient Desalination by a Two-Dimensional Porous Nanosheet Prepared via Bottom-Up Assembly of Cucurbit[6]urils" Membranes 12, no. 3: 252. https://doi.org/10.3390/membranes12030252
APA StyleZhou, F., Lee, J., Wang, R., & Su, H. (2022). Mechanisms of Efficient Desalination by a Two-Dimensional Porous Nanosheet Prepared via Bottom-Up Assembly of Cucurbit[6]urils. Membranes, 12(3), 252. https://doi.org/10.3390/membranes12030252

