Ginger Loaded Polyethylene Oxide Electrospun Nanomembrane: Rheological and Antimicrobial Attributes
Abstract
1. Introduction
2. Materials & Methods
2.1. Materials
2.2. Methods
2.2.1. Filtration of the Ginger Extract
2.2.2. PEO/GE Solution Preparation
2.2.3. Needleless Electrospinning
3. Characterization
3.1. Dynamic Light Scattering
3.2. Frequency Sweep Test
3.3. Attenuated Total Reflectance-Fourier Transform Infrared Spectroscopy (ATR-FTIR)
3.4. Field-Emission Scanning Electron Microscopy (FESEM)
3.5. Agar Disc Diffusion Test
3.6. Agar Dilution Test
4. Results & Discussion
4.1. Particle Size Analysis
4.2. Chemical Group Analysis of Nanofibres
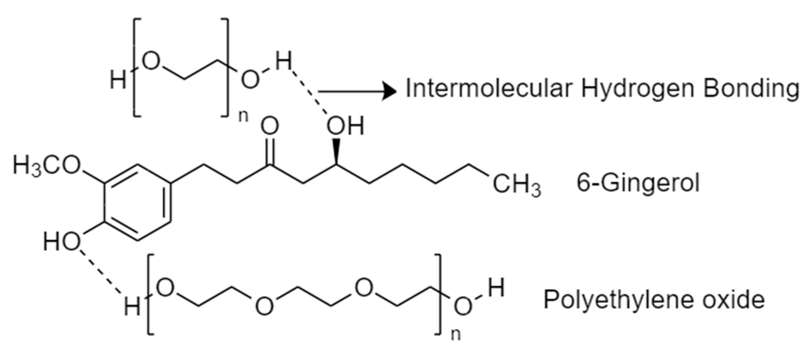
4.3. Rheological Properties
4.3.1. Viscoelastic Behaviour of PEO/GE Solutions at Different PEO Concentrations
4.3.2. Viscoelastic Behaviour of PEO/GE Solutions at Different GE Concentrations
4.4. Nanofibre Morphological Analysis
4.5. Qualitative Antibacterial Activity
4.6. Quantitative Antibacterial Activity
5. Conclusions
Author Contributions
Funding
Conflicts of Interest
References
- Domanović, D.; Ushiro-Lumb, I.; Compernolle, V.; Brusin, S.; Funk, M.; Gallian, P.; Georgsen, J.; Janssen, M.; Jimenez-Marco, T.; Knutson, F.; et al. Pathogen reduction of blood components during outbreaks of infectious diseases in the European Union: An expert opinion from the European Centre for Disease Prevention and Control consultation meeting. Blood Transfus. 2019, 17, 433. [Google Scholar]
- Ameh, T.; Sayes, C.M. The potential exposure and hazards of copper nanoparticles: A review. Environ. Toxicol. Pharmacol. 2019, 71, 103220. [Google Scholar] [CrossRef]
- Baveye, P.; Laba, M. Aggregation and toxicology of titanium dioxide nanoparticles. Environ. Health Perspect. 2008, 116, A152. [Google Scholar] [CrossRef] [PubMed]
- Subramaniam, V.D.; Prasad, S.V.; Banerjee, A.; Gopinath, M.; Murugesan, R.; Marotta, F.; Sun, X.-F.; Pathak, S. Health hazards of nanoparticles: Understanding the toxicity mechanism of nanosized ZnO in cosmetic products. Drug Chem. Toxicol. 2019, 42, 84–93. [Google Scholar] [CrossRef] [PubMed]
- Vimbela, G.V.; Ngo, S.M.; Fraze, C.; Yang, L.; Stout, D.A. Antibacterial properties and toxicity from metallic nanomaterials. Int. J. Nanomed. 2017, 12, 3941. [Google Scholar] [CrossRef]
- Sun, X.; Yin, L.; Zhu, H.; Zhu, J.; Hu, J.; Luo, X.; Huang, H.; Fu, Y. Enhanced Antimicrobial Cellulose/Chitosan/ZnO Biodegradable Composite Membrane. Membranes 2022, 12, 239. [Google Scholar] [CrossRef]
- Chabalala, M.B.; Gumbi, N.N.; Mamba, B.B.; Al-Abri, M.Z.; Nxumalo, E.N. Photocatalytic Nanofiber Membranes for the Degradation of Micropollutants and Their Antimicrobial Activity: Recent Advances and Future Prospects. Membranes 2021, 11, 678. [Google Scholar] [CrossRef] [PubMed]
- Khan, M.F.; Tang, H.; Lyles, J.T.; Pineau, R.; Mashwani, Z.U.R.; Quave, C.L. Antibacterial properties of medicinal plants from Pakistan against multidrug-resistant ESKAPE pathogens. Front. Pharmacol. 2018, 9, 815. [Google Scholar] [CrossRef] [PubMed]
- Gyawali, R.; Ibrahim, S.A. Natural products as antimicrobial agents. Food Control 2014, 46, 412–429. [Google Scholar] [CrossRef]
- Aljaafari, M.; Alhosani, M.S.; Abushelaibi, A.; Lai, K.S.; Lim, S.H.E. Essential oils: Partnering with antibiotics. In Essential Oils-Oils of Nature; IntechOpen: London, UK, 2019. [Google Scholar]
- Silva, N.; Fernandes, A., Jr. Biological properties of medicinal plants: A review of their antimicrobial activity. J. Venom. Anim. Toxins Incl. Trop. Dis. 2010, 16, 402–413. [Google Scholar] [CrossRef]
- Ahmad, I.; Mehmood, Z.; Mohammad, F. Screening of some Indian medicinal plants for their antimicrobial properties. J. Ethnopharmacol. 1998, 62, 183–193. [Google Scholar] [CrossRef]
- Khanzada, H.; Salam, A.; Qadir, M.B.; Phan, D.-N.; Hassan, T.; Munir, M.U.; Pasha, K.; Hassan, N.; Khan, M.Q.; Kim, I.S. Fabrication of promising antimicrobial aloe vera/PVA electrospun nanofibers for protective clothing. Materials 2020, 13, 3884. [Google Scholar] [CrossRef] [PubMed]
- Govindarajan, V.S.; Connell, D.W. Ginger—chemistry, technology, and quality evaluation: Part 1. Crit. Rev. Food Sci. Nutr. 1983, 17, 1–96. [Google Scholar] [CrossRef] [PubMed]
- Beristain-Bauza, S.D.C.; Hernández-Carranza, P.; Cid-Pérez, T.S.; Ávila-Sosa, R.; Ruiz-López, I.I.; Ochoa-Velasco, C.E. Antimicrobial activity of ginger (Zingiber officinale) and its application in food products. Food Rev. Int. 2019, 35, 407–426. [Google Scholar] [CrossRef]
- Malhotra, S.; Singh, A.P. Medicinal properties of ginger (Zingiber officinale Rosc.). Nat. Prod. Rad. 2003, 2, 296–300. [Google Scholar]
- Ali, B.H.; Blunden, G.; Tanira, M.O.; Nemmar, A. Some phytochemical, pharmacological and toxicological properties of ginger (Zingiber officinale Roscoe): A review of recent research. Food Chem. Toxicol. 2008, 46, 409–420. [Google Scholar] [CrossRef]
- Firoozi, M.; Rezapour-Jahani, S.; Shahvegharasl, Z.; Anarjan, N. Ginger essential oil nanoemulsions: Preparation and physicochemical characterization and antibacterial activities evaluation. J. Food Process Eng. 2020, 43, e13434. [Google Scholar] [CrossRef]
- Masoumian, M.; Zandiand, M. Antimicrobial activity of some medicinal plant extracts against multidrug resistant bacteria. Zahedan J. Res. Med. Sci. 2017, 19. [Google Scholar] [CrossRef]
- Borges, A.; José, H.; Homem, V.; Simões, M. Comparison of Techniques and Solvents on the Antimicrobial and Antioxidant Potential of Extracts from Acacia dealbata and Olea europaea. Antibiotics 2020, 9, 48. [Google Scholar] [CrossRef]
- Nascimento, G.G.; Locatelli, J.; Freitas, P.C.; Silva, G.L. Antibacterial activity of plant extracts and phytochemicals on antibiotic-resistant bacteria. Braz. J. Microbiol. 2000, 31, 247–256. [Google Scholar] [CrossRef]
- Paz, J.E.W.; Contreras, C.R.; Munguía, A.R.; Aguilar, C.N.; Inungaray, M.L.C. Inungaray Phenolic content and antibacterial activity of extracts of Hamelia patens obtained by different extraction methods. Braz. J. Microbiol. 2018, 49, 656–661. [Google Scholar] [CrossRef] [PubMed]
- Altemimi, A.; Lakhssassi, N.; Baharlouei, A.; Watson, D.G.; Lightfoot, D.A. Lightfoot Phytochemicals: Extraction, isolation, and identification of bioactive compounds from plant extracts. Plants 2017, 6, 42. [Google Scholar] [CrossRef] [PubMed]
- Mani, M.P.; Jaganathan, S.K.; Ismail, A.F. Appraisal of electrospun textile scaffold comprising polyurethane decorated with ginger nanofibers for wound healing applications. J. Ind. Text. 2019, 49, 648–662. [Google Scholar] [CrossRef]
- Khan, B.A.; Ullah, S.; Khan, M.K.; Uzair, B.; Menaa, F.; Braga, V.A. Fabrication, physical characterizations, and in vitro, in vivo evaluation of ginger extract-loaded gelatin/poly (vinyl alcohol) hydrogel films against burn wound healing in animal model. AAPS PharmSciTech 2020, 21, 1–10. [Google Scholar] [CrossRef]
- Ngampunwetchakul, L.; Toonkaew, S.; Supaphol, P.; Suwantong, O. Semi-solid poly (vinyl alcohol) hydrogels containing ginger essential oil encapsulated in chitosan nanoparticles for use in wound management. J. Polym. Res. 2019, 26, 1–8. [Google Scholar] [CrossRef]
- Abd El-Hack, M.E.; Alagawany, M.; Shaheen, H.; Samak, D.; Othman, S.I.; Allam, A.A.; Taha, A.E.; Khafaga, A.F.; Arif, M.; Osman, A.; et al. Ginger and its derivatives as promising alternatives to antibiotics in poultry feed. Animals 2020, 10, 452. [Google Scholar] [CrossRef]
- Abral, H.; Ariksa, J.; Mahardika, M.; Handayani, D.; Aminah, I.; Sandrawati, N.; Pratama, A.B.; Fajri, N.; Sapuan, S.; Ilyas, R. Transparent and antimicrobial cellulose film from ginger nanofiber. Food Hydrocoll. 2020, 98, 105266. [Google Scholar] [CrossRef]
- Lorenzo, J.M.; Sineiro, J.; Amado, I.R.; Franco, D. Influence of natural extracts on the shelf life of modified atmosphere-packaged pork patties. Meat Sci. 2014, 96, 526–534. [Google Scholar] [CrossRef]
- Bhattarai, P.; Thapa, K.; Basnet, R.; Sharma, S. Electrospinning: How to produce nanofibers using most inexpensive technique? An insight into the real challenges of electrospinning such nanofibers and its application areas. Int. J. Biomed. Adv. Res. 2014, 5, 401–405. [Google Scholar] [CrossRef]
- Reneker, D.H.; Yarin, A.L.; Zussman, E.; Xu, H. Electrospinning of nanofibers from polymer solutions and melts. Adv. Appl. Mech. 2007, 41, 43–346. [Google Scholar]
- Zhong, S.; Zhang, Y.; Lim, C.T. Fabrication of large pores in electrospun nanofibrous scaffolds for cellular infiltration: A review. Tissue Eng. Part B Rev. 2012, 18, 77–87. [Google Scholar] [CrossRef] [PubMed]
- Filip, P.; Peer, P. Characterization of poly (ethylene oxide) nanofibers—Mutual relations between mean diameter of electrospun nanofibers and solution characteristics. Processes 2019, 7, 948. [Google Scholar] [CrossRef]
- Eatemadi, A.; Daraee, H.; Zarghami, N.; Melat Yar, H.; Akbarzadeh, A. Nanofiber: Synthesis and biomedical applications. Artif. Cells Nanomed. Biotechnol. 2016, 44, 111–121. [Google Scholar] [CrossRef]
- Hromadka, M.; Collins, J.B.; Reed, C.; Han, L.; Kolappa, K.K.; Cairns, B.A.; Andrady, T.; van Aalst, J.A. Nanofiber applications for burn care. J. Burn Care Res. 2008, 29, 695–703. [Google Scholar] [CrossRef]
- Lim, C.T. Nanofiber technology: Current status and emerging developments. Prog. Polym. Sci. 2017, 70, 1–17. [Google Scholar]
- Noor, A.; Afzal, A.; Masood, R.; Khaliq, Z.; Ahmad, S.; Ahmad, F.; Qadir, M.-B.; Irfan, M. Dressings for burn wound: A review. J. Mater. Sci. 2022, 57, 6536–6572. [Google Scholar] [CrossRef]
- Nazir, A.; Khenoussi, N.; Hussain, T.; Abid, S.; Schacher, L.; Adolphe, D.; Zahir, A.; Qadir, M.B.; Khaliq, Z.; Shahzad, A. Enhanced filtration and comfort properties of nonwoven filtering facepiece respirator by the incorporation of polymeric nanoweb. Polym. Bull. 2020, 77, 5155–5173. [Google Scholar] [CrossRef]
- IAlghoraibi, I.; Alomari, S. Different methods for nanofiber design and fabrication. In Handbook of Nanofibers; Springer: Cham, Switzerland, 2018; pp. 1–46. [Google Scholar]
- Poletto, M.; Júnior Ornaghi, H.L.; Visakh, P.; Arao, Y. Composites and Nanocomposites Based on Renewable and Sustainable Materials; Hindawi: London, UK, 2016; Volume 2016. [Google Scholar]
- Almetwally, A.A.; El-Sakhawy, M.; Elshakankery, M.H.; Kasem, M.H. Technology of nano-fibers: Production techniques and properties-Critical review. J. Text. Assoc. 2017, 78, 5–14. [Google Scholar]
- Bajakova, J.; Chaloupek, J.; Lukáš, D.; Lacarin, M. Drawing—The production of individual nanofibers by experimental method. In Proceedings of the 3rd International Conference on Nanotechnology-Smart Materials (NANOCON’11), Shenzhen, China, 5–8 December 2011; SPIE: Bellingham, WA, USA, 2011. [Google Scholar]
- Ramakrishnan, R.; Gimbun, J.; Samsuri, F.; Narayanamurthy, V.; Gajendran, N.; Lakshmi, Y.S.; Stránská, D.; Ranganathan, B. Needleless electrospinning technology—An entrepreneurial perspective. Indian J. Sci. Technol. 2016, 9, 2–11. [Google Scholar] [CrossRef]
- Kancheva, M.; Toncheva, A.; Manolova, N.; Rashkov, I. Advanced centrifugal electrospinning setup. Mater. Lett. 2014, 136, 150–152. [Google Scholar] [CrossRef]
- Tomaszewski, W.; Szadkowski, M. Europe Investigation of electrospinning with the use of a multi-jet electrospinning head. Fibres Text. East. Eur. 2005, 13, 22. [Google Scholar]
- Wendorff, J.H.; Agarwal, S.; Greiner, A. Electrospinning: Materials, Processing, and Applications; John Wiley & Sons: Hoboken, NJ, USA, 2012. [Google Scholar]
- Zhou, F.L.; Gong, R.H.; Porat, I. Needle and needleless electrospinning for nanofibers. J. Appl. Polym. Sci. 2010, 115, 2591–2598. [Google Scholar] [CrossRef]
- Zaarour, B.; Zhu, L.; Jin, X. A review on the secondary surface morphology of electrospun nanofibers: Formation mechanisms, characterizations, and applications. ChemistrySelect 2020, 5, 1335–1348. [Google Scholar] [CrossRef]
- He, J.; Zhou, Y. Multineedle electrospinning. In Electrospinning: Nanofabrication and Applications; Elsevier: Amsterdam, The Netherlands, 2019; pp. 201–218. [Google Scholar]
- Wei, L.; Sun, R.; Liu, C.; Xiong, J.; Qin, X. Mass production of nanofibers from needleless electrospinning by a novel annular spinneret. Mater. Des. 2019, 179, 107885. [Google Scholar] [CrossRef]
- Prabu, G.T.V.; Dhurai, B. A novel profiled multi-pin electrospinning system for nanofiber production and encapsulation of nanoparticles into nanofibers. Sci. Rep. 2020, 10, 1–11. [Google Scholar] [CrossRef]
- Ahmad, A.; Ali, U.; Nazir, A.; Shahzad, A.; Khaliq, Z.; Qadir, M.B.; Khan, M.A.; Ali, S.; Hassan, M.A.; Abid, S.; et al. Toothed wheel needleless electrospinning: A versatile way to fabricate uniform and finer nanomembrane. J. Mater. Sci. 2019, 54, 13834–13847. [Google Scholar] [CrossRef]
- Mfoafo, K.; Kwon, Y.; Omidi, Y.; Omidian, H. Contemporary Applications of thermogelling PEO-PPO-PEO triblock copolymers. J. Drug Deliv. Sci. Technol. 2022, 103182. [Google Scholar] [CrossRef]
- Moon, S.; Ryu, B.Y.; Choi, J.; Jo, B.; Farris, R.J. The morphology and mechanical properties of sodium alginate based electrospun poly (ethylene oxide) nanofibers. Polym. Eng. Sci. 2009, 49, 52–59. [Google Scholar] [CrossRef]
- Avci, H.; Monticello, R.; Kotek, R. Polymer Edition Preparation of antibacterial PVA and PEO nanofibers containing Lawsonia Inermis (henna) leaf extracts. J. Biomater. Sci. Polym. Ed. 2013, 24, 1815–1830. [Google Scholar] [CrossRef]
- Dhawan, S.; Dhawan, K.; Varma, M.; Sinha, V.R. Applications of poly (ethylene oxide) in drug delivery systems. Pharm. Technol. 2005, 29, 82–96. [Google Scholar]
- Partheniadis, I.; Nikolakakis, I.; Laidmäe, I.; Heinämäki, J. A mini-review: Needleless electrospinning of nanofibers for pharmaceutical and biomedical applications. Processes 2020, 8, 673. [Google Scholar] [CrossRef]
- Yalcinkaya, F. A review on advanced nanofiber technology for membrane distillation. J. Eng. Fibers Fabr. 2019, 14, 1558925018824901. [Google Scholar] [CrossRef]
- Yamamoto, O. Influence of particle size on the antibacterial activity of zinc oxide. Int. J. Inorg. Mater. 2001, 3, 643–646. [Google Scholar] [CrossRef]
- Abdelrazek, E.M.; Abdelghany, A.M.; Badr, S.I.; Morsi, M.A. Evaluation of optical parameters and structural variations of UV irradiated (PEO/PVP)/Au polymer nanocomposites. Res. J. Pharm. Biol. Chem. Sci. 2016, 7, 1877–1890. [Google Scholar]
- Hegazy, D.E.; Mahmoud, G.A. Radiation synthesis and characterization of polyethylene oxide/chitosan-silver nanocomposite for biomedical applications. Arab J. Nucl. Sci. Appl. 2014, 47, 1–14. [Google Scholar]
- Mao, Q.-Q.; Xu, X.-Y.; Cao, S.-Y.; Gan, R.-Y.; Corke, H.; Beta, T.; Li, H.-B. Bioactive compounds and bioactivities of ginger (Zingiber officinale Roscoe). Foods 2019, 8, 185. [Google Scholar] [CrossRef] [PubMed]
- Ali, A.M.A.; El-Nour, M.E.M.; Yagi, S.M. Total phenolic and flavonoid contents and antioxidant activity of ginger (Zingiber officinale Rosc.) rhizome, callus and callus treated with some elicitors. J. Genet. Eng. Biotechnol. 2018, 16, 677–682. [Google Scholar] [CrossRef]
- Saharuddin, T.S.T.; Ozair, L.N.; Zulkifli, A.S.; Shah, N.S.H.; Sahidan, N.S. Characterization of encapsulated ginger essential oils and its antimicrobial properties. J. Acad. 2020, 8, 1–6. [Google Scholar]
- Khaliq, Z.; Kim, B.C. Molecular characterization of thermoreversibility and temperature dependent physical properties of cellulose solution in N, N-dimethylacetamide and lithium chloride. Macromol. Res. 2016, 24, 547–555. [Google Scholar] [CrossRef]
- Khaliq, Z.; Kim, B.C. Molecular characterization on the anomalous viscosity behavior of cellulose solutions in N, N-dimethyl acetamide and lithium chloride. Macromol. Res. 2016, 24, 463–470. [Google Scholar] [CrossRef]
- Williams, M.C. Molecular rheology of polymer solutions: Interpretation and utility. AIChE J. 1975, 21, 1–25. [Google Scholar] [CrossRef]
- Maerker, J.M.; Sinton, S.W. Rheology resulting from shear-induced structure in associating polymer solutions. J. Rheol. 1986, 30, 77–99. [Google Scholar] [CrossRef]
- Rošic, R.; Pelipenko, J.; Kocbek, P.; Baumgartner, S.; Bešter-Rogač, M.; Kristl, J. The role of rheology of polymer solutions in predicting nanofiber formation by electrospinning. Eur. Polym. J. 2012, 48, 1374–1384. [Google Scholar] [CrossRef]
- Eda, G.; Liu, J.; Shivkumar, S. Flight path of electrospun polystyrene solutions: Effects of molecular weight and concentration. Mater. Lett. 2007, 61, 1451–1455. [Google Scholar] [CrossRef]
- Şener, A.G.; Altay, A.S.; Altay, F. Effect of voltage on morphology of electrospun nanofibers. In Proceedings of the 7th International Conference on Electrical and Electronics Engineering (ELECO), Bursa, Turkey, 1–4 December 2011; pp. I-324–I-328. [Google Scholar]
- Liu, Y.; He, J.H.; Yu, J.Y.; Zeng, H.M. Controlling numbers and sizes of beads in electrospun nanofibers. Polym. Int. 2008, 57, 632–636. [Google Scholar] [CrossRef]
- Usman, A.L.İ.; Abbas, A.; Aslam, S.; Haitao, N.İ.U.; Qadir, M.B.; Tong, L.İ.N.; Aleem, A.U. Influence of Spinneret Polarity in Needleless Electrospinning. Text. Appar. 2021, 31, 10–18. [Google Scholar]
- Abbasi, A.; Nasef, M.M.; Takeshi, M.; Faridi-Majidi, R. Electrospinning of nylon-6, 6 solutions into nanofibers: Rheology and morphology relationships. Chin. J. Polym. Sci. 2014, 32, 793–804. [Google Scholar] [CrossRef]
- Wang, X.; Shen, Y.; Thakur, K.; Han, J.; Zhang, J.-G.; Hu, F.; Wei, Z.-J. Antibacterial activity and mechanism of ginger essential oil against Escherichia coli and Staphylococcus aureus. Molecules 2020, 25, 3955. [Google Scholar] [CrossRef]










| Factor | Level (wt%) | ||
|---|---|---|---|
| PEO conc. (wt%) | 3 | 4 | 5 |
| Ginger extract: HPLC water | 30:70 | 20:80 | 10:90 |
| Sample ID | PEO Conc. (wt%) | Ginger Extract Conc. (wt%) |
|---|---|---|
| PEO3% GE10% | 3 | 10 |
| PEO4% GE10% | 4 | 10 |
| PEO5% GE10% | 5 | 10 |
| PEO5% GE20% | 5 | 20 |
| PEO5% GE30% | 5 | 30 |
| Sample | Sample Description | Zone of Inhibition (mm) | Bacterial Growth under Specimen |
|---|---|---|---|
| a | 5% PEO 30% Ginger | 2 | Nil |
| b | 5% PEO 20% Ginger | 1.5 | Nil |
| c | 5% PEO 10% Ginger | 0.5 | Nil |
| Sample | Sample Description | Reduction (%) |
|---|---|---|
| a | 5% PEO 30% GE | 98.79 |
| b | 5% PEO 20% GE | 96.03 |
| c | 5% PEO 10% GE | 94.47 |
Publisher’s Note: MDPI stays neutral with regard to jurisdictional claims in published maps and institutional affiliations. |
© 2022 by the authors. Licensee MDPI, Basel, Switzerland. This article is an open access article distributed under the terms and conditions of the Creative Commons Attribution (CC BY) license (https://creativecommons.org/licenses/by/4.0/).
Share and Cite
Javaid, A.; Jalalah, M.; Safdar, R.; Khaliq, Z.; Qadir, M.B.; Zulfiqar, S.; Ahmad, A.; Satti, A.N.; Ali, A.; Faisal, M.; et al. Ginger Loaded Polyethylene Oxide Electrospun Nanomembrane: Rheological and Antimicrobial Attributes. Membranes 2022, 12, 1148. https://doi.org/10.3390/membranes12111148
Javaid A, Jalalah M, Safdar R, Khaliq Z, Qadir MB, Zulfiqar S, Ahmad A, Satti AN, Ali A, Faisal M, et al. Ginger Loaded Polyethylene Oxide Electrospun Nanomembrane: Rheological and Antimicrobial Attributes. Membranes. 2022; 12(11):1148. https://doi.org/10.3390/membranes12111148
Chicago/Turabian StyleJavaid, Anum, Mohammed Jalalah, Rimsha Safdar, Zubair Khaliq, Muhammad Bilal Qadir, Sumra Zulfiqar, Adnan Ahmad, Aamir Naseem Satti, Aiman Ali, M. Faisal, and et al. 2022. "Ginger Loaded Polyethylene Oxide Electrospun Nanomembrane: Rheological and Antimicrobial Attributes" Membranes 12, no. 11: 1148. https://doi.org/10.3390/membranes12111148
APA StyleJavaid, A., Jalalah, M., Safdar, R., Khaliq, Z., Qadir, M. B., Zulfiqar, S., Ahmad, A., Satti, A. N., Ali, A., Faisal, M., Alsareii, S. A., & Harraz, F. A. (2022). Ginger Loaded Polyethylene Oxide Electrospun Nanomembrane: Rheological and Antimicrobial Attributes. Membranes, 12(11), 1148. https://doi.org/10.3390/membranes12111148

