Effect of the Solvate Environment of Lithium Cations on the Resistance of the Polymer Electrolyte/Electrode Interface in a Solid-State Lithium Battery
Abstract
1. Introduction
2. Materials and Methods
2.1. Materials
2.2. Liquid Electrolytes
2.3. Synthesis of Nanocomposite Polymer Electrolyte

2.4. Electrode Preparation and Cell Assembly
2.5. Cell Testing
2.6. NMR with Pulsed Magnetic Field Gradient
2.7. High-Resolution NMR
2.8. Quantum Chemical Modeling
3. Results and Discussion
3.1. Investigation of the NPE/LiFePO4-Cathode Interface
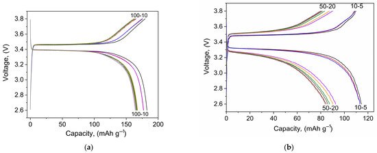
3.2. Li/NPE/LiFePO4 Cells Cycle Tests
3.3. The Self-Diffusion Coefficients. Pulse Field Gradient of NMR (PFG NMR)
3.4. High-Resolution NMR
3.5. Results of Quantum Chemical Modeling
4. Conclusions
Supplementary Materials
Author Contributions
Funding
Institutional Review Board Statement
Data Availability Statement
Conflicts of Interest
References
- Lu, Y.; Zhao, C.-Z.; Yuan, H.; Hu, J.-K.; Huang, J.-Q.; Zhang, Q. Dry Electrode Technology, the Rising Star in Solid-State Battery Industrialization. Matter 2022, 5, 876–898. [Google Scholar] [CrossRef]
- Lee, D.; Lee, H.; Song, T.; Paik, U. Toward High Rate Performance Solid-State Batteries. Adv. Energy Mater. 2022, 12, 2200948. [Google Scholar] [CrossRef]
- Li, L.; Duan, H.; Li, J.; Zhang, L.; Deng, Y.; Chen, G. Toward High Performance All-Solid-State Lithium Batteries with High-Voltage Cathode Materials: Design Strategies for Solid Electrolytes, Cathode Interfaces, and Composite Electrodes. Adv. Energy Mater. 2021, 11, 2003154. [Google Scholar] [CrossRef]
- Ali, S.M.; Arif, N.A.; Hashmi, M.M.; Khan, M.B.; Khan, Z.H. Recent Developments in Electrolyte Materials for Rechargeable Batteries. In Nanomaterials for Innovative Energy Systems and Devices; Khan, Z.H., Ed.; Materials Horizons: From Nature to Nanomaterials; Springer Nature Singapore: Singapore, 2022; pp. 369–415. ISBN 978-981-19055-2-0. [Google Scholar]
- Su, Y.; Zhang, X.; Du, C.; Luo, Y.; Chen, J.; Yan, J.; Zhu, D.; Geng, L.; Liu, S.; Zhao, J.; et al. An All-Solid-State Battery Based on Sulfide and PEO Composite Electrolyte. Small 2022, 18, 2202069. [Google Scholar] [CrossRef] [PubMed]
- Hou, Z.; Xia, S.; Niu, C.; Pang, Y.; Sun, H.; Li, Z.; Xu, Y.; Zheng, S. Tailoring the Interaction of Covalent Organic Framework with the Polyether Matrix toward High-performance Solid-state Lithium Metal Batteries. Carbon Energy 2022, 4, 506–516. [Google Scholar] [CrossRef]
- Abdelmaoula, A.E.; Shu, J.; Cheng, Y.; Xu, L.; Zhang, G.; Xia, Y.; Tahir, M.; Wu, P.; Mai, L. Core–Shell MOF-in-MOF NanoporeBifunctional Host of Electrolyte for High-Performance Solid-State Lithium Batteries. Small Methods 2021, 5, 2100508. [Google Scholar] [CrossRef]
- Oh, D.Y.; Nam, Y.J.; Park, K.H.; Jung, S.H.; Kim, K.T.; Ha, A.R.; Jung, Y.S. Slurry-Fabricable Li+—Conductive Polymeric Binders for Practical All-Solid-State Lithium-Ion Batteries Enabled by Solvate Ionic Liquids. Adv. Energy Mater. 2019, 9, 1802927. [Google Scholar] [CrossRef]
- Mauger, A.; Julien, C.M.; Paolella, A.; Armand, M.; Zaghib, K. Building Better Batteries in the Solid State: A Review. Materials 2019, 12, 3892. [Google Scholar] [CrossRef]
- Zou, C.; Yang, L.; Luo, K.; Liu, L.; Tao, X.; Yi, L.; Liu, X.; Zhang, X.; Wang, X. In Situ Formed Protective Layer: Toward a More Stable Interface between the Lithium Metal Anode and Li6PS5Cl Solid Electrolyte. ACS Appl. Energy Mater. 2022, 5, 8428–8436. [Google Scholar] [CrossRef]
- Chen, X.; Xie, J.; Zhao, X.; Zhu, T. Electrochemical Compatibility of Solid-State Electrolytes with Cathodes and Anodes for All-Solid-State Lithium Batteries: A Review. Adv. Energy Sustain. Res. 2021, 2, 2000101. [Google Scholar] [CrossRef]
- Cong, L.; Li, Y.; Lu, W.; Jie, J.; Liu, Y.; Sun, L.; Xie, H. Unlocking the Poly(Vinylidene Fluoride-Co-Hexafluoropropylene)/Li10GeP2S12 Composite Solid-State Electrolytes for Dendrite-Free Li Metal Batteries Assisting with Perfluoropolyethers as Bifunctional Adjuvant. J. Power Sources 2020, 446, 227365. [Google Scholar] [CrossRef]
- Xu, R.; Cheng, X.-B.; Yan, C.; Zhang, X.-Q.; Xiao, Y.; Zhao, C.-Z.; Huang, J.-Q.; Zhang, Q. Artificial Interphases for Highly Stable Lithium Metal Anode. Matter 2019, 1, 317–344. [Google Scholar] [CrossRef]
- Zhao, C.-Z.; Zhao, B.-C.; Yan, C.; Zhang, X.-Q.; Huang, J.-Q.; Mo, Y.; Xu, X.; Li, H.; Zhang, Q. Liquid Phase Therapy to Solid Electrolyte–Electrode Interface in Solid-State Li Metal Batteries: A Review. Energy Stor. Mater. 2020, 24, 75–84. [Google Scholar] [CrossRef]
- Tang, J.; Wang, L.; Tian, C.; Huang, T.; Zeng, L.; Yu, A. Comparative Performance of LiFePO4 and LiNi0.6Co0.2Mn0.2O2 Cathode Materials for Lithium Batteries with Solid–Liquid Hybrid Electrolytes. J. Power Sources 2021, 515, 230639. [Google Scholar] [CrossRef]
- Wang, C.; Sun, Q.; Liu, Y.; Zhao, Y.; Li, X.; Lin, X.; Banis, M.N.; Li, M.; Li, W.; Adair, K.R.; et al. Boosting the Performance of Lithium Batteries with Solid-Liquid Hybrid Electrolytes: Interfacial Properties and Effects of Liquid Electrolytes. Nano Energy 2018, 48, 35–43. [Google Scholar] [CrossRef]
- Hatz, A.-K.; Calaminus, R.; Feijoo, J.; Treber, F.; Blahusch, J.; Lenz, T.; Reichel, M.; Karaghiosoff, K.; Vargas-Barbosa, N.M.; Lotsch, B.V. Chemical Stability and Ionic Conductivity of LGPS-Type Solid Electrolyte Tetra-Li7SiPS8 after Solvent Treatment. ACS Appl. Energy Mater. 2021, 4, 9932–9943. [Google Scholar] [CrossRef]
- Yu, Q.; Han, D.; Lu, Q.; He, Y.-B.; Li, S.; Liu, Q.; Han, C.; Kang, F.; Li, B. Constructing Effective Interfaces for Li1.5Al0.5Ge1.5 (PO4)3 Pellets To Achieve Room-Temperature Hybrid Solid-State Lithium Metal Batteries. ACS Appl. Mater. Interfaces 2019, 11, 9911–9918. [Google Scholar] [CrossRef]
- Kim, M.-J.; Park, J.-W.; Kim, B.G.; Lee, Y.-J.; Ha, Y.-C.; Lee, S.-M.; Baeg, K.-J. Facile Fabrication of Solution-Processed Solid-Electrolytes for High-Energy-Density All-Solid-State-Batteries by Enhanced Interfacial Contact. Sci. Rep. 2020, 10, 11923. [Google Scholar] [CrossRef]
- Zhang, Z.; Zhang, Q.; Shi, J.; Chu, Y.S.; Yu, X.; Xu, K.; Ge, M.; Yan, H.; Li, W.; Gu, L.; et al. A Self-Forming Composite Electrolyte for Solid-State Sodium Battery with Ultralong Cycle Life. Adv. Energy Mater. 2017, 7, 1601196. [Google Scholar] [CrossRef]
- Oh, D.Y.; Ha, A.R.; Lee, J.E.; Jung, S.H.; Jeong, G.; Cho, W.; Kim, K.S.; Jung, Y.S. Wet-Chemical Tuning of Li3−xPS4 (0≤ x ≤0.3) Enabled by Dual Solvents for All-Solid-State Lithium-Ion Batteries. ChemSusChem 2020, 13, 146–151. [Google Scholar] [CrossRef]
- Cao, Y.; Lou, S.; Sun, Z.; Tang, W.; Ma, Y.; Zuo, P.; Wang, J.; Du, C.; Gao, Y.; Yin, G. Solvate Ionic Liquid Boosting Favorable Interfaces Kinetics to Achieve the Excellent Performance of Li4Ti5O12 Anodes in Li10GeP2S12 Based Solid-State Batteries. Chem. Eng. J. 2020, 382, 123046. [Google Scholar] [CrossRef]
- Fan, B.; Li, W.; Luo, Z.; Zhang, X.; Ma, H.; Fan, P.; Xue, B. Stabilizing Interface between Li2S–P2S5 Glass-Ceramic Electrolyte and Ether Electrolyte by Tuning Solvation Reaction. ACS Appl. Mater. Interfaces 2022, 14, 933–942. [Google Scholar] [CrossRef] [PubMed]
- Yan, S.; Abouali, S.; Yim, C.-H.; Zhou, J.; Wang, J.; Baranova, E.A.; Weck, A.; Thangadurai, V.; Merati, A.; Abu-Lebdeh, Y. Revealing the Role of Liquid Electrolytes in Cycling of Garnet-Based Solid-State Lithium-Metal Batteries. J. Phys. Chem. C 2022, 126, 14027–14035. [Google Scholar] [CrossRef]
- Jeon, H.; Hoang, H.A.; Kim, D. Flexible PVA/BMIMOTf/LLZTO Composite Electrolyte with Liquid-Comparable Ionic Conductivity for Solid-State Lithium Metal Battery. J. Energy Chem. 2022, 74, 128–139. [Google Scholar] [CrossRef]
- Zhang, W.; Nie, J.; Li, F.; Wang, Z.L.; Sun, C. A Durable and Safe Solid-State Lithium Battery with a Hybrid Electrolyte Membrane. Nano Energy 2018, 45, 413–419. [Google Scholar] [CrossRef]
- Sen, S.; Trevisanello, E.; Niemöller, E.; Shi, B.-X.; Simon, F.J.; Richter, F.H. The Role of Polymers in Lithium Solid-State Batteries with Inorganic Solid Electrolytes. J. Mater. Chem. A 2021, 9, 18701–18732. [Google Scholar] [CrossRef]
- Weiss, M.; Simon, F.J.; Busche, M.R.; Nakamura, T.; Schröder, D.; Richter, F.H.; Janek, J. From Liquid- to Solid-State Batteries: Ion Transfer Kinetics of Heteroionic Interfaces. Electrochem. Energy Rev. 2020, 3, 221–238. [Google Scholar] [CrossRef]
- Banerjee, A.; Wang, X.; Fang, C.; Wu, E.A.; Meng, Y.S. Interfaces and Interphases in All-Solid-State Batteries with Inorganic Solid Electrolytes. Chem. Rev. 2020, 120, 6878–6933. [Google Scholar] [CrossRef]
- Wang, P.; Qu, W.; Song, W.; Chen, H.; Chen, R.; Fang, D. Electro–Chemo–Mechanical Issues at the Interfaces in Solid-State Lithium Metal Batteries. Adv. Funct. Mater. 2019, 29, 1900950. [Google Scholar] [CrossRef]
- Li, F.; Li, J.; Zhu, F.; Liu, T.; Xu, B.; Kim, T.-H.; Kramer, M.J.; Ma, C.; Zhou, L.; Nan, C.-W. Atomically Intimate Contact between Solid Electrolytes and Electrodes for Li Batteries. Matter 2019, 1, 1001–1016. [Google Scholar] [CrossRef]
- Li, Y.; Arnold, W.; Jasinski, J.B.; Thapa, A.; Sumanasekera, G.; Sunkara, M.; Narayanan, B.; Druffel, T.; Wang, H. Interface Stability of LiCl-Rich Argyrodite Li6PS5Cl with Propylene Carbonate Boosts High-Performance Lithium Batteries. Electrochim. Acta 2020, 363, 137128. [Google Scholar] [CrossRef]
- Chen, R.; Li, Q.; Yu, X.; Chen, L.; Li, H. Approaching Practically Accessible Solid-State Batteries: Stability Issues Related to Solid Electrolytes and Interfaces. Chem. Rev. 2020, 120, 6820–6877. [Google Scholar] [CrossRef] [PubMed]
- Zhou, D.; Shanmukaraj, D.; Tkacheva, A.; Armand, M.; Wang, G. Polymer Electrolytes for Lithium-Based Batteries: Advances and Prospects. Chem 2019, 5, 2326–2352. [Google Scholar] [CrossRef]
- Rollo-Walker, G.; Malic, N.; Wang, X.; Chiefari, J.; Forsyth, M. Development and Progression of Polymer Electrolytes for Batteries: Influence of Structure and Chemistry. Polymers 2021, 13, 4127. [Google Scholar] [CrossRef]
- Boaretto, N.; Meabe, L.; Martinez-Ibañez, M.; Armand, M.; Zhang, H. Review—Polymer Electrolytes for Rechargeable Batteries: From Nanocomposite to Nanohybrid. J. Electrochem. Soc. 2020, 167, 070524. [Google Scholar] [CrossRef]
- Meng, N.; Zhu, X.; Lian, F. Particles in Composite Polymer Electrolyte for Solid-State Lithium Batteries: A Review. Particuology 2022, 60, 14–36. [Google Scholar] [CrossRef]
- Gao, Y.; Yan, Z.; Gray, J.L.; He, X.; Wang, D.; Chen, T.; Huang, Q.; Li, Y.C.; Wang, H.; Kim, S.H.; et al. Polymer–Inorganic Solid–Electrolyte Interphase for Stable Lithium Metal Batteries under Lean Electrolyte Conditions. Nat. Mater. 2019, 18, 384–389. [Google Scholar] [CrossRef]
- Zhou, D.; Liu, R.; He, Y.-B.; Li, F.; Liu, M.; Li, B.; Yang, Q.-H.; Cai, Q.; Kang, F. SiO2 Hollow Nanosphere-Based Composite Solid Electrolyte for Lithium Metal Batteries to Suppress Lithium Dendrite Growth and Enhance Cycle Life. Adv. Energy Mater. 2016, 6, 1502214. [Google Scholar] [CrossRef]
- Baymuratova, G.R.; Slesarenko, A.A.; Yudina, A.V.; Yarmolenko, O.V. Conducting Properties of Nanocomposite Polymer Electrolytes Based on Polyethylene Glycol Diacrylate and SiO2 Nanoparticles at the Interface with a Lithium Electrode. Russ. Chem. Bull. 2018, 67, 1648–1654. [Google Scholar] [CrossRef]
- Su, S.; Ma, J.; Zhao, L.; Lin, K.; Li, Q.; Lv, S.; Kang, F.; He, Y. Progress and Perspective of the Cathode/Electrolyte Interface Construction in All-solid-state Lithium Batteries. Carbon Energy 2021, 3, 866–894. [Google Scholar] [CrossRef]
- Yarmolenko, O.V.; Yudina, A.V.; Khatmullina, K.G. Nanocomposite Polymer Electrolytes for the Lithium Power Sources (a Review). Russ. J. Electrochem. 2018, 54, 325–343. [Google Scholar] [CrossRef]
- Yao, P.; Yu, H.; Ding, Z.; Liu, Y.; Lu, J.; Lavorgna, M.; Wu, J.; Liu, X. Review on Polymer-Based Composite Electrolytes for Lithium Batteries. Front. Chem. 2019, 7, 522. [Google Scholar] [CrossRef] [PubMed]
- Polymer and ceramic electrolytes for energy storage divices. In Polymer Electrolytes for Energy Storage Devices, 1st ed.; Raghavan, P., Jabeen Fatima, M.J., Eds.; CRC Press: Boca Raton, FL, USA; London, UK; New York, NY, USA, 2021; ISBN 978-1-00-314479-3. [Google Scholar]
- Yudina, A.V.; Berezin, M.P.; Baymuratova, G.R.; Shuvalova, N.I.; Yarmolenko, O.V. Specific features of the synthesis and the physicochemical properties of nanocomposite polymer electrolytes based on poly(ethylene glycol) diacrylate with the introduction of SiO2. Russ. Chem. Bull. 2017, 66, 1278–1283. [Google Scholar] [CrossRef]
- Baymuratova, G.R.; Chernyak, A.V.; Slesarenko, A.A.; Tulibaeva, G.Z.; Volkov, V.I.; Yarmolenko, O.V. Specific Features of Ion Transport in New Nanocomposite Gel Electrolytes Based on Cross-Linked Polymers and Silica Nanoparicles. Russ. J. Electrochem. 2019, 55, 529–536. [Google Scholar] [CrossRef]
- Yudina, A.V.; Baymuratova, G.R.; Tulibaeva, G.Z.; Litvinov, A.L.; Shestakov, A.F.; Yarmolenko, O.V. Conductivity Increase Effect in Nanocomposite Polymer Gel Electrolytes: Manifestation in the IR Spectra. Russ. Chem. Bull. 2020, 69, 1455–1462. [Google Scholar] [CrossRef]
- Yarmolenko, O.V.; Khatmullina, K.G.; Baymuratova, G.R.; Tulibaeva, G.Z.; Bogdanova, L.M.; Shestakov, A.F. Causes of the Double Maximum Conductivity of Nanocomposite Polymer Electrolytes for Lithium Power Sources. Mendeleev Commun. 2018, 28, 41–43. [Google Scholar] [CrossRef]
- Kumar, D.; Suleman, M.; Hashmi, S.A. Studies on Poly(Vinylidene Fluoride-Co-Hexafluoropropylene) Based Gel Electrolyte Nanocomposite for Sodium–Sulfur Batteries. Solid State Ion. 2011, 202, 45–53. [Google Scholar] [CrossRef]
- Kumar, D.; Hashmi, S.A. Ion Transport and Ion–Filler-Polymer Interaction in Poly(Methyl Methacrylate)-Based, Sodium Ion Conducting, Gel Polymer Electrolytes Dispersed with Silica Nanoparticles. J. Power Sources 2010, 195, 5101–5108. [Google Scholar] [CrossRef]
- Baymuratova, G.R.; Khatmullina, K.G.; Yudina, A.V.; Yarmolenko, O.V. Design of a Solid-State Lithium Battery Based on LiFePO4 Cathode and Polymer Gel Electrolyte with Silicon Dioxide Nanoparticles. Russ. J. Electrochem. 2022, 58, 329–340. [Google Scholar] [CrossRef]
- Rushing, J.C.; Leonik, F.M.; Kuroda, D.G. Effect of Solvation Shell Structure and Composition on Ion Pair Formation: The Case Study of LiTDI in Organic Carbonates. J. Phys. Chem. C 2019, 123, 25102–25112. [Google Scholar] [CrossRef]
- Ponnuchamy, V.; Mossa, S.; Skarmoutsos, I. Solvent and Salt Effect on Lithium Ion Solvation and Contact Ion Pair Formation in Organic Carbonates: A Quantum Chemical Perspective. J. Phys. Chem. C 2018, 122, 25930–25939. [Google Scholar] [CrossRef]
- Ravikumar, B.; Mynam, M.; Repaka, S.; Rai, B. Solvation Shell Dynamics Explains Charge Transport Characteristics of LIB Electrolytes. J. Mol. Liq. 2021, 338, 116613. [Google Scholar] [CrossRef]
- Volkov, V.I.; Yarmolenko, O.V.; Chernyak, A.V.; Slesarenko, N.A.; Avilova, I.A.; Baymuratova, G.R.; Yudina, A.V. Polymer Electrolytes for Lithium-Ion Batteries Studied by NMR Techniques. Membranes 2022, 12, 416. [Google Scholar] [CrossRef]
- Volkov, V.I.; Marinin, A.A. NMR Methods for Studying Ion and Molecular Transport in Polymer Electrolytes. Russ. Chem. Rev. 2013, 82, 248–272. [Google Scholar] [CrossRef]
- Miranda-Quintana, R.A.; Smiatek, J. Beneficial Properties of Solvents and Ions for Lithium Ion and Post-Lithium Ion Batteries: Implications from Charge Transfer Models. Electrochim. Acta 2021, 384, 138418. [Google Scholar] [CrossRef]
- Lee, H.; Hwang, S.; Kim, M.; Kwak, K.; Lee, J.; Han, Y.-K.; Lee, H. Why Does Dimethyl Carbonate Dissociate Li Salt Better Than Other Linear Carbonates? Critical Role of Polar Conformers. J. Phys. Chem. Lett. 2020, 11, 10382–10387. [Google Scholar] [CrossRef] [PubMed]
- Zhang, S.S. Design Aspects of Electrolytes for Fast Charge of Li-ion Batteries. InfoMat 2021, 3, 125–130. [Google Scholar] [CrossRef]
- Yao, N.; Chen, X.; Fu, Z.-H.; Zhang, Q. Applying Classical, Ab Initio, and Machine-Learning Molecular Dynamics Simulations to the Liquid Electrolyte for Rechargeable Batteries. Chem. Rev. 2022, 122, 10970–11021. [Google Scholar] [CrossRef]
- Suh, K.-J.; Hong, Y.-S.; Skirda, V.D.; Volkov, V.I.; Lee, C.-Y.J.; Lee, C.-H. Water Self-Diffusion Behavior in Yeast Cells Studied by Pulsed Field Gradient NMR. Biophys. Chem. 2003, 104, 121–130. [Google Scholar] [CrossRef]
- Hayamizu, K.; Aihara, Y. Ion and Solvent Diffusion and Ion Conduction of PC-DEC and PC-DME Binary Solvent Electrolytes of LiN(SO2CF3)2. Electrochim. Acta 2004, 49, 3397–3402. [Google Scholar] [CrossRef]
- Perdew, J.P.; Burke, K.; Ernzerhof, M. Generalized Gradient Approximation Made Simple. Phys. Rev. Lett. 1996, 77, 3865–3868. [Google Scholar] [CrossRef] [PubMed]
- Stevens, W.J.; Basch, H.; Krauss, M.J. Valence basis set for transition metals (available Li-Rn) with corresponding ECPs. J. Chem. Phys. 1984, 81, 6026–6033. [Google Scholar] [CrossRef]
- Laikov, D.N. A New Parametrizable Model of Molecular Electronic Structure. J. Chem. Phys. 2011, 135, 134120. [Google Scholar] [CrossRef]
- Laikov, D.N. A New Class of Atomic Basis Functions for Accurate Electronic Structure Calculations of Molecules. Chem. Phys. Lett. 2005, 416, 116–120. [Google Scholar] [CrossRef]
- Laikov, D.N. Fast Evaluation of Density Functional Exchange-Correlation Terms Using the Expansion of the Electron Density in Auxiliary Basis Sets. Chem. Phys. Lett. 1997, 281, 151–156. [Google Scholar] [CrossRef]
- Hong, E.-S.; Okada, S.; Sonoda, T.; Gopukumar, S.; Yamaki, J. Thermal Stability of Electrolytes with Mixtures of LiPF6 and LiBF4 Used in Lithium-Ion Cells. J. Electrochem. Soc. 2004, 151, A1836. [Google Scholar] [CrossRef]
- Yarmolenko, O.V.; Efimov, O.N.; Obolonkova, E.S.; Ponomarenko, A.T.; Kotova, A.V.; Matveeva, I.A.; Zapadinskii, B.I. Polymeric gel electrolyte based on oligo(urethane dimethacrylate) and poly(propylene glycol monomethacrylate): A study by scanning electron microscopy. Polym. Sci. Ser. A 2004, 46, 773. [Google Scholar]
- Chang, Z.; Qiao, Y.; Deng, H.; Yang, H.; He, P.; Zhou, H. A Liquid Electrolyte with De-Solvated Lithium Ions for Lithium-Metal Battery. Joule 2020, 4, 1776–1789. [Google Scholar] [CrossRef]
- Yilmazer, N.D.; Korth, M. Enhanced Semiempirical QM Methods for Biomolecular Interactions. Comput. Struct. Biotechnol. J. 2015, 13, 169–175. [Google Scholar] [CrossRef]







| No. | Electrolyte | Abbreviation |
|---|---|---|
| 1 | 1 M LiBF4 in GBL | LiBF4—GBL |
| 2 | 1 M LiBF4 in DOL/DME (1:1 v/v) | LiBF4—DOL/DME |
| 3 | 1 M LiTFSI in DOL/DME (1:1 v/v) | LiTFSI—DOL/DME |
| 4 | 1 M LiBF4 in GBL + 1M LiTFSI in DOL/DME (1:1 v/v) | LiBF4—LiTFSI—GBL/DOL/DME |
| Sample | LiBF4 (7Li) | LiTFSI (7Li) | LiBF4 (19F) | LiTFSI (19F) | GBL (1H) | DOL (1H) | DME (1H) | Conductivity, mS cm−1 |
|---|---|---|---|---|---|---|---|---|
| (1) LiBF4—GBL | 1.8 × 10−10 | 2.5 × 10−10 | 4.0 × 10−10 | 8.0 | ||||
| (2) LiBF4—DOL/DME | 6.8 × 10−10 | 7.0 × 10−10 | 1.6 × 10−9 | 1.3 × 10−9 | 5.7 | |||
| (3) LiTFSI—DOL/DME | 4.7 × 10−10 | 4.0 × 10−10 | 1.1 × 10−9 | 7.3 × 10−10 | 9.4 | |||
| (4) LiBF4—LiTFSI—GBL/DOL/DME | 3.3 × 10−10 | 3.6 × 10−10 | 3.9 × 10−10 | 6.4 × 10−10 | 8.5 × 10−10 | 6.5 × 10−10 | 10 | |
| (5) Solvents | 7.2 × 10−10 | 2.1 × 10−9 | 2.8 × 10−9 | |||||
| (6) DOL/DME(1:1) | 2.0 × 10−9 | 2.2 × 10−9 | ||||||
| Solvents | Electrolytes | ||||||
|---|---|---|---|---|---|---|---|
| GBL | DOL | DME | DOL + DME | No. 1 | No. 2 | No. 3 | No. 4 |
| 4.09 | 4.08 | 4.14 | |||||
| 2.23 | 2.22 | 2.27 | |||||
| 2.01 | 1.98 | 2.03 | |||||
| 4.58 | 4.72 | 4.67 | 4.66 | 4.59 | |||
| 3.57 | 3.71 | 3.68 | 3.67 | 3.61 | |||
| 3.61 | 3.38 | 3.38 | 3.40 | 3.31 | |||
| 3.45 | 3.22 | 3.21 | 3.22 | 3.12 | |||
| Solvents | Electrolytes | ||||||
|---|---|---|---|---|---|---|---|
| GBL | DOL | DME | DOL + DME | No. 1 | No. 2 | No. 3 | No. 4 |
| 177.70 | 179.00 | 179.03 | |||||
| 68.19 | 68.69 | 68.83 | |||||
| 26.91 | 27.05 | 27.27 | |||||
| 21.54 | 21.37 | 21.62 | |||||
| 94.08 | 94.22 | 94.08 | 94.08 | 94.30 | |||
| 63.66 | 63.80 | 63.77 | 63.75 | 64.03 | |||
| 71.67 | 71.35 | 70.80 | 70.72 | 70.97 | |||
| 57.84 | 57.55 | 57.61 | 57.71 | 57.87 | |||
| Electrolytes | 7Li | 11B | 19F | ||
|---|---|---|---|---|---|
| No. 1 | −0.45 | −1.47 | −154.94 | −154.99 | |
| No. 2 | −1.45 | −1.37 | −155.54 | −155.60 | |
| No. 3 | −1.69 | - | −80.19 | ||
| No. 4 | −0.87 | −1.43 | −80.06 | −155.18 | −155.24 |
Publisher’s Note: MDPI stays neutral with regard to jurisdictional claims in published maps and institutional affiliations. |
© 2022 by the authors. Licensee MDPI, Basel, Switzerland. This article is an open access article distributed under the terms and conditions of the Creative Commons Attribution (CC BY) license (https://creativecommons.org/licenses/by/4.0/).
Share and Cite
Chernyak, A.V.; Slesarenko, N.A.; Slesarenko, A.A.; Baymuratova, G.R.; Tulibaeva, G.Z.; Yudina, A.V.; Volkov, V.I.; Shestakov, A.F.; Yarmolenko, O.V. Effect of the Solvate Environment of Lithium Cations on the Resistance of the Polymer Electrolyte/Electrode Interface in a Solid-State Lithium Battery. Membranes 2022, 12, 1111. https://doi.org/10.3390/membranes12111111
Chernyak AV, Slesarenko NA, Slesarenko AA, Baymuratova GR, Tulibaeva GZ, Yudina AV, Volkov VI, Shestakov AF, Yarmolenko OV. Effect of the Solvate Environment of Lithium Cations on the Resistance of the Polymer Electrolyte/Electrode Interface in a Solid-State Lithium Battery. Membranes. 2022; 12(11):1111. https://doi.org/10.3390/membranes12111111
Chicago/Turabian StyleChernyak, Alexander V., Nikita A. Slesarenko, Anna A. Slesarenko, Guzaliya R. Baymuratova, Galiya Z. Tulibaeva, Alena V. Yudina, Vitaly I. Volkov, Alexander F. Shestakov, and Olga V. Yarmolenko. 2022. "Effect of the Solvate Environment of Lithium Cations on the Resistance of the Polymer Electrolyte/Electrode Interface in a Solid-State Lithium Battery" Membranes 12, no. 11: 1111. https://doi.org/10.3390/membranes12111111
APA StyleChernyak, A. V., Slesarenko, N. A., Slesarenko, A. A., Baymuratova, G. R., Tulibaeva, G. Z., Yudina, A. V., Volkov, V. I., Shestakov, A. F., & Yarmolenko, O. V. (2022). Effect of the Solvate Environment of Lithium Cations on the Resistance of the Polymer Electrolyte/Electrode Interface in a Solid-State Lithium Battery. Membranes, 12(11), 1111. https://doi.org/10.3390/membranes12111111

