Membrane Fouling Behavior of Forward Osmosis for Fruit Juice Concentration
Abstract
:1. Introduction
2. Materials and Methods
2.1. Working Solutions and Membranes
2.2. Experimental Protocol
2.3. Analysis of FO Performance and Fouling
2.4. Analysis of Foulants/Membrane Interaction
2.4.1. Surface Tension Determination
2.4.2. Interfacial Free Energy Determination
2.4.3. Interfacial Interaction Energy
3. Results and Discussion
3.1. FO Performance
3.1.1. Effect of Membrane Orientation
3.1.2. Effect of Cross-Flow Rate
3.1.3. Effect of Pretreatment
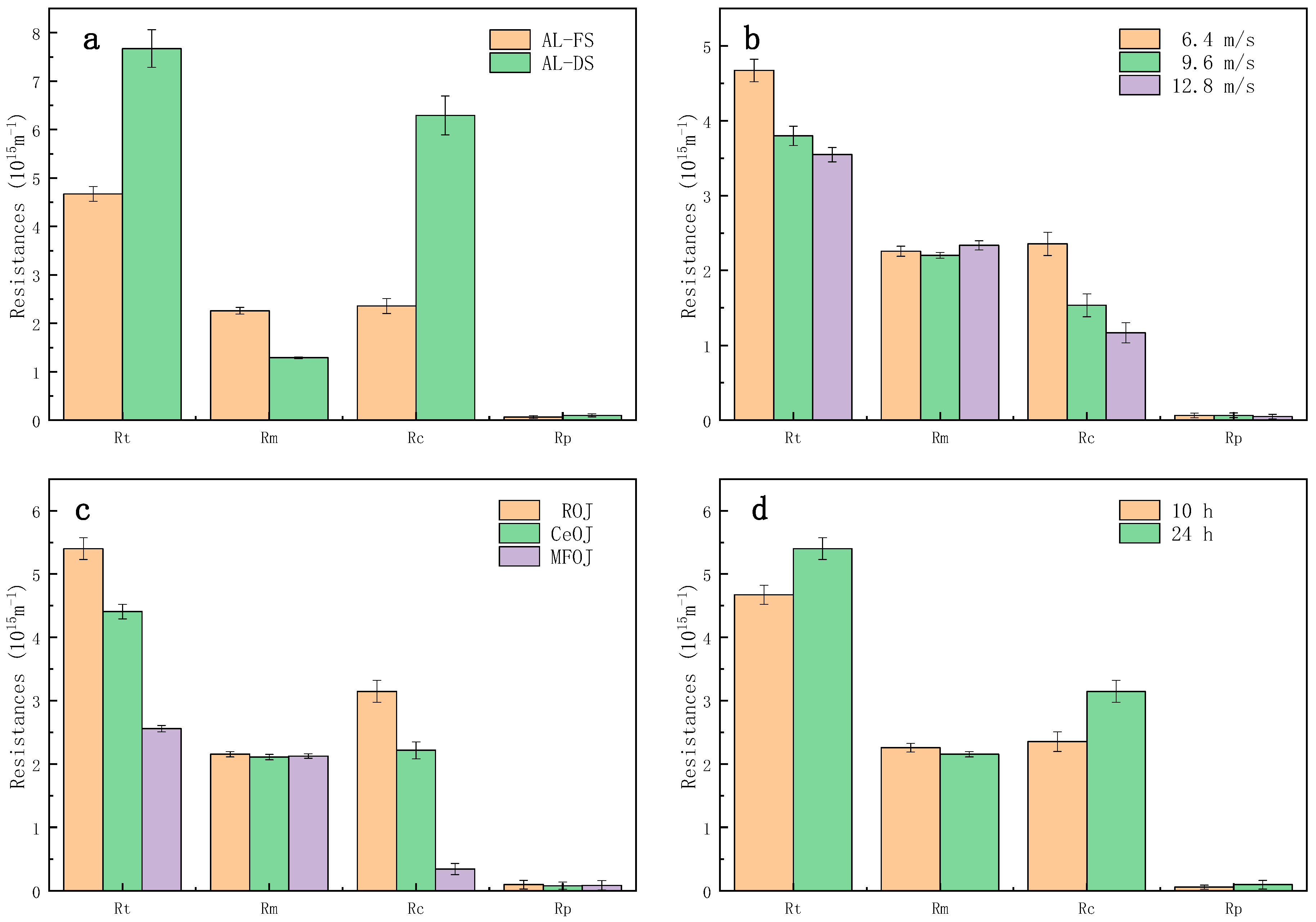
3.2. Resistance Distribution
3.3. Foulants/Membrane Interaction
3.4. Foulant Identification
4. Conclusions
Author Contributions
Funding
Institutional Review Board Statement
Informed Consent Statement
Data Availability Statement
Conflicts of Interest
References
- Wenten, I.G.; Khoiruddin, K.; Reynard, R.; Lugito, G.; Julian, H. Advancement of Forward Osmosis (FO) Membrane for Fruit Juice Concentration. J. Food Eng. 2021, 290, 110216. [Google Scholar] [CrossRef]
- Pei, J.; Gao, S.; Sarp, S.; Wang, H.; Chen, X.; Yu, J.; Yue, T.; Youravong, W.; Li, Z. Emerging Forward Osmosis and Membrane Distillation for Liquid Food Concentration: A Review. Compr. Rev. Food Sci. Food Saf. 2021, 20, 1910–1936. [Google Scholar] [CrossRef] [PubMed]
- Rastogi, N.K. Opportunities and Challenges in Application of Forward Osmosis in Food Processing. Crit. Rev. Food Sci. Nutr. 2016, 56, 266–291. [Google Scholar] [CrossRef]
- Long, Q.; Qi, G.; Wang, Y. Evaluation of Renewable Gluconate Salts as Draw Solutes in Forward Osmosis Process. ACS Sustain. Chem. Eng. 2016, 4, 85–93. [Google Scholar] [CrossRef]
- Singh, S.K.; Sharma, C.; Maiti, A. A Comprehensive Review of Standalone and Hybrid Forward Osmosis for Water Treatment: Membranes and Recovery Strategies of Draw Solutions. J. Environ. Chem. Eng. 2021, 9, 105473. [Google Scholar] [CrossRef]
- Ang, W.L.; Wahab Mohammad, A.; Johnson, D.; Hilal, N. Forward Osmosis Research Trends in Desalination and Wastewater Treatment: A Review of Research Trends over the Past Decade. J. Water Process Eng. 2019, 31, 100886. [Google Scholar] [CrossRef]
- Ibrar, I.; Altaee, A.; Zhou, J.L.; Naji, O.; Khanafer, D. Challenges and Potentials of Forward Osmosis Process in the Treatment of Wastewater. Crit. Rev. Environ. Sci. Technol. 2020, 50, 1339–1383. [Google Scholar] [CrossRef]
- Ali, A.; Quist-Jensen, C.A.; Jørgensen, M.K.; Siekierka, A.; Christensen, M.L.; Bryjak, M.; Hélix-Nielsen, C.; Drioli, E. A Review of Membrane Crystallization, Forward Osmosis and Membrane Capacitive Deionization for Liquid Mining. Resour. Conserv. Recycl. 2021, 168, 105273. [Google Scholar] [CrossRef]
- Wu, X.; Lau, C.H.; Pramanik, B.K.; Zhang, J.; Xie, Z. State-of-the-Art and Opportunities for Forward Osmosis in Sewage Concentration and Wastewater Treatment. Membranes 2021, 11, 305. [Google Scholar] [CrossRef]
- Kalafatakis, S.; Zarebska, A.; Lange, L.; Hélix-Nielsen, C.; Skiadas, I.V.; Gavala, H.N. Biofouling Mitigation Approaches during Water Recovery from Fermented Broth via Forward Osmosis. Membranes 2020, 10, 307. [Google Scholar] [CrossRef]
- Saiful, S.; Ajrina, M.; Wibisono, Y.; Marlina, M. Development of Chitosan/Starch-Based Forward Osmosis Water Filtration Bags for Emergency Water Supply. Membranes 2020, 10, 414. [Google Scholar] [CrossRef] [PubMed]
- Xu, G.-R.; Xu, J.-M.; Feng, H.-J.; Zhao, H.-L.; Wu, S.-B. Tailoring Structures and Performance of Polyamide Thin Film Composite (PA-TFC) Desalination Membranes via Sublayers Adjustment-a Review. Desalination 2017, 417, 19–35. [Google Scholar] [CrossRef]
- Xu, W.; Chen, Q.; Ge, Q. Recent Advances in Forward Osmosis (FO) Membrane: Chemical Modifications on Membranes for FO Processes. Desalination 2017, 419, 101–116. [Google Scholar] [CrossRef]
- Boo, C.; Elimelech, M.; Hong, S. Fouling Control in a Forward Osmosis Process Integrating Seawater Desalination and Wastewater Reclamation. J. Membr. Sci. 2013, 444, 148–156. [Google Scholar] [CrossRef]
- Li, Z.-Y.; Yangali-Quintanilla, V.; Valladares-Linares, R.; Li, Q.; Zhan, T.; Amy, G. Flux Patterns and Membrane Fouling Propensity during Desalination of Seawater by Forward Osmosis. Water Res. 2012, 46, 195–204. [Google Scholar] [CrossRef] [PubMed]
- Pei, J.; Pei, S.; Wang, W.; Li, S.; Youravong, W.; Li, Z. Athermal Forward Osmosis Process for the Concentration of Liquid Egg White: Process Performance and Improved Physicochemical Property of Protein. Food Chem. 2020, 312, 126032. [Google Scholar] [CrossRef]
- Xiao, S.; Li, Z.; Xiong, Q.; Wu, C.; Huang, J.; Zhou, R.; Jin, Y. Exploration of Sodium Lactate as the Draw Solute of Forward Osmosis for Food Processing. J. Food Eng. 2021, 296, 110465. [Google Scholar] [CrossRef]
- Zhang, L.; Gonzales, R.R.; Istirokhatun, T.; Lin, Y.; Segawa, J.; Shon, H.K.; Matsuyama, H. In Situ Engineering of an Ultrathin Polyamphoteric Layer on Polyketone-Based Thin Film Composite Forward Osmosis Membrane for Comprehensive Anti-Fouling Performance. Sep. Purif. Technol. 2021, 272, 118922. [Google Scholar] [CrossRef]
- Ghamri, W.; Loulergue, P.; Petrinić, I.; Hélix-Nielsen, C.; Pontié, M.; Nasrallah, N.; Daoud, K.; Szymczyk, A. Impact of Sodium Hypochlorite on Rejection of Non-Steroidal Anti-Inflammatory Drugs by Biomimetic Forward Osmosis Membranes. J. Membr. Sci. 2021, 633, 119388. [Google Scholar] [CrossRef]
- Kim, D.I.; Gwak, G.; Zhan, M.; Hong, S. Sustainable Dewatering of Grapefruit Juice through Forward Osmosis: Improving Membrane Performance, Fouling Control, and Product Quality. J. Membr. Sci. 2019, 578, 53–60. [Google Scholar] [CrossRef]
- Rodriguez-Saona, L.E.; Giusti, M.M.; Durst, R.W.; Wrolstad, R.E. Development and Process Optimization of Red Radish Concentrate Extract as Potential Natural Red Colorant. J. Food Process. Preserv. 2001, 25, 165–182. [Google Scholar] [CrossRef]
- Nayak, C.A.; Valluri, S.S.; Rastogi, N.K. Effect of High or Low Molecular Weight of Components of Feed on Transmembrane Flux during Forward Osmosis. J. Food Eng. 2011, 106, 48–52. [Google Scholar] [CrossRef]
- Chanukya, B.S.; Rastogi, N.K. A Comparison of Thermal Processing, Freeze Drying and Forward Osmosis for the Downstream Processing of Anthocyanin from Rose Petals. J. Food Process. Preserv. 2016, 40, 1289–1296. [Google Scholar] [CrossRef]
- Sant’Anna, V.; Gurak, P.D.; de Vargas, N.S.; da Silva, M.K.; Marczak, L.D.F.; Tessaro, I.C. Jaboticaba (Myrciaria Jaboticaba) Juice Concentration by Forward Osmosis. Sep. Sci. Technol. 2016, 51, 1708–1715. [Google Scholar] [CrossRef]
- Wrolstad, R.E.; Mcdaniel, M.R.; Durst, R.W.; Micheals, N.; Lampi, K.A.; Beaudry, E.G. Composition and Sensory Characterization of Red Raspberry Juice Concentrated by Direct-Osmosis or Evaporation. J. Food Sci. 1993, 58, 633–637. [Google Scholar] [CrossRef]
- Zhao, P.; Gao, B.; Yue, Q.; Liu, S.; Shon, H.K. Effect of High Salinity on the Performance of Forward Osmosis: Water Flux, Membrane Scaling and Removal Efficiency. Desalination 2016, 378, 67–73. [Google Scholar] [CrossRef]
- Wang, Y.; Wicaksana, F.; Tang, C.Y.; Fane, A.G. Direct Microscopic Observation of Forward Osmosis Membrane Fouling. Environ. Sci. Technol. 2010, 44, 7102–7109. [Google Scholar] [CrossRef]
- Zhang, X.; Ning, Z.; Wang, D.K.; da Costa, J.C.D. Processing Municipal Wastewaters by Forward Osmosis Using CTA Membrane. J. Membr. Sci. 2014, 468, 269–275. [Google Scholar] [CrossRef] [Green Version]
- Guo, H.; Li, Z.; Huang, J.; Zhou, R.; Wu, C.; Jin, Y. Microfiltration of Soy Sauce: Efficiency, Resistance and Fouling Mechanism at Different Operating Stages. Sep. Purif. Technol. 2020, 240, 116656. [Google Scholar] [CrossRef]
- van Oss, C.J. Interfacial Forces in Aqueous Media, 2nd ed.; CRC Press: Boca Raton, FL, USA, 2006; ISBN 978-0-429-13441-8. [Google Scholar]
- van Oss, C.J. Acid—Base Interfacial Interactions in Aqueous Media. Colloids Surf. A Physicochem. Eng. Asp. 1993, 78, 1–49. [Google Scholar] [CrossRef]
- Van Oss, C.J.; Good, R.J.; Chaudhury, M.K. Additive and Nonadditive Surface Tension Components and the Interpretation of Contact Angles. Langmuir 1988, 4, 884–891. [Google Scholar] [CrossRef]
- Gupta, K.; Chellam, S. Pre-Chlorination Effects on Fouling during Microfiltration of Secondary Municipal Wastewater Effluent. J. Membr. Sci. 2021, 620, 118969. [Google Scholar] [CrossRef]
- Lee, H.; Kim, S.C.; Chen, S.-C.; Segets, D.; Pui, D.Y.H. Predicting Collision Efficiencies of Colloidal Nanoparticles in Single Spherical and Fibrous Collectors Using an Individual Particle Tracking Method. Sep. Purif. Technol. 2019, 222, 202–213. [Google Scholar] [CrossRef]
- Parida, V.; Ng, H.Y. Forward Osmosis Organic Fouling: Effects of Organic Loading, Calcium and Membrane Orientation. Desalination 2013, 312, 88–98. [Google Scholar] [CrossRef]
- Bouchard, C.R.; Jolicoeur, J.; Kouadio, P.; Britten, M. Study of Humic Acid Adsorption on Nanofiltration Membranes by Contact Angle Measurements. Can. J. Chem. Eng. 1997, 75, 339–345. [Google Scholar] [CrossRef]
- Lin, T.; Lu, Z.; Chen, W. Interaction Mechanisms of Humic Acid Combined with Calcium Ions on Membrane Fouling at Different Conditions in an Ultrafiltration System. Desalination 2015, 357, 26–35. [Google Scholar] [CrossRef]
- Brant, J.A.; Childress, A.E. Colloidal Adhesion to Hydrophilic Membrane Surfaces. J. Membr. Sci. 2004, 241, 235–248. [Google Scholar] [CrossRef]
- Hurwitz, G.; Guillen, G.R.; Hoek, E.M.V. Probing Polyamide Membrane Surface Charge, Zeta Potential, Wettability, and Hydrophilicity with Contact Angle Measurements. J. Membr. Sci. 2010, 349, 349–357. [Google Scholar] [CrossRef]
- Subramani, A.; Huang, X.; Hoek, E.M.V. Direct Observation of Bacterial Deposition onto Clean and Organic-Fouled Polyamide Membranes. J. Colloid Interface Sci. 2009, 336, 13–20. [Google Scholar] [CrossRef]
- van Oss, C.J. Long-Range and Short-Range Mechanisms of Hydrophobic Attraction and Hydrophilic Repulsion in Specific and Aspecific Interactions. J. Mol. Recognit. 2003, 16, 177–190. [Google Scholar] [CrossRef]
- Cao, R.; Zhou, J.; Chen, W. Insights into Membrane Fouling Implicated by Physical Adsorption of Soluble Microbial Products onto D3520 Resin. Chin. J. Chem. Eng. 2020, 28, 429–439. [Google Scholar] [CrossRef]
- Liu, Y.; Zhao, Q. Influence of Surface Energy of Modified Surfaces on Bacterial Adhesion. Biophys. Chem. 2005, 117, 39–45. [Google Scholar] [CrossRef]
- Kühnl, W.; Piry, A.; Kaufmann, V.; Grein, T.; Ripperger, S.; Kulozik, U. Impact of Colloidal Interactions on the Flux in Cross-Flow Microfiltration of Milk at Different PH Values: A Surface Energy Approach. J. Membr. Sci. 2010, 352, 107–115. [Google Scholar] [CrossRef]
- Hong, H.; Peng, W.; Zhang, M.; Chen, J.; He, Y.; Wang, F.; Weng, X.; Yu, H.; Lin, H. Thermodynamic Analysis of Membrane Fouling in a Submerged Membrane Bioreactor and Its Implications. Bioresour. Technol. 2013, 146, 7–14. [Google Scholar] [CrossRef]
- Sun, Y.; Tian, J.; Zhao, Z.; Shi, W.; Liu, D.; Cui, F. Membrane Fouling of Forward Osmosis (FO) Membrane for Municipal Wastewater Treatment: A Comparison between Direct FO and OMBR. Water Res. 2016, 104, 330–339. [Google Scholar] [CrossRef] [PubMed]
- Du, X.; Wang, Y.; Qu, F.; Li, K.; Liu, X.; Wang, Z.; Li, G.; Liang, H. Impact of Bubbly Flow in Feed Channel of Forward Osmosis for Wastewater Treatment: Flux Performance and Biofouling. Chem. Eng. J. 2017, 316, 1047–1058. [Google Scholar] [CrossRef]
- Wang, X.; Yuan, B.; Chen, Y.; Li, X.; Ren, Y. Integration of Micro-Filtration into Osmotic Membrane Bioreactors to Prevent Salinity Build-Up. Bioresour. Technol. 2014, 167, 116–123. [Google Scholar] [CrossRef]
- Bao, X.; Wu, Q.; Tian, J.; Shi, W.; Wang, W.; Zhang, Z.; Zhang, R.; Zhang, B.; Guo, Y.; Shu, S.; et al. Fouling Mechanism of Forward Osmosis Membrane in Domestic Wastewater Concentration: Role of Substrate Structures. Chem. Eng. J. 2019, 370, 262–273. [Google Scholar] [CrossRef]








| Probe Liquids | Contact Angle (°) | ||
|---|---|---|---|
| Water | Formamide | Diiodomethane | |
| FOSL | 86.48 ± 3.77 | 57.54 ± 3.53 | 37.65 ± 2.25 |
| FOAL | 83.95 ± 3.33 | 50.55 ± 2.17 | 40.00 ± 2.03 |
| ROJ | 80.13 ± 2.48 | 62.18 ± 2.15 | 47.75 ± 2.12 |
| CeOJ | 69.12 ± 2.49 | 61.21 ± 2.17 | 53.25 ± 3.41 |
| MFOJ | 51.88 ± 2.92 | 39.12 ± 2.22 | 46.55 ± 3.28 |
| γLW | γ+ | γ− | γAB | γTOT | |
|---|---|---|---|---|---|
| FOSL | 40.77 | 0.18 | 1.74 | 1.13 | 41.90 |
| FOAL | 39.61 | 1.04 | 1.27 | 2.30 | 41.91 |
| ROJ | 35.52 | 0.03 | 7.56 | 1.02 | 36.54 |
| CeOJ | 32.45 | 0.01 | 19.27 | 1.07 | 33.51 |
| MFOJ | 36.17 | 0.98 | 26.09 | 10.11 | 46.28 |
| ΔGLW | ΔGAB | ΔGEL | ΔGcoh | |
|---|---|---|---|---|
| FOSL | −5.89 | −68.98 | 3.73 × 10−13 | −74.87 |
| FOAL | −5.28 | −63.20 | 1.38 × 10−12 | −68.48 |
| ROJ | −3.33 | −44.77 | 1.25 × 10−12 | −48.11 |
| CeOJ | −2.11 | −13.01 | 1.13 × 10−12 | −15.12 |
| MFOJ | −3.62 | 0.94 | 5.80 × 10−12 | −2.68 |
| ΔGLW | ΔGAB | ΔGEL | ΔGadh | |
|---|---|---|---|---|
| FOSL-ROJ | −4.43 | −57.57 | −2.48 × 10−7 | −62.00 |
| FOAL-ROJ | −4.20 | −56.69 | −4.37 × 10−7 | −60.89 |
| FOAL-CeOJ | −3.34 | −43.97 | −4.16 × 10−7 | −47.30 |
| FOAL-MFOJ | −4.37 | −31.37 | −3.11 × 10−7 | −35.75 |
Publisher’s Note: MDPI stays neutral with regard to jurisdictional claims in published maps and institutional affiliations. |
© 2021 by the authors. Licensee MDPI, Basel, Switzerland. This article is an open access article distributed under the terms and conditions of the Creative Commons Attribution (CC BY) license (https://creativecommons.org/licenses/by/4.0/).
Share and Cite
Li, Z.; Wu, C.; Huang, J.; Zhou, R.; Jin, Y. Membrane Fouling Behavior of Forward Osmosis for Fruit Juice Concentration. Membranes 2021, 11, 611. https://doi.org/10.3390/membranes11080611
Li Z, Wu C, Huang J, Zhou R, Jin Y. Membrane Fouling Behavior of Forward Osmosis for Fruit Juice Concentration. Membranes. 2021; 11(8):611. https://doi.org/10.3390/membranes11080611
Chicago/Turabian StyleLi, Zihe, Chongde Wu, Jun Huang, Rongqing Zhou, and Yao Jin. 2021. "Membrane Fouling Behavior of Forward Osmosis for Fruit Juice Concentration" Membranes 11, no. 8: 611. https://doi.org/10.3390/membranes11080611
APA StyleLi, Z., Wu, C., Huang, J., Zhou, R., & Jin, Y. (2021). Membrane Fouling Behavior of Forward Osmosis for Fruit Juice Concentration. Membranes, 11(8), 611. https://doi.org/10.3390/membranes11080611
